LOSS and GAIN approaches
Presented by: Elaheh Barati
elaheh@wayne.edu
Wayne State University


"Scheduling Workflows
With Budget Constraints"
Subtitle
Rizos Sakellariou, Henan Zhao, Eleni AND Tsiakkouri, Marios D. Dikaiakos
School of Computer Science, University of Manchester
Department of Computer Science, University of Cyprus
In Integrated research in GRID computing, pp. 189-202. Springer US, 2007.


Content
- Introduction
- Background
- Proposed algorithm
- Experimental results
- Conclusions


In the context of Grid computing, applications can be represented as workflows modeled as Directed Acyclic Graphs (DAGs)



A DAG represents a model that helps build a schedule
of the tasks onto resources in a way that precedence constraints are respected and the schedule is optimized


Minimization of an application's execution time might be an important user requirement


Minimization of an application's execution time might be an important user requirement


Managing a Grid environment is a more complex task
Aim is to find the schedule that gives the shortest makespan for a given DAG and a given set of resources without exceeding the budget available.


Objective
To solve the problem of scheduling optimally under a budget constraint :
LOSS


GAIN
Families of Heuristics
LOSS Approach


- Starts with an assignment of tasks onto machines that is optimized for makespan
- Swaps tasks between machines by choosing first those tasks where the largest savings in terms of money will result in the smallest loss in terms of schedule length.
GAIN Approach


- starts with the cheapest assignment of tasks onto resources
- Swaps tasks between machines by choosing first those tasks where the largest benefits in terms of minimizing the makespan will be obtained for the smallest expense.





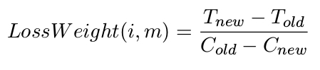
(a) an example graph
(b) the computation cost of nodes on three different machines
(c) communication cost between the machines



(e) the start time and finish time of
each node in (d)

(d) the schedule derived using the HEFT algorithm

(b) the computation cost of nodes on three different machines
Contribution of this paper


Extension of the traditional DAG models:
The overall financial cost of the schedule does not exceed a certain budget




Proposed Algorithm


The key idea:
satisfy the budget constraint by
finding the best affordable assignment possible
Algorithm definitions
best assignment


the assignment whose execution time is the minimum possible.
affordable assignment
Text
the assignment whose cost does not exceed the budget available.


cost of the cheapest assignment
cost of the schedule


available budget
Algorithm Assumptions














-
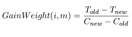
LOSS1 and GAIN1: the weights are computed exactly as
described before. -
LOSS2 and GAIN2: the values of Told , Tnew , and Cnew , Cold
refer to the benefit in terms of the overall makespan
and the overall cost for the schedule and not the benefit associated with the individual tasks being considered for reassignment. - LOSS3 and GAIN3: the weights are recomputed each time a reassignment is made by the algorithm.
Variants


- Run the proposed algorithm with four different types
of DAGs used in:- FFT
- Fork-Join (denoted by FRJ)
- Laplace (denoted by LPL)
- Random DAGs


Experiment Setup
All DAGs contain about 100 nodes scheduled on 3 different machines.
Experimental results


value of k varies between 0.1 and 0.9
values of budget that lie in ten equally distanced points
between the money cost for the cheapest assignment and the money cost for the schedule generated by HEFT or HBMCT
total cost of the assignment
the cost of the cheapest assignment

Experimental results


makespan returned by algorithm
the makespan
of the cheapest assignment
Normalized Schedule Length:

the makespan of HEFT or HBMCT
between 0 and 1 indicating how close the algorithm was to each of the two bounds
Experimental results


Average Normalized Difference metric:

Experimental results



Average normalized difference for the three variants of loss when HEFT is used to generate the initial schedule


Average normalized difference for the three variants of gain



Average running time for each variant of the algorithm, using FFT DAGs.

Conclusion


- An algorithm was implemented to schedule DAGs onto heterogeneous machines under budget constraints.
- Different variants of the algorithm were
modelled and evaluated. - Starting from an optimized schedule, in terms of its makespan, pays off when trying to satisfy the budget
constraint.
Future work


- Other types of DAGs that correspond to workflows of interest in the Grid community could be considered
- More sophisticated models to charge for machine time could be incorporated
- More dynamic scenarios and environments for the execution of the DAGs and the modelling of the machine time could be considered

Scheduling workflows with budget constraints
By Elaheh Barati
Scheduling workflows with budget constraints
- 143