University of Delaware

Department of Physics and Astronomy

Biden School of Public Policy and Administration

Data  Science Institute

 

 

Rubin Legacy Survey of Space and Time

Deputy Project Scientist, Rubin Construction

Interim Head of Science, Rubin Operations

Image credit: NASA/CXC/M.Weiss

This is a living land acknowledgement developed in consultation with tribal leadership of Poutaxet, what is now known as the “Delaware Bay,” including: the Lenape Indian Tribe of Delaware, the Nanticoke Indian Tribe, and the Nanticoke Lenni-Lenape Tribal Nation in 2021. We thank these leaders for their generosity.

The University of Delaware occupies lands vital to the web of life for Lenni Lenape and Nanticoke, who share their ancestry, history, and future in this region. UD has financially benefited from this regional occupation as well as from Indigenous territories that were expropriated through the United States land grant system. European colonizers and later the United States forced Nanticoke and Lenni Lenape westward and northward, where they formed nations in present-day Oklahoma, Wisconsin, and Ontario, Canada. Others never left their homelands or returned from exile when they could. We express our appreciation for ongoing Indigenous stewardship of the ecologies and traditions of this region. While the harms to Indigenous people and their homelands are beyond repair, we commit to building right relationships going forward by collaborating with tribal leadership on actionable institutional steps.

Vera C. Rubin Observatory:

Ushering a New Era of TDA

 

Rubin Observatory

Site: Cerro Pachon, Chile

Funding: US NSF + DOE

Status: final phases of construction - completion expected 2023

@fedhere

September 2016

@fedhere

Fabruary 2020

@fedhere

May 2022

@fedhere

November 2022

@fedhere

May 2022

May 2022 - Telescope Mount Assembly

 

The DOE LSST Camera - 3.2 Gigapixel

3.2 Gigapixel camera 

378 4K ultra-high-definition TV

The DOE LSST Camera - 3.2 Gigapixel

Camera and Cryostat integration completed at SLAC in May,

Shutter and filter auto-changer integrated into camera body

3024 science raft amplifier channels, only 3 are substandard.

400 4K HD TVs

 u         g            r         i         z        y

UV

N I R

Rubin Focus Issue of ApJS on Rubin Survey Strategy Optimization

LSST Data Volume: a change of perspective

Rubin will see ~1000 SN every night!

A lot of them will be too faint to study with traditional means, particularly spectra. 

Lots of emphasis in new analysis techniques that rely on "Big Data"

federica bianco fbianco@udel.edu

@fedhere

federica bianco - fbianco@udel.edu

@fedhere

At this level of precision,everything is variable, everything is blended, everything is moving.

u,g,r,i,z,y
Photometric precision
Photometric accuracy
Astrometric precision
Astrometric accuracy
# visits*
mag single image*
mag single coadd*
5 mmag
10 mmag
10 mas
50 mas
44, 63, 178, 182, 154, 160
23.8, 24.5, 24.0, 23.4 22.7, 23
26.9, 26.9, 26.4, 25.6, 24.8

SDSS

LSST-like HSC composite

http://faculty.washington.edu/ivezic/talks/NASAseminar.pdf

SDSS 2x4 arcmin sq griz

MYSUC (Gawiser 2014) 1 mag shallower than LSST coadds

federica bianco - fbianco@udel.edu

At this level of precision,everything is variable, everything is blended, everything is moving.

http://faculty.washington.edu/ivezic/talks/NASAseminar.pdf

@fedhere

u,g,r,i,z,y
Photometric precision
Photometric accuracy
Astrometric precision
Astrometric accuracy
# visits*
mag single image*
mag single coadd*
5 mmag
10 mmag
10 mas
50 mas
44, 63, 178, 182, 154, 160
23.8, 24.5, 24.0, 23.4 22.7, 23
26.9, 26.9, 26.4, 25.6, 24.8

~1000 images per night

10M alerts per night (5sigma changes)

17B stars Ivezic+18

~10 million QSO Mary Loli+21

200 quadruply-lensed quasars Minghao+19

~50 kilonovae Setzer+19, Andreoni+19   (+ ToO)

~1000 SNe every night in the LSST sky

(10K/year) LSST SCs 2009





Rubin Transients by the number

SKA

(2025)

(original graphics: Leanne Guy)

Data Products

federica bianco - fbianco@udel.edu

@fedhere​

world public!

federica bianco - fbianco@udel.edu

@fedhere​

world public!

Rubin Observatory LSST 

federica bianco - fbianco@udel.edu

@fedhere​

LSST Science Drivers

Probing Dark Energy and Dark Matter

LSST Science Drivers

Taking an inventory of the solar system

from threatening NEO to the distant Oort Cloud

image credit ESO-Gaia

LSST Science Drivers

Mapping the Milky Way (and Local Volume)

 

LSST Science Drivers

image credit: ESA-Justyn R. Maund 

Exploring the Transients and Variable Universe

10M alerts every night shared with the world

60 seconds after observation

 

 

17B stars Ivezic+18

~10 million QSO Mary Loli+21

200 quadruply-lensed quasars Minghao+19

~50 kilonovae Setzer+19, Andreoni+19   (+ ToO)

~1000 SNe every night in the LSST sky

(10K/year) LSST SCs 2009

 

 

 

 

Rubin Transients by the number

 

 

17B stars Ivezic+18

~10 million QSO Mary Loli+21

200 quadruply-lensed quasars Minghao+19

~50 kilonovae Setzer+19, Andreoni+19   (+ ToO)

~1000 SNe every night in the LSST sky

(10K/year) LSST SCs 2009

 

 

 

 

Rubin Transients by the number

SKA

(2025)

 

 

17B stars Ivezic+18

~10 million QSO Mary Loli+21

200 quadruply-lensed quasars Minghao+19

~50 kilonovae Setzer+19, Andreoni+19   (+ ToO)

~1000 SNe every night in the LSST sky

(10K/year) LSST SCs 2009

 

 

 

 

Rubin Transients by the number

SKA

(2025)

 

 

17B stars Ivezic+18

~10 million QSO Mary Loli+21

200 quadruply-lensed quasars Minghao+19

~50 kilonovae Setzer+19, Andreoni+19   (+ ToO)

~1000 SNe every night in the LSST sky

(10K/year) LSST SCs 2009

 

 

 

 

Rubin Transients by the number

SKA

(2025)

 

 

17B stars Ivezic+19

~10 million QSO Mary Loli+21

200 quadruply-lensed quasars Minghao+19

~50 kilonovae Setzer+19, Andreoni+19   (+ ToO)

~10k SuperLuminous Supernovae Villar+ 2018

 

Rubin Transients by the number

SKA

(2025)

 

 

17B stars Ivezic+19

~10 million QSO Mary Loli+21

200 quadruply-lensed quasars Minghao+19

~50 kilonovae Setzer+19, Andreoni+19   (+ ToO)

~10k SuperLuminous Supernovae Villar+ 2018

~ 50k Tidal Disruption Events Brickman+ 2020

 

 

 

Rubin Transients by the number

SKA

(2025)

 

 

17B stars Ivezic+19

~10 million QSO Mary Loli+21

200 quadruply-lensed quasars Minghao+19

~50 kilonovae Setzer+19, Andreoni+19   (+ ToO)

~10k SuperLuminous Supernovae Villar+ 2018

~ 50k Tidal Disruption Events Brickman+ 2020

> 10 Interstellar Objects (aliens?)

 

 

 

 

Rubin Transients by the number

SKA

(2025)

 

 

17B stars Ivezic+19

~10 million QSO Mary Loli+21

200 quadruply-lensed quasars Minghao+19

~50 kilonovae Setzer+19, Andreoni+19   (+ ToO)

~10k SuperLuminous Supernovae Villar+ 2018

~ 50k Tidal Disruption Events Brickman+ 2020

> 10 Interstellar Objects (aliens?)

SN?

 

 

 

Rubin Transients by the number

SKA

(2025)

Rubin Transients by the number

 

 

17B stars Ivezic+19

~10 million QSO Mary Loli+21

200 quadruply-lensed quasars Minghao+19

~50 kilonovae Setzer+19, Andreoni+19   (+ ToO)

~10k SuperLuminous Supernovae Villar+ 2018

~ 50k Tidal Disruption Events Brickman+ 2020

> 10 Interstellar Objects (aliens?)

~1000 SN / night

 

 

 

LSST

federica bianco - fbianco@udel.edu

@fedhere​

Rubin will see ~1000 SN every night!

Credit: Alex Gagliano University of Illinois, IAIFI fellow 2023

LSST time domain data products

What time scales can LSST probe?

Ivezić+2019

We study rare and unusual transients with machine learning and probabilistic inference

FASTLab

Image Credit: Xiaolong Li

What time scales can LSST probe?

Ivezić+2019

LSST has profoundly changed the TDA infrastructure

Discovery Engine

10M alerts/night

Community Brokers

target observation managers

the astronomy discovery chain

Pitt-Google

Broker

BABAMUL

Photometric Classification of transients

highest participation of any astronomical Kaggle challenges

Kaggle PLAsTiCC challenge

AVOCADO classifier

https://arxiv.org/abs/1907.04690

Kaggle PLAsTiCC challenge

AVOCADO classifier

https://arxiv.org/abs/1907.04690

Kaggle PLAsTiCC challenge

AVOCADO classifier

https://arxiv.org/abs/1907.04690

Presto Color observing strategy

proposing an LSST strategy collecting 3 images in 1 night in 2 filters Bianco et al. 2019

A probabilistic classifier for unusual transients within a single night of observations

Mr. Ming Lian Master Thesis

Sampling 40,000 transients

for each of 22 classes

in a hypercube in 6 dimensions:

- DT1

- DT2

- Filter 1

- Filter 2

- color

- magnitude

 

Sampling 40,000 transients

for each of 22 classes

in a hypercube in 6 dimensions:

- DT1

- DT2

- Filter 1

- Filter 2

- color

- magnitude

 

Punusual~0.95

Punusual~0.01

A probabilistic classifier for unusual transients within a single night of observations

Mr. Ming Lian Master Thesis

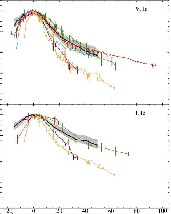
Data-Driven Templates for stripped SESN

can we tell them apart from their LSST lightcurves?

Dr. Somayeh Khakpash

LSSTC Catalyst Fellow, Rutgers

Dr. Somayeh Khakpash

LSSTC Catalyst Fellow, Rutgers

Open Astronomy Catalogs API

James Guillochon 

165 well-observed SESNe

for constructing templates

Data-Driven Templates for stripped SESN

 

Dr. Somayeh Khakpash

LSSTC Catalyst Fellow, Rutgers

Open Astronomy Catalogs API

James Guillochon 

165 well-observed SESNe

for constructing templates

Data-Driven Templates for stripped SESN

 

Dr. Somayeh Khakpash

LSSTC Catalyst Fellow, Rutgers

Data-Driven Templates for stripped SESN

 

Dr. Somayeh Khakpash

LSSTC Catalyst Fellow, Rutgers

Data-Driven Templates for stripped SESN

 

Weighted median SESN templates

relative mag

We demonstrate that using the weighed average induces bias

Dr. Somayeh Khakpash

LSSTC Catalyst Fellow, Rutgers

Data-Driven Templates for stripped SESN

 

Gaussian Processes subtype templates for IIb, Ib Ic, Ic-bl, Ibn

Dr. Somayeh Khakpash

LSSTC Catalyst Fellow, Rutgers

Data-Driven Templates for stripped SESN

 

- using SESN templates to start the Gaussian Processes fit

 

 

Gaussian Processes subtype templates for IIb, Ib Ic, Ic-bl, Ibn

Dr. Somayeh Khakpash

LSSTC Catalyst Fellow, Rutgers

Data-Driven Templates for stripped SESN

 

- using SESN templates to start the Gaussian Processes fit

- fitting in log-time because the SN evolution is faster at earlier epochs, slower later

 

 

 

Gaussian Processes subtype templates for IIb, Ib Ic, Ic-bl, Ibn

Dr. Somayeh Khakpash

LSSTC Catalyst Fellow, Rutgers

Data-Driven Templates for stripped SESN

 

- using SESN templates to start the Gaussian Processes fit

- fitting in log-time because the SN evolution is faster at earlier epochs, slower later

- double exponential kernel

   two parameters to optimize

 

Gaussian Processes subtype templates for IIb, Ib Ic, Ic-bl, Ibn

Dr. Somayeh Khakpash

LSSTC Catalyst Fellow, Rutgers

Data-Driven Templates for stripped SESN

 

- using SESN templates to start the Gaussian Processes fit

- fitting in log-time because the SN evolution is faster at earlier epochs, slower later

- double exponential kernel

- choosing GP parameters by

        - maximizing goodness of fit

        - and minimizing oscillations

 

Gaussian Processes subtype templates for IIb, Ib Ic, Ic-bl, Ibn

Dr. Somayeh Khakpash

LSSTC Catalyst Fellow, Rutgers

Data-Driven Templates for stripped SESN

 

Gaussian Processes subtype templates for IIb, Ib Ic, Ic-bl, Ibn

Dr. Somayeh Khakpash

LSSTC Catalyst Fellow, Rutgers

Data-Driven Templates for stripped SESN

 

Gaussian Processes subtype templates for IIb, Ib Ic, Ic-bl, Ibn

Dr. Somayeh Khakpash

LSSTC Catalyst Fellow, Rutgers

Data-Driven Templates for stripped SESN

 

Gaussian Processes subtype templates for IIb, Ib Ic, Ic-bl, Ibn

Dr. Somayeh Khakpash

LSSTC Catalyst Fellow, Rutgers

Data-Driven Templates for stripped SESN

 

Gaussian Processes subtype templates for IIb, Ib Ic, Ic-bl, Ibn

Dr. Somayeh Khakpash

LSSTC Catalyst Fellow, Rutgers

Data-Driven Templates for stripped SESN

 

Problems with the PLAsTiCC data may lead to biased classification models!

Gaussian Processes subtype templates for IIb, Ib Ic, Ic-bl, Ibn

SCONE, Qu et al 2021

Dr. Somayeh Khakpash

LSSTC Catalyst Fellow, Rutgers

Data-Driven Templates for stripped SESN

 

The PLAsTiCC successor, ELAsTiCC, is an improvement, but still shows issues: large variance, some bias

Gaussian Processes subtype templates for IIb, Ib Ic, Ic-bl, Ibn

Dr. Somayeh Khakpash

LSSTC Catalyst Fellow, Rutgers

Data-Driven Templates for stripped SESN

 

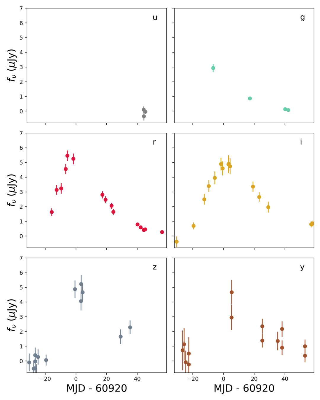
Identifying unusal SESNe

Relative magnitude

Phase (days)

thank you!

 

University of Delaware

Department of Physics and Astronomy

 

Biden School of Public Policy and Administration

Data  Science Institute

@fedhere

federica bianco

fbianco@udel.edu

LSST survey strategy optimization

Rubin LSST survey design

distributions of time gaps

in 76 LSST simulations (2018)

Rubin LSST survey design

Rubin Focus Issue of ApJS on Rubin Survey Strategy Optimization

A focus issue of ApJS to publish LSST cadence proposals work

Rubin LSST survey design

Bianco et al. 2021

Because the Rubin LSST data is open to all US scientists and to a broader yet community worldwide, to truly make it a survey of and for and of the people, Rubin Observatory called the community to design its survey -

this is a uniquely "democratic" process!

single document

9 chapters ​

25 science cases

 

14

46 papers

467 unique authors

 

 

16

39 notes

218 unique authors

 

 

173

date

 

 

response

 

 

available simulations

(OpSim)

 

2015-17

2018

 

2021

 

Rubin LSST survey design

2015-17

The call for cadence white papers generated an unprecedentedly collaborative process that lead to 46 white papers in 2018

Currently 12 have been turned into peer review work

23

23.7

24.7

24.3

25

26.9

28.1

 depth

depth

coadd depth

coadd depth

survey specifications

(current baseline)

g band

r band

source http://astro-lsst-01.astro.washington.edu:8080/?runId=2

27.1

23.3

0.576

0.52

intranight gap

hours

15

internight gap

days

15

3

median internight gap

days

50

5

median internight gap

days

any filter

r band

current survey specifications

26.9

28.1

coadd depth

survey specifications

(current baseline)

source http://astro-lsst-01.astro.washington.edu:8080/?runId=2

26.8

29.05

28.6

26.8

survey specifications

(current baseline)

26.8

29.05

28.6

26.8

Research Inclusion: sonification of LSST lightcurves

Rubin Rhapsodies

Rubin LSST Science Collaborations

federica bianco - fbianco@udel.edu

@fedhere​

8 teams

>1500 members

>2000 affiliations

5 continents

Rubin LSST Science Collaborations

federica bianco - fbianco@udel.edu

@fedhere​

Active Galactic Nuclei SC

Dark Energy SC

Informatics and Statistics SC

Galaxies SC

Strong Lensing SC

Stars Milky Way Local Volume  SC

Solar System  SC

Transients and Variable Stars  SC

 

Rubin LSST Science Collaborations

federica bianco - fbianco@udel.edu

@fedhere​

Dark Sector Cosmology

 

Rubin LSST Science Collaborations

federica bianco - fbianco@udel.edu

@fedhere​

Dark Sector Cosmology

Milky Way

Rubin LSST Science Collaborations

federica bianco - fbianco@udel.edu

@fedhere​

Dark Sector Cosmology

Milky Way

Solar System

Rubin LSST Science Collaborations

federica bianco - fbianco@udel.edu

@fedhere​

Dark Sector Cosmology

Milky Way

Solar System

TDA

Rubin LSST Science Collaborations

federica bianco - fbianco@udel.edu

@fedhere​

Dark Sector Cosmology

Milky Way

Solar System

TDA

Rubin Observatory LSST 

MMA and LEOsats

Iridium satellite number 35 lit up the predawn sky west of Boston at 5 a.m. EST on February 1, 1998, as Sky & Telescope senior editor Dennis di Cicco waited with his camera, taking a 10-minute exposure on Fujichrome 100 slide film through an 80-mm f/2.8 Hasselblad lens working at f/4.

Iridium satellite number 35 lit up the predawn sky west of Boston at 5 a.m. EST on February 1, 1998,  Sky & Telescope

Satellite flares

@fedhere

federica bianco fbianco@udel.edu

Time domain Rubin LSST science

can be mitigated:

- orientation of satellite,

- directing flares away from observer

- knowing coordinates to associate them to alerts

 

if not mitigate there would be bogus alerts and images ruined by saturating flares

 

Science Collaborations

 

Hainaut & Williams 2020

https://arxiv.org/abs/2003.01992

METAL23

By federica bianco

METAL23

  • 1,051