Магістерська робота на тему:
"Вдосконалення алгоритмічного забезпечення засобів розпізнавання монохромних символів цифр OCR-систем"
Виконав: студент групи СІм-11-2
Чорненький Дмитро Юрійович
Науковий керівник: проф. Мельничук С. І.
Структурна схема розпізнавання зображення

- Розпізнавання по шаблонах
- Структурний підхід
- Ознакові методи
- Ідентифікація на основі кореляційних методів
- Методи на основі нейронних мереж
2
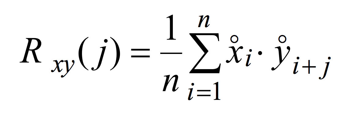
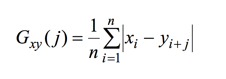
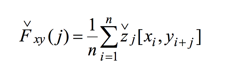
Математичні методи розпізнавання



Взаємокореляційна функція
Модульна взаємокореляційна функція
Взаємокореляційна функція еквівалентності

3


Програмне забезпечення автоматичного розпізнавання символів
- OCR CuneiForm
- FineReader
- OmniPage
- Readiris
- MicroSoft Office Document Imaging
- Різноманітність форм накреслення символів
- Спотворення зображень
- Радіометричні спотворення
- Варіації розмірів та маштабу символів
Основні недоліки:

4
Структурна схема системи розпізнавання зображення (шаблонний підхід)


1 - зображення об’єкту, який необхідно ідентифікувати
2 - еталонні шаблони образів
3 - фрагмент зображення за елементами якого розраховується оцінка ентропії Hі
5
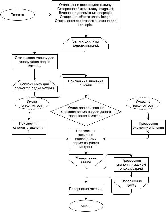
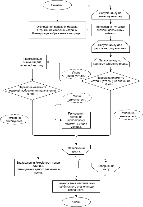
Алгоритм перетворення
зображення
в бінарну
матрицю

6
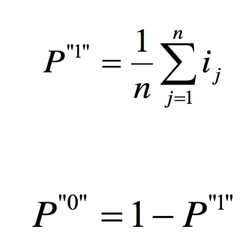
Алгоритм розпізнавання символів цифр за оцінкою інформаційної ентропії

7


Структурна схема організації
робочого інтерфейсу

8
Демонстрація процесу розпізнавання




9
Дослідження ефективності ідентифікації методів при спотворенні зображення зайвими пікселями


10
Дослідження ефективності ідентифікації методів при спотворенні зображення втратою пікселів


11
Висноки:
- Проаналізовано методи та підходи розпізнавання символів цифр, їхні переваги та недоліки.
- Запропоновано новий метод розпізнавання, а саме за оцінкою інформаційної ентропії.
- Розроблено програму розпізнавання монохромних символів цифр за технологією OCR.
- Досліджено переваги запропонованого методу, а саме ефективність ідентифікації при спотворенні надлишковими пікселями або їх відсутністю
12
OCR-system
By dima_chornenky
OCR-system
- 521