Deadline–Budget Constrained Scheduling
Presented by: Elaheh Barati
elaheh@wayne.edu
Wayne State University


"Low-time complexity budget–deadline constrained workflow scheduling on heterogeneous resources"
Subtitle
Hamid Arabnejad , Jorge G. Barbosa, Radu Prodan
LIACC, Departamento de Engenharia Informática, Faculdade de Engenharia, Universidade do Porto, Portugal
University of Innsbruck, Institute of Computer Science, Innsbruck, Austria


Future Generation Computer Systems 55 (2016)
Content
- Introduction
- Problem definition
- Proposed algorithm
- Experimental results
- Conclusions
- Future work


Utility computing is a
service provisioning model that provides:
- computing resources
- infrastructure management to consumers as they need them
- a payment model that charges for usage


Utility computing is a
service provisioning model that provides:
- computing resources
- infrastructure management to consumers as they need them
- a payment model that charges for usage
Service-oriented grid and cloud computing, have become the basis for providing these services


- Utility computing has been rapidly moving towards a pay-as-you-go model
- computational resources or services have different prices with different performance and Quality of Service (QoS) levels
- Users consume services and resources when they need them and pay only for what they use
- computational resources or services have different prices with different performance and Quality of Service (QoS) levels



Cost and time become two of the most relevant user concerns

Challenge: The cost/time trade-off problem for scheduling workflow applications


Scheduling consists of:
- defining an assignment
- mapping of the workflow tasks onto resources
The scheduling problem belongs to a class of problems known as NP-complete


Research on workflow QoS aware scheduling:
- Single objective approach:
- Optimizing one QoS parameter, such as time
- Constraining another QoS parameter, such as cost
- Bi-objective approach:
- Optimizing two QoS parameters, such as time and cost simultaneously
- Constraints are related to processor availability and load


Workflow scheduling to satisfy multiple QoS parameters


multi-objective scheduling algorithms
search-based strategies
meta-heuristic methods
Need significantly high planning costs in terms of the time consumed to produce good results


A low-time complexity heuristic
Deadline–Budget Constrained Scheduling (DBCS)
constrained to two QoS parameters time and cost


Objective
Find a feasible schedule map that satisfies the user-defined deadline and budget constraint values
Implementing a mechanism to control the time and cost consumption by each task when producing a schedule solution


Problem definition
- System model
- Application model
- Scheduling problem


- The target utility computing platform: a set of heterogeneous resources that provide services for different capabilities and costs
- Processor price is defined
- the most powerful processor has the highest cost and the less powerful processor has the lowest cost
System Model


- In a utility grid
- The resource price is defined and charged per time unit
System Model


- In a utility grid
- The resource price is defined and charged per time unit
System Model
-
In a cloud environment
-
the granularity of charging resource usage varies
- Amazon EC2: charging per hour
-
the granularity of charging resource usage varies


- In a utility grid
- The resource price is defined and charged per time unit
System Model
-
In a cloud environment
-
the granularity of charging resource usage varies
- Amazon EC2: charging per hour
-
the granularity of charging resource usage varies
No cost benefit of adding resources for workflows that run for less than an hour


System Model
- A heterogeneous resource has a set of processors available
- Each processor has a price per time unit
In this paper


Application Model


A typical workflow application can be represented by a Directed Acyclic Graph (DAG)


Tasks of the workflow
t1
t2
t3
Application Model


A typical workflow application can be represented by a Directed Acyclic Graph (DAG)

Tasks of the workflow
t1
t2
t3
data dependencies
Application Model


A typical workflow application can be represented by a Directed Acyclic Graph (DAG)

Tasks of the workflow
t1
t2
t3
data dependencies
n × n matrix of communication data
entry task
exit task
Application Model



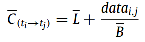
The amount of data that must be transferred from task ti to task tj
The average communication time between the tasks ti and tj :
Average bandwidth among all processor pairs
Average latency
Application Model


Execution Time to complete task ti on processor pj
Due to heterogeneity, each task may have a different execution time on each processor
Number of resources in processor set P

The average execution time of task ti :
Application Model


For entry task : EST = 0
Earliest Start Time of the task ti on processor pj

is Zero if : Parent and child are assigned to the same machine
Earliest time at which processor pj is ready
Application Model


Earliest Finish Time (EFT) of a task ti on processor pj

Application Model


data storage cost of task ti
The financial cost
cost of transferring the data required for task ti


Application Model


Assigned Cost of task ti : ti is already assigned to a processor


Scheduling Problem


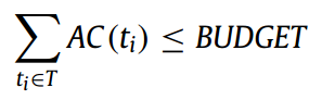
For a given workflow G, a scheduling is defined by a function schedG : T → P which assigns to each task ti ∈ T a processor pj ∈ P, subject to:
- Processor constraint: no processor executes more than one task at the same time
- Precedence constraint: represented edges of the workflow
- Budget constraint:
- Deadline constraint:



Task Selection
Processor Selection
Deadline–Budget Constrained Scheduling algorithm



Task Selection
Length of the longest path from task ti to the exit node




Processor Selection
filtered processor set based on
maximum available budget for the current task that can be consumed by its assignment




Processor Selection









Text
how much the finish time of the current task is closer to the task sub-deadline




Text
how much the actual cost on pj is less than the cost on the processor that results in the earliest finish time







Time Complexity
O(n.p)
- p is the number of available resources
- n is the number of tasks in the workflow application
- O(n.p): for calculating FT and Cost for the current task among all processors
- O(p): for calculating the Quality measure
The total time is O(n.p + n(n.p + p))


Experimental Results


Workflow structure
- Randomly generated
- random DAG generation: total 10000
- Real-world application
Experimental Results


Simulation Platform
- SimGrid toolkit: provides the required fundamental abstractions for the discrete-event simulation of parallel applications in distributed environments.
-
Use three sites:
- Rennes site has normal distribution of CPU power among its clusters
- Sophia site contains a higher number of low-speed processors
- Lille site has a higher number of fast processors
Experimental Results


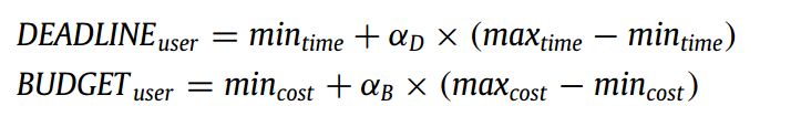
Budget and deadline parameters

Lowest and highest execution time of the application
critical parent of task ti
the minimum and the maximum execution time for task ti on the fastest and the slowest processor among all sites
Experimental Results


Budget and deadline parameters
in the range [0 .. 1]

Experimental Results


Performance metric
Planning Successful Rate:
Percentage of valid schedules

Experimental Results



randomly generated workflows
Experimental Results


randomly generated workflows

Experimental Results


Results for real world applications

Conclusion


- The DBCS algorithm was presented for budget and deadline constrained scheduling
- It achieves a similar performance to higher-time complexity algorithms with a time complexity of the heuristic algorithms of the order O(n^2 .p) for n tasks and p processors
Future work


- Extend the algorithm to consider the dynamic concurrent DAG scheduling problem
- allow users to execute concurrent workflows that might not be able to start together but can share resources
- the total time and cost for the user can be minimized to meet their deadlines and budgets

Deadline–Budget Constrained Scheduling
By Elaheh Barati
Deadline–Budget Constrained Scheduling
- 140