Context: large-scale structure



Context: large-scale structure


βAb initioβ predictions
\(t\)

πΎ New paper!
Estimating major merger rates and spin parameters ab initio via the clustering of critical events
πΎ New paper!
Estimating major merger rates and spin parameters ab initio via the clustering of critical events
Also: first paper written with a student (Eric Pichon-Pharabod)
Spherical collapse - in a π°


Counting peaks = counting halos (of a given mass)
Spherical collapse - in a π°


Counting inflection points = counting mergers
Critical event theory - in another π°


π¨

βΊοΈ

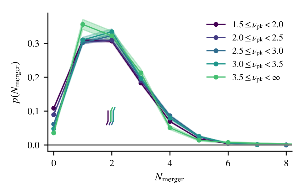
Result 1: halos undergo ~ 2 major mergers
Result 2: mergers spin ~ halo spin



πΎ New paper!
Evolution of cosmic filaments in the MTNG simulation
Daniela GalΓ‘rraga-Espinosa, CC, et al


Cosmic π: how do filaments evolve?

Cosmic π: how do filaments evolve?

Cosmic π: how do filaments evolve?


Length at \(z=0\)
Growth since \(z=1\)
Main result:
short filament contract
long filaments expand
arXiv update 29/09/23
By Corentin Cadiou
arXiv update 29/09/23
- 341