Teorema de Green

A curva de \(B\) para \(A\) tem orientação negativa (ponteiro dos relógios) para que "à nossa esquerda" fique a região sombreada. Assim, calculas o integral de linha dessa curva, através do Teorema de Green, mas dás sinal negativo ao resultado.

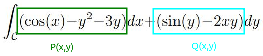
%\begin{align*} \frac{\partial{Q}}{\partial{x}} = -2y; \quad\frac{\partial{P}}{\partial{y}} = -2y-3 \Longrightarrow \iint_R \left( -2y+2y+3\right)dA = \iint_R 3\;dA = 3 \iint_R 1\;dA = 3A %\end{align*}

Atenção: O teorema de Green só se aplica a curvas orientadas no sentido positivo. Se estiveres a integrar no sentido negativo (dos ponteiros do relógio) em torno de uma curva e pretenderes aplicar o teorema de Green, terás de inverter o sinal do resultado num dado momento.

\small \text{Repara que}\; \iint_R 1dA\; \text{é simplesmente a área da região $R$, que é dito ter medida $A$.}\\ \text{Nota que}\; dA=dxdy\neq A.
\small \text{Assim,}\; \oint_{B\rightarrow A} Pdx+Qdy=-3A.

Também podes inverter o sentido a todas as curvas, calcular os respetivos integrais de linha e, no final, tomares o simétrico do resultado...

f(x) = \int_{-\infty}^\infty \hat f(\xi)\,e^{2 \pi i \xi x} \,d\xi

Teorema de Green

By carlos gomes

Teorema de Green

  • 427