ML for physical and natural scientists 2023 3


dr.federica bianco | fbb.space |    fedhere |    fedhere 

models - linear regression - uncertainties

1

recap

NHRT

  • Theories should be falsifiable (= make predictions)

 

  • Analysis should be reproducible (share result, share raw data, share code to get result from raw data)

formulate your prediction (NH)

1

2

identify all alternative outcomes (AH)

 

3

set confidence threshold

(p-value)

 

4

find a measurable quantity which under the Null has a known distribution

(pivotal quantity)

 

5

6

calculate the pivotal quantity

 

calculate probability of value obtained for the pivotal quantity under the Null

 

if probability < p-value : reject Null

 

Key Slide

Null

Hypothesis

Rejection

Testing

Alternative Hypothesis

 

2

if all alternatives to our model are ruled out, then our model must hold 

 

 

P(A) + P(\bar{A}) = 1

identify all alternative outcomes

 

Null

Hypothesis

Rejection

Testing

6

test data against alternative outcomes

 
\quad\quad\mathrm{what~is}\quad\alpha?

95%

α is the x value corresponding to a chosen threshold

it represent the probability to get a result at least as extreme just by chance

 

what is

machine learning

1

 what is  machine learning?

 

[Machine Learning is the] field of study that gives computers the ability to learn without being explicitly programmed.

Arthur Samuel, 1959

 

[Machine Learning is the] field of study that gives computers the ability to learn without being explicitly programmed.

Arthur Samuel, 1959

 

model

parameters: slope (a), intercept (b)

y = ax + b

Model:

a mathematical formula with parameters

a
b

 what is  machine learning?

 

Model:

a mathematical formula with parameters

[Machine Learning is the] field of study that gives computers the ability to learn without being explicitly programmed.

Arthur Samuel, 1959

 

y = ax + b
x

model variable: x - for example  time, location, energy

model

parameters: slope (a), intercept (b)

 what is  machine learning?

 

Model:

a mathematical formula with parameters

[Machine Learning is the] field of study that gives computers the ability to learn without being explicitly programmed.

Arthur Samuel, 1959

 

y = a_1x_1 + a_1x_2 + b

model variable: x - for example  time, location, energy

model

 

 what is  machine learning?

 

Data:

a set of observations

Model:

a mathematical formula with parameters

[Machine Learning is the] field of study that gives computers the ability to learn without being explicitly programmed.

Arthur Samuel, 1959

 

 what is  machine learning?

 

[Machine Learning is the] field of study that gives computers the ability to learn without being explicitly programmed.

Arthur Samuel, 1959

 

Data:

a set of observations

Model:

a mathematical formula with parameters

for every parameter there are an infinity of models

 what is  machine learning?

 

[Machine Learning is the] field of study that gives computers the ability to learn without being explicitly programmed.

Arthur Samuel, 1959

 

Data:

a set of observations

Model:

a mathematical formula with parameters

Use the data to learn the parameters of the model

 what is  machine learning?

 

Machine Learning models are parametrized representation of "reality"  where the parameters are learned from finite sets of realizations of that reality

Machine Learning is the disciplines that conceptualizes, studies, and applies those models.

Key Concept

 what is  machine learning?

 

Use the data to learn the parameters of the model

the best way to think about it    in the ML context:

 

 

a model is a low dimensional representation of a higher dimensionality dataset

 

what is

machine learning

1.2

used to:

  • understand structure of feature space
  • classify based on examples,
  • regression (classification with infinitely small classes)
  • understand which features are important in prediction (to get close to causality)

unsupervised vs supervised learning

Clustering

partitioning the feature space so that the existing data is grouped (according to some target function!)

unsupervised vs supervised learning

Clustering

partitioning the feature space so that the existing data is grouped (according to some target function!)

Unsupervised learning

  • understanding structure  
  • anomaly detection
  • dimensionality reduction

All features are observed for all datapoints

unsupervised vs supervised learning

Clustering

partitioning the feature space so that the existing data is grouped (according to some target function!)

Classifying & regression

 

finding functions of the variables that allow to predict unobserved properties of new observations

Unsupervised learning

  • understanding structure  
  • anomaly detection
  • dimensionality reduction

All features are observed for all datapoints

unsupervised vs supervised learning

Clustering

partitioning the feature space so that the existing data is grouped (according to some target function!)

Classifying & regression

 

finding functions of the variables that allow to predict unobserved properties of new observations

Unsupervised learning

  • understanding structure  
  • anomaly detection
  • dimensionality reduction

All features are observed for all datapoints

unsupervised vs supervised learning

Clustering

partitioning the feature space so that the existing data is grouped (according to some target function!)

Classifying & regression

 

finding functions of the variables that allow to predict unobserved properties of new observations

Unsupervised learning

  • understanding structure  
  • anomaly detection
  • dimensionality reduction

Supervised learning

  • classification
  • prediction
  • feature selection

All features are observed for all datapoints

Some features are not observed for some data points we want to predict them.

unsupervised vs supervised learning

Unsupervised learning

Supervised learning

All features are observed for all datapoints

and we are looking for structure in the feature space

Some features are not observed for some data points we want to predict them.

The datapoints for which the target feature is observed are said to be "labeled"

Semi-supervised learning

Active learning

A small amount of labeled data is available. Data is cluster and clusters inherit labels

The code can interact with the user to update labels.

also...

unsupervised vs supervised learning

train, test, and validate

1.3

How do we measure if a model is good?

Accuracy

Precision

Recall

ROC

AOC

 

We will talk more about this later...

but for now focus on

regression performance metrics

validating a model

How do we measure if a model is good?

Accuracy

Precision

Recall

ROC

AOC

 

Absolute error

 

 

Squared error

 

 

Mean squared error

 

 

Root mean

squared error

 

Relative mean

squared error

 

R squared

SE = \sum_i\epsilon_i^2
MSE = \frac{1}{N}SE
RMSE=\sqrt{MSE}
rMSE = \frac{MSE}{\sigma^2}
R^2 = 1 - rMSE
AE = \sum_i|\epsilon_i|
\epsilon_i=y_𝑖 - f(t_i)

We will talk more about this later...

but for now focus on

regression performance metrics

validating a model

How do we measure if a model is good?

Accuracy

Precision

Recall

ROC

AOC

 

Absolute error

 

 

Squared error

 

 

Mean squared error

 

 

Root mean

squared error

 

Relative mean

squared error

 

R squared

SE = \sum_i\epsilon_i^2
MSE = \frac{1}{N}SE
RMSE=\sqrt{MSE}
rMSE = \frac{MSE}{\sigma^2}
R^2 = 1 - rMSE
AE = \sum_i|\epsilon_i|

do you recognize these??

\epsilon_i=y_𝑖 - f(t_i)

We will talk more about this later...

but for now focus on

regression performance metrics

validating a model

How do we measure if a model is good?

Accuracy

Precision

Recall

ROC

AOC

 

We will talk more about this later...

but for now focus on

regression performance metrics

Absolute error

 

 

Squared error

 

 

Mean squared error

 

 

Root mean

squared error

 

Relative mean

squared error

 

R squared

SE = \sum_i\epsilon_i^2 \equiv L_2
MSE = \frac{1}{N}SE
RMSE=\sqrt{MSE}
rMSE = \frac{MSE}{\sigma^2}
R^2 = 1 - rMSE
AE = \sum_i|\epsilon_i| \equiv L_1
\epsilon_i=y_𝑖 - f(t_i)

validating a model

How do we measure if a model is good?

Accuracy

Precision

Recall

ROC

AOC

 

We will talk more about this later...

but for now focus on

regression performance metrics

\epsilon_i=y_𝑖 - f(t_i)

Split the sample in test and training sets 

Train on the training set

Test (measure accuracy) on the test set

R^2 = 1 - rMSE

validating a model

from sklearn.model_selection import train_test_split

def line(x, intercept, slope):
    return slope * x + intercept

def chi2(args, x, y, s):
    a, b = args
    return sum((y - line(x, a, b))**2 / s)

x_train, x_test, y_train, y_test, s_train, s_test = train_test_split(
     x, y, s, test_size=0.25, random_state=42)

initialGuess = (10, 1)

chi2Solution_goodsplit = minimize(chi2, initialGuess, 
	args=(x_train, y_train, s_train))

print("best fit parameters from the minimization of the chi squared: " + 
       "slope {:.2f}, intercept {:.2f}".format(*chi2Solution_goodsplit.x))

print("R square on training set: ", Rsquare(chi2Solution_goodsplit.x, x_train, y_train))
print("R square on test set: ", Rsquare(chi2Solution_goodsplit.x, x_test, y_test))

validating a model

ML standard

In ML models need to be "validated":

  1. split the data into a training and a test set (typical split 70/30). 
  2. learn the model parameters by "training" the model on the training set
  3. "test" the model on the test set: measure the accuracy of the prediction (e.g. as the distance between the prediction and the test data).

The performance on the model is the performance achieved on the test set.  

An upgrade on this workflow is to create a training, a test, and a validation test. Iterate between training and test to achieve optimal performance, then measure accuracy on the validation set.This is because you can use the test set performance to tune the model hyperparameters (model selection) but then you would report a performance that is tuned on the test set.

a significance performance degradation on the test compared to training set indicates that the model is "overtrained" and does not generalize well.

Intermission: Gamma Ray Bursts

 

TL;DR: Gamma-ray bursts (GRBs) are bright X-ray and gamma-ray flashes observed in the sky, emitted by distant extragalactic sources. They are associated with the creation or merging of neutron stars or black holes.

Reprocessed X- and gamma-ray emission is visible in optical wavelengths, the "afterglow"

We measure a quantity named magnitude over time, which is an inverse logaritmic measure of brightness of the GRB, and which is expected to change it roughly linearly with the logarithm of time.

[ref]

 

Details: The light that we measure from these explosions changes over time, so we can study its time series or lightcurve.

The GRB afterglow is generated by a power-law process.

 

The change in light follows a power law, it's not linear, but

the logarithm of a power law is a line.

The logarithm (base 10) of the light flux is called magnitude in astronomy.

m = 25 - 2.5log10(flux)

 

power law

    x

10   

 

                x

log10(10   )

More Details: It is believed that the afterglow originates in the external shock produced as the blast wave from the explosion collides with and sweeps up material in the surrounding interstellar medium. The emission is synchrotron emission produced when electrons are accelerated in the presence of a magnetic field. The successive afterglows at progressively lower wavelengths (X-ray, optical, radio) result naturally as the expanding shock wave sweeps up more and more material causing it to slow down and lose energy.

 

*X-ray afterglows have been observed for all GRBs, but only about 50% of GRBs also exhibit afterglows at optical and radio wavelengths [ref]

grb050525A

 

Linear Regression

2

Regression

WHY?

Fitting a line

 ax+b

to data y

WHY?

Fitting a line

 ax+b

to data y

To predict and forecast

time (year)

See level contribution (mm)

Regression

To explain

distance / age of the Universe

Universe's expansion rate

supernova (stellar explosion)

measure the expansion rate at the Universe as a function of time. 

 

Deviation from linear falsify an adiabatically expanding Universe

time (year)

WHY?

Fitting a line

 ax+b

to data y

To predict and forecast

See level contribution (mm)

Regression

Key Concept

& Model Fitting

We fit models to data in order to:

 

Predict and forecast: predict the value of the endogenous  (dependent) variable at locations of the exogenous (independent, time) variable where we have no observations. This can be within the observed range, or outside of the range, which in time-series means predict the future (forecast)

 

Explain: relate observed behavior to first principles or behavior of possibly variables to explain the evolution and assess causality.

E.g. fitting a parabola to a bouncing ball demonstrates that gravity (and initial velocity) explains the behavior

Regression

 

Linear Regression

analytical solution

2.1

Linear Regression

Normal Equation

It can be shown that the optimal parameters for a line fit to data without uncertainties is:

 

(X^T \cdot X)^{-1} \cdot X^T \cdot \vec{y} ~=~\left(\substack{a\\b}\right)
x = grbAG[grbAG.upperlimit == 0].logtime.values
y = grbAG.loc[grbAG.upperlimit == 0].mag.values

X = np.c_[np.ones((len(x), 1)), x]


theta_best = np.linalg.inv(X.T.dot(X)).dot(X.T).dot(y)

Linear Regression

Normal Equation

It can be shown that the optimal parameters for a line fit to data without uncertainties is:

 

X = \begin{pmatrix} 1 & x_{1} \\ 1 & x_{2} \\ \vdots & \vdots \\ 1 & x_{m} \end{pmatrix}

independent variable

(X^T \cdot X)^{-1} \cdot X^T \cdot \vec{y} ~=~\left(\substack{a\\b}\right)

2x1

x = grbAG[grbAG.upperlimit == 0].logtime.values
y = grbAG.loc[grbAG.upperlimit == 0].mag.values

X = np.c_[np.ones((len(x), 1)), x]


theta_best = np.linalg.inv(X.T.dot(X)).dot(X.T).dot(y)

2xN       Nx2             2xN     Nx1

It can be shown that the optimal parameters for a line fit to data without uncertainties is:

 

from sklearn.linear_model import LinearRegression
lr = LinearRegression()

x = grbAG[grbAG.upperlimit == 0].logtime.values
y = grbAG.loc[grbAG.upperlimit == 0].mag.values

X = np.c_[np.ones((len(x), 1)), x]

lr.fit(X, y)
lr.coef_, lr.intercept_

We can let sklearn solve the equation for us:

 

(X^T \cdot X)^{-1} \cdot X^T \cdot \vec{y} ~=~\left(\substack{a\\b}\right)

2x1

Linear Regression

Normal Equation

x = grbAG[grbAG.upperlimit == 0].logtime.values
y = grbAG.loc[grbAG.upperlimit == 0].mag.values

X = np.c_[np.ones((len(x), 1)), x]


theta_best = np.linalg.inv(X.T.dot(X)).dot(X.T).dot(y)

2xN       Nx2             2xN     Nx1

 Regression

objective function

2.2

If there is no analytical solution

to select the "best" set of parameters we need a plan: we need to choose a function of the parameters to minimize or maximize

Objective Function

If there is no analytical solution

Objective Function

time

time

time

to select the best fit parameters we define a function of the parameters to minimize or maximize

If there is no analytical solution

Objective Function

time

time

time

which is the "best fit" line? A , B, C, D?

A

B

C

D

to select the best fit parameters we define a function of the parameters to minimize or maximize

If there is no analytical solution

Objective Function

time

time

time

L_1 = \sum_{i=1}^N|f(x) - y|
L_2 = \sum_{i=1}^N(f(x) - y)^2

to select the best fit parameters we define a function of the parameters to minimize or maximize

If there is no analytical solution

Objective Function

L_1 = \sum_{i=1}^N|f(x) - y|
L_2 = \sum_{i=1}^N(f(x) - y)^2
\chi^2 = \sum_{i=1}^N\frac{(f(x) - y)^2}{\sigma^2}

chi square: relates to the likelihood if the distribution is Gaussian

to select the best fit parameters we define a function of the parameters to minimize or maximize

If there is no analytical solution

to select the "best" set of parameters we need a plan: we need to choose a function of the parameters to minimize or maximize

Objective Function

L_1 = \sum_{i=1}^N|f(x) - y|
L_2 = \sum_{i=1}^N(f(x) - y)^2
\chi^2 = \sum_{i=1}^N\frac{(f(x) - y)^2}{\sigma^2}
from scipy.optimize import minimize
def line(a, b, x):
    return a * x + b
def fitfunc(args, x, y):
    a, b = args
    return np.abs((y - line(a, b, x)))

x = grbAG[grbAG.upperlimit == 0].logtime.values
y = grbAG.loc[grbAG.upperlimit == 0].mag.values
initialGuess = (10, 1)

fitfunc(initialGuess, x, y)
solution = minimize(fitfunc, initialGuess, args=(x, y))

If there is no analytical solution

to select the "best" set of parameters we need a plan: we need to choose a function of the parameters to minimize or maximize

Objective Function

L_1 = \sum_{i=1}^N|f(x) - y|
L_2 = \sum_{i=1}^N(f(x) - y)^2
\chi^2 = \sum_{i=1}^N\frac{(f(x) - y)^2}{\sigma^2}
from scipy.optimize import minimize
def line(a, b, x):
    return a * x + b
def fitfunc(args, x, y):
    a, b = args
    return np.sum((y - line(a, b, x))**2)

x = grbAG[grbAG.upperlimit == 0].logtime.values
y = grbAG.loc[grbAG.upperlimit == 0].mag.values
initialGuess = (10, 1)

fitfunc(initialGuess, x, y)
solution = minimize(fitfunc, initialGuess, args=(x, y))

If there is no analytical solution

to select the "best" set of parameters we need a plan: we need to choose a function of the parameters to minimize or maximize

Objective Function

L_1 = \sum_{i=1}^N|f(x) - y|
L_2 = \sum_{i=1}^N(f(x) - y)^2
\chi^2 = \sum_{i=1}^N\frac{(f(x) - y)^2}{\sigma^2}
from scipy.optimize import minimize
def line(a, b, x):
    return a * x + b
def chi2(args, x, y, s):
    a, b = args
    return np.sum((y - line(a, b, x))**2 / s**2)

x = grbAG[grbAG.upperlimit == 0].logtime.values
y = grbAG.loc[grbAG.upperlimit == 0].mag.values
s = grbAG.loc[grbAG.upperlimit == 0].magerr.values
initialGuess = (10, 1)

fitfunc(initialGuess, x, y)
solution = minimize(chi2, initialGuess, args=(x, y, s))

Key Concepts

What is Machine Learning? Machine Learning models are parametrized representations of "reality"  where the parameters are learned from finite sets of realizations of that reality. Machine Learning is the discipline that conceptualizes, studies, and applies those models.

Model selection: Choosing a model i.e. a mathematical formula which we expect to be a simplified representation of our observations.

 

Objective Functions and optimization: To find the best model parameters we define a function of the data and parameters f(data, parameters) to be minimized or maximized.

Model fitting: Determining the best set of parameters to fit the observations within a chosen model.

Reading

Data analysis recipes: Fitting a model to data

Intro and Chapter 1; pages 1-8

D. Hogg et al. https://arxiv.org/abs/1008.4686 

Lots of details about how to properly treat outliers, uncertainties, assumptions in fitting a line to data. Witty comments make it entertaining. Exercise it make it very helpful

 

References

Data analysis recipes: Fitting a model to data

D. Hogg et al. https://arxiv.org/abs/1008.4686 - lots of details about how to properly treat outliers, uncertainties, assumptions in fitting a line to data. Witty comments make it entertaining. Exercise it make it very helpful

AstroML Chapter 10 -  Intro

HOMLwSKLKerasTF Chapter 4 pages 111-117

 

Elements of Statistical Learning Chapter 3 Section 1 and 2

uncertainties in measurements

4

1  uncertainty in measurements

 

 

2 stochasticity in nature

 

3 combining uncertainties

 

4 MonteCarlo methods
 

5 Dark matter

 

 

{\displaystyle f_{k}=\sum _{i=1}^{n}A_{ki}x_{i}{\text{ or }}\mathrm {f} =\mathrm {Ax}}

systematic uncertainties

4.1

stochastic or random errors

unpredictable uncertainty in a measurement

due to lack of sensitivity in the measurement or

to stochasticity in a process

stochastic or random errors

unpredictable uncertainty in a measurement

due to lack of sensitivity in the measurement or

to stochasticity in a process

2.5 +/- 0.1 cm

stochastic or random errors

unpredictable uncertainty in a measurement

due to lack of sensitivity in the measurement or

to stochasticity in a process

2.0 +/- ε cm, ε > 0.1 cm

stochastic or random errors

every measurement will be a bit different

2.0 +/- ε cm, ε > 0.1 cm

stochastic or random errors

Deterministic systems have no randomness in

their evolution. Chaos is deterministic.…

 

Stochastic processes can be

completely random: the probability of  any event

is disjoint from that of the previous one

 

stochastic or random errors

every measurement will be a bit different

2.0 +/- ε cm, ε > 0.1 cm

2.4, 2.6, 2.5, 2.3, 2.4, 2.7, 2.3, 2.5, 2.6, 2.4

stochastic or random errors

2.0 +/- ε cm, ε > 0.1 cm

stochastic or random errors

p(y_i) = \frac{1}{\sigma_i \sqrt{2\pi}} \exp{-\frac{(y_i - (mx_i + b))^2 }{2 \sigma_i^2}}

stochastic or random errors

p(y_i) = \frac{1}{\sigma_i \sqrt{2\pi}} \exp{-\frac{(y_i - (mx_i + b))^2 }{2 \sigma_i^2}}
  • symmetric

stochastic or random errors

p(y_i) = \frac{1}{\sigma_i \sqrt{2\pi}} \exp{-\frac{(y_i - (mx_i + b))^2 }{2 \sigma_i^2}}
  • symmetric
  • max at 
y_i = (mx_i + b)

stochastic or random errors

p(y_i) = \frac{1}{\sigma_i \sqrt{2\pi}} \exp{-\frac{(y_i - (mx_i + b))^2 }{2 \sigma_i^2}}
  • symmetric
  • max at 
  • bell shaped
y_i = (mx_i + b)

stochastic or random errors

of particular interest are Poisson processes 

A discrete distribution that expresses the probability of a number of events

occurring in a fixed period of time if these events occur with a known average rate

and independently of the time since the last event.

 

stochastic or random errors

of particular interest are Poisson processes 

 

  • asymmetric
  • integer support
  • support >0
  • mean and stdev are related:
\mu: \lambda\\ \sigma: \sqrt{\lambda}
P\left( x \right) = \frac{{e^{ - \lambda } \lambda ^x }}{{x!}}

stochastic or random errors

of particular interest are Poisson processes 

 

P\left( x \right) = \frac{{e^{ - \lambda } \lambda ^x }}{{x!}}

stochastic or random errors

of particular interest are Poisson processes 

 

as the mean increases it starts looking like a Gaussian!

P\left( x \right) = \frac{{e^{ - \lambda } \lambda ^x }}{{x!}}

systematic uncertainties

4.2

systematic errors

reproducible inaccuracy introduced by faulty equipment, calibration, or technique.

systematic errors

2.5

reproducible inaccuracy introduced by faulty equipment, calibration, or technique.

2.7 => 2.5 + 0.2 +/- 0.1

systematic errors

2.5

reproducible inaccuracy introduced by faulty equipment, calibration, or technique.

2.7 => 2.5 + 0.2 +/- 0.1

systematic errors

2.5

reproducible inaccuracy introduced by faulty equipment, calibration, or technique.

2.7 => 2.5 + 0.2 +/- 0.1

systematic errors

2.5

reproducible inaccuracy introduced by faulty equipment, calibration, or technique.

2.7 => 2.5 + ? +/- 0.1

  • Measurements are taken at  22 C with a steel rule calibrated at 15 C. This is a systematic bias and not a systematic uncertainty
  • Brightness is known, distance is estimated accordingly. In space interstellar dust can make sources dimmer, but not brighter.           systematic uncertainty
 
 

systematic errors

inaccuracy introduced by faulty equipment, calibration, or technique.

systematic errors

inaccuracy introduced by faulty equipment, calibration, or technique.

systematic errors

inaccuracy introduced by faulty equipment, calibration, or technique.

the surveyed segment of the population is lower in a sample than it is in the population. This can happen because the frame used to obtain the sample is incomplete or not representative of the population.

Undercoverage bias

Bias in measurements: know your data

Publication Bias

Bias in measurements: know your data

Publication Bias

 

Bias in measurements: know your data

Publication Bias

 

sample size

Bias in measurements: know your data

Publication Bias

 

sample size

Bias in measurements: know your data

Publication Bias

 

Bias in measurements: know your data

https://xkcd.com/882/

  Data Dredging

Bias in measurements: know your data

  Data Dredging

Bias in measurements: know your data

  Data Dredging

each test has a

probability p<=0.05

of Type I error

significance 95%

20 tests are preformed

assume independence:

if pi = 0.05 for each i=1..20

Bias in measurements: know your data

Bias in measurements: know your data

  Data Dredging

each test has a

probability p<=0.05

of Type I error

significance 95%

20 tests are preformed

assume independence:

if pi = 0.05 for each i=1..20

p_{tot} = \sum_i p_i\\ p_{tot} = 20 * p_i = 1

Stochastic vs Systematics

 
Systematic Statistical
Biases the measurement in one direction No preferred direction
Affects the sample regardless of the size Shrinks with the sample size (typically as N)
Any distribution (usually we use Gaussian though) Typically Gaussian or Poisson

Precision vs Accuracy

 

Accuracy

Precision

Precision vs Accuracy

 

Accuracy

Precision

which relates to stochastic errors,

which to stsystematic?

the meaning of

"uncertainty"

 

the meaning of

"uncertainty"

when reporting

a result

 

the meaning of

"uncertainty"

when reporting

a result

 

CMB cosmology

 

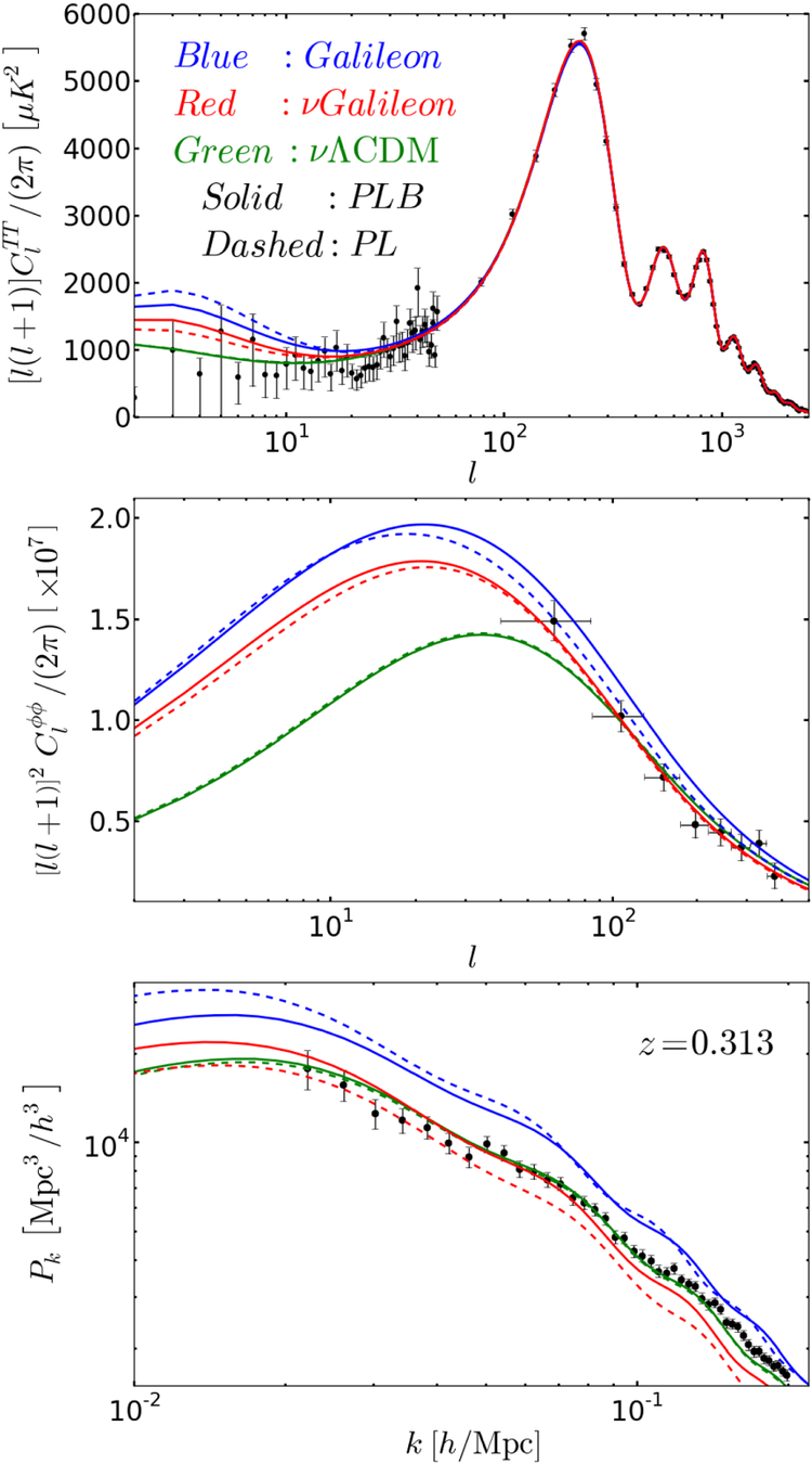
Fig 4: These plots illustrate the differences between 𝛬CDMΛCDM and Galileon models (see Sect. 7.3.1), with and without massive neutrinos. The Galileon models have background Friedmann equations that contain a scalar-field energy density contribution that generates late time cosmic acceleration and has an evolution consistent with observations and thus similar to that of a 𝛬CDMΛCDM model. The Galileon scalar field here also affects linear perturbations and is not coupled to matter. The effect of the Galileon field considered here is focused on large-scale structure. The Top: CMB temperature power spectra showing the ISW effect at low multipoles. Middle: CMB lensing potential spectra. Bottom: linear matter power spectra. The models plotted in dashed lines indicate their best fit models to Ade et al. (2014c) temperature data, WMAP9 polarization data (Hinshaw et al. 2013), and Planck-2013 CMB lensing (Ade et al. 2014d). 

 

They note these as PL models. The solid lines indicate their best fits to CMB data (i.e., PL) plus BAO measurements from 6dF, SDSS DR7 and BOSS DR9. They note these as PLB models. The models correspond to best-fitting base Galileon modified gravity model (in blue), 𝜈GalileonνGalileon (in red) and 𝜈𝛬CDMνΛCDM (in green). For the last two models, the authors added massive neutrino. In the upper and middle panels, the data points show the power spectrum measured by the Planck satellite (Ade et al. 2014c). In the lower panel, the data points show the SDSS-DR7 Luminous Red Galaxy power spectrum of Reid et al. (2010), but scaled down to match the amplitude of the best-fitting 𝜈GalileonνGalileon (PLB) model (Barreira et al. 2014a). We refer to this figure from various parts of the text

Image from Barreira et al. (2014).

uncertainties: 1-σ

1-σ

68% probability

3 points out of 10 can be outside of the uncertainties

uncertainties: 1-σ

1-σ

68% probability

3 points out of 10 can be outside of the uncertainties

uncertainties: 1-σ

2-σ

95% probability

5 points out of 100 can be outside of the uncertainties

uncertainties: 1-σ

3-σ

99.7% probability

3 points out of 1000 can be outside of the uncertainties

uncertainties: 1-σ

1-σ

68% probability

3 points out of 10 can be outside of the uncertainties

uncertainties: 1-σ

1-σ

68% probability

7 points out of 10 should be inside the errorbar

8 data points: 

4 in 4 out

uncertainties: 1-σ

1-σ

68% probability

7 points out of 10 should be inside the errorbar

8 data points: 

7 in 1 out

uncertainties: 1-σ

1-σ

68% probability

7 points out of 10 should be inside the errorbar

combining uncertainties

 

5

combining uncertainties

 

If x,…,w are measured with independent and random uncertainties

Δx,…,Δw the uncertainty in  a linear combination of x,…,w  is the quadratic sum:

 

combining uncertainties

 

If x,y,..,w are measured with independent and random uncertainties

Δx,Δy,…,Δw the uncertainty in  a linear combination of x,y,…,w  is the quadratic sum:

 

\Delta_f = \sqrt{\left(\frac{\partial f}{\partial x}^2\right)\Delta_x^2 + \left(\frac{\partial f}{\partial y}^2\right)\Delta_y^2 + ... + \left(\frac{\partial f}{\partial w}^2\right)\Delta_w^2 }
f(x,y,...w):\\

combining uncertainties

 

derivation

{\displaystyle \Sigma ^{x}={\begin{pmatrix}\sigma _{1}^{2}&\sigma _{12}&\sigma _{13}&\cdots \\\sigma _{12}&\sigma _{2}^{2}&\sigma _{23}&\cdots \\\sigma _{13}&\sigma _{23}&\sigma _{3}^{2}&\cdots \\\vdots &\vdots &\vdots &\ddots \end{pmatrix}}={\begin{pmatrix}{\Sigma }_{11}^{x}&{\Sigma }_{12}^{x}&{\Sigma }_{13}^{x}&\cdots \\{\Sigma }_{12}^{x}&{\Sigma }_{22}^{x}&{\Sigma }_{23}^{x}&\cdots \\{\Sigma }_{13}^{x}&{\Sigma }_{23}^{x}&{\Sigma }_{33}^{x}&\cdots \\\vdots &\vdots &\vdots &\ddots \end{pmatrix}}}
{\displaystyle f_{k}=\sum _{i=1}^{n}A_{ki}x_{i}{\text{ or }}\mathrm {f} =\mathrm {Ax}}

combining uncertainties

 

derivation

{\displaystyle f_{k}=\sum _{i=1}^{n}A_{ki}x_{i}{\text{ or }}\mathrm {f} =\mathrm {Ax}}
{\displaystyle \Sigma ^{x}={\begin{pmatrix}\sigma _{1}^{2}&\sigma _{12}&\sigma _{13}&\cdots \\\sigma _{12}&\sigma _{2}^{2}&\sigma _{23}&\cdots \\\sigma _{13}&\sigma _{23}&\sigma _{3}^{2}&\cdots \\\vdots &\vdots &\vdots &\ddots \end{pmatrix}}={\begin{pmatrix}{\Sigma }_{11}^{x}&{\Sigma }_{12}^{x}&{\Sigma }_{13}^{x}&\cdots \\{\Sigma }_{12}^{x}&{\Sigma }_{22}^{x}&{\Sigma }_{23}^{x}&\cdots \\{\Sigma }_{13}^{x}&{\Sigma }_{23}^{x}&{\Sigma }_{33}^{x}&\cdots \\\vdots &\vdots &\vdots &\ddots \end{pmatrix}}}
{\displaystyle {\Sigma }_{ij}^{f}=\sum _{k}^{n}\sum _{\ell }^{n}A_{ik}{\Sigma }_{k\ell }^{x}A_{j\ell }}

combining uncertainties

 

derivation

{\displaystyle f_{k}=\sum _{i=1}^{n}A_{ki}x_{i}{\text{ or }}\mathrm {f} =\mathrm {Ax}}
{\displaystyle \Sigma ^{x}={\begin{pmatrix}\sigma _{1}^{2}&\sigma _{12}&\sigma _{13}&\cdots \\\sigma _{12}&\sigma _{2}^{2}&\sigma _{23}&\cdots \\\sigma _{13}&\sigma _{23}&\sigma _{3}^{2}&\cdots \\\vdots &\vdots &\vdots &\ddots \end{pmatrix}}={\begin{pmatrix}{\Sigma }_{11}^{x}&{\Sigma }_{12}^{x}&{\Sigma }_{13}^{x}&\cdots \\{\Sigma }_{12}^{x}&{\Sigma }_{22}^{x}&{\Sigma }_{23}^{x}&\cdots \\{\Sigma }_{13}^{x}&{\Sigma }_{23}^{x}&{\Sigma }_{33}^{x}&\cdots \\\vdots &\vdots &\vdots &\ddots \end{pmatrix}}}
{\displaystyle {\Sigma } =\mathrm {A} \Sigma ^{x}\mathrm {A} ^{\top }}

combining uncertainties

 

derivation

{\displaystyle \Sigma ^{x}={\begin{pmatrix}\sigma _{1}^{2}&0&0&\cdots \\0&\sigma _{2}^{2}&0&\cdots \\0&0&\sigma _{3}^{2}&\cdots \\\vdots &\vdots &\vdots &\ddots \end{pmatrix}}={\begin{pmatrix}{\Sigma }_{11}^{x}&0&0&\cdots \\0&{\Sigma }_{22}^{x}&0&\cdots \\0&0&{\Sigma }_{33}^{x}&\cdots \\\vdots &\vdots &\vdots &\ddots \end{pmatrix}}}
{\displaystyle {\Sigma }_{ij}^{f}=\sum _{k}^{n}A_{ik}{\Sigma }_{k}^{x}A_{jk}}
{\displaystyle f_{k}=\sum _{i=1}^{n}A_{ki}x_{i}{\text{ or }}\mathrm {f} =\mathrm {Ax}}

sum in quadrature:

 

\Delta_f = \sqrt{\left(\frac{\partial f}{\partial x}^2\right)\Delta_x^2 + \left(\frac{\partial f}{\partial y}^2\right)\Delta_y^2 + ... }

combining uncertainties

 

derivation

{\displaystyle f=\sum _{i}^{n}a_{i}x_{i}:f=\mathrm {a} x\,}\\ {\displaystyle \sigma _{f}^{2}=\sum _{i}^{n}\sum _{j}^{n}a_{i}{\Sigma }_{ij}^{x}a_{j}=\mathrm {a} \Sigma ^{x}\mathrm {a} ^{\top }}
{\displaystyle f_{k}=\sum _{i=1}^{n}A_{ki}x_{i}{\text{ or }}\mathrm {f} =\mathrm {Ax}}

Model fit:

Optimization and Likelihood

6

Optimization & Likelihood

change a, b to minimize χ2

Target Funcion

 

\chi^2 = \sum_{i=1}^N(\frac{y_i - (a~x_i + b))^2}{\sigma^2})
y_i = (a~x_i + b)

Linear regression

Optimization & Likelihood

Target Funcion

 

\chi^2 = \sum_{i=1}^N(\frac{y_i - (a~x_i + b))^2}{\sigma^2})
y_i = (a~x_i + b)

Univariate Linear regression

b

a

N\sim \frac{1}{\sqrt{2\pi}\sigma}exp\frac{-(x-\mu)^2}{2\sigma^2}

Gaussian

Probability of data given a model, e.g. Gaussian

 

Maximizing the likelihood we seek the parameters that maximize the probability of the observed data under the chosen model

Likelihood: the probability of the model given the data. Same Gaussian assumptions

 

Likelihood

unknown variables

unknown variables

L(\mu, \sigma | \vec{x}) \sim \frac{1}{\sqrt{2\pi}\sigma}exp\frac{-(\vec{x}-\mu)^2}{2\sigma^2}
P(\vec{x} |\mu, \sigma ) \sim \frac{1}{\sqrt{2\pi}\sigma}exp\frac{-(\vec{x}-\mu)^2}{2\sigma^2}

 

 

Optimization

Target Funcion

 

\chi^2 = \sum_{i=1}^N(\frac{(y_i - (a~x_i + b))^2}{\sigma_i^2})
y_i = (a~x_i + b)

Univariate Linear regression

b

a

Gradient descent is an iterative algorithm, that starts from a random point on a function and travels down its slope in steps until it reaches the lowest point of that function.

(Toward data science)

Target Funcion

 

\chi^2 = \sum_{i=1}^N(\frac{(y_i - (a~x_i + b))^2}{\sigma_i^2})
y_i = (a~x_i + b)

Univariate Linear regression

b

a

Gradient Descent

{\displaystyle p_\mathrm{new}:=p_\mathrm{old}-\eta \nabla Q(p)}

 

 

Optimization

  1. Choose a target function Q(p) of the parameters p
     
  2. Choose a (random) initial value for the parameters: (e.g.
    p
    0 = (a0, b0))
     
  3. Choose a learning rate η (this could be a multidimensional vector ηi setting a different learning rate for different features)

    Repeat steps 4, 5, 6 until "convergence":
     
  4. Calculate the gradient Q' of the target function for the current parameter values calculating it over all observations in the training set
     
  5. Calculate the next step sizes for each feature :
    stepsize = Q'(p_now) * η 
     
  6. Calculate the new parameters p_new as :
    p_new = p_now - stepsize
\Delta Q(p_\mathrm{final}) \in [-\epsilon, \epsilon]

gradient descent algorithm

"convergence" is reached when the gradient is ~0: with ε  tollrance

 

{\displaystyle p_\mathrm{new}:=p_\mathrm{old}-\eta \nabla Q(p)}
Q: ~\mathrm{target ~function}\\ p: ~\mathrm{parameters}\\ \eta : ~\mathrm{learning rate}\\ \epsilon : ~\mathrm{tolerance}

 

 

Optimization

Target Funcion

 

\chi^2 = \sum_{i=1}^N(\frac{(y_i - (a~x_i + b))^2}{\sigma_i^2})
y_i = (a~x_i + b)

Univariate Linear regression

p_{\mathrm{new}} = p_{\mathrm{old}} - \sum_j\eta_j\sum_{i=1}^N \frac{df'(x_{i,j})}{dx_{i,j}}

Gradient Descent

 

 

Optimization

Target Funcion

 

\chi^2 = \sum_{i=1}^N(\frac{(y_i - (a~x_i + b))^2}{\sigma_i^2})

b

a

 

 

Optimization

Target Funcion

 

\chi^2 = \sum_{i=1}^N(\frac{(y_i - (a~x_i + b))^2}{\sigma_i^2})

b

a

Add stochasticity to avoid getting stuck in a local minimum

 

 

Optimization

\Delta Q(p_\mathrm{final}) \in [-\epsilon, \epsilon]

stochastic gradient descent algorithm

"convergence" is reached when the gradient is ~0: with ε  tollrance

 

{\displaystyle p_\mathrm{new}:=p_\mathrm{old}-\eta \nabla Q(p)}
Q: ~\mathrm{target ~function}\\ p: ~\mathrm{parameters}\\ \eta : ~\mathrm{learning ~rate}\\ \epsilon : ~\mathrm{tolerance}

 

 

Optimization

  1. Choose a target function Q(p) of the parameters p
     
  2. Choose a (random) initial value for the parameters: (e.g.
    p
    0 = (a0, b0))
     
  3. Choose a learning rate η (this could be a multidimensional vector ηi setting a different learning rate for different features)

    Repeat steps 4, 5, 6 until "convergence":
     
  4. Calculate the gradient Q' of the target function for the current parameter values on a subset of the observations (extreme: size=1)
     
  5. Calculate the next step sizes for each feature :
    stepsize = Q'(p_now) * η 
     
  6. Calculate the new parameters p_new as :
    p_new = p_now - stepsize
\Delta Q(p_\mathrm{final}) \in [-\epsilon, \epsilon]

stochastic gradient descent algorithm

"convergence" is reached when the gradient is ~0: with ε  tollrance

 

{\displaystyle p_\mathrm{new}:=p_\mathrm{old}-\eta \nabla Q(p)}
Q: ~\mathrm{target ~function}\\ p: ~\mathrm{parameters}\\ \eta : ~\mathrm{learning ~rate}\\ \epsilon : ~\mathrm{tolerance}

 

 

Optimization

  1. Choose a target function Q(p) of the parameters p
     
  2. Choose a (random) initial value for the parameters: (e.g.
    p
    0 = (a0, b0))
     
  3. Choose a learning rate η (this could be a multidimensional vector ηi setting a different learning rate for different features)

    Repeat steps 4, 5, 6 until "convergence":
     
  4. Calculate the gradient Q' of the target function for the current parameter values on a subset of the observations (extreme: size=1)
     
  5. Calculate the next step sizes for each feature :
    stepsize = Q'(p_now) * η 
     
  6. Calculate the new parameters p_new as :
    p_new = p_now - stepsize

stochastic gradient descent algorithm

 

 

Optimization

  1. Choose a target function Q(p) of the parameters p
     
  2. Choose a (random) initial value for the parameters: (e.g.
    p
    0 = (a0, b0))
     
  3. Choose a learning rate η (this could be a multidimensional vector ηi setting a different learning rate for different features)

    Repeat steps 4, 5, 6 until "convergence":
     
  4. Calculate the gradient Q' of the target function for the current parameter values calculating it over all observations in the training set
     
  5. Calculate the next step sizes for each feature :
    stepsize = Q'(p_now) * η 
     
  6. Calculate the new parameters p_new as :
    p_new = p_now - stepsize

gradient descent algorithm

Target Funcion

 

\chi^2 = \sum_{i=1}^N(\frac{(y_i - (a~x_i + b))^2}{\sigma_i^2})
y_i = (a~x_i + b)

Univariate Linear regression

p_{\mathrm{new}} = p_{\mathrm{old}} - \sum_j\eta_j \frac{df'(x_{i,j})}{dx_{i,j}}_{i\in N}

Stochastic Gradient Descent

where i 1 elements of the full N-dimensional observation set (a subset) 

 

 

Optimization

Target Funcion

 

\chi^2 = \sum_{i=1}^N(\frac{(y_i - (a~x_i + b))^2}{\sigma_i^2})
y_i = (a~x_i + b)

Univariate Linear regression

b

a

idea 2. start a bunch of parallel optimizations

 

 

 

Optimization

Bayes theorem

P(\mathrm{model}|\mathrm{data})P(\mathrm{data}) = P(\mathrm{data}|\mathrm{model})P(\mathrm{model})
P(\mathrm{model}|\mathrm{data}) = \frac{P(\mathrm{data}|\mathrm{model})P(\mathrm{model})}{P(\mathrm{data})}

posterior: joint probability distributin of a parameter set (θ, e.g. (m, b)) condition upon some data D and a model hypothesys f

evidence: marginal likelihood of data under the model

P(\theta|\mathrm{D}) = \frac{P(\mathrm{D}|\theta)P(\theta)}{P(\mathrm{D})}

prior: “intellectual” knowledge about the model parameters condition on a model hypothesys f. This should come from domain knowledge or knowledge of data that is not the dataset under examination

P(D|f) = \int_{-\infty}^\infty P(D|\theta,f)P(\theta|f)d\theta

in reality all of these quantities are conditioned on the shape of the model: this is a model fitting, not a model selection methodology

Bayes theorem

MonteCarlo methods

 

6

MonteCarlo method 

results are computed based on repeated random sampling and statistical analysis

 

  • History of Monte Carlo Methods
  • Application of MC to probabilistic inference
  • A simple  MC simulation
  • Rejection & Importance Sampling
  • Markovian Processes and Markov chains
  • Bayes theorem and the posterior distribution
  • Metropolis-Hastings (and Gibbs sampling) MCMC
  • Affine Invariant MCMC
  • convergence criteria

MC history

 

6.1

history of MC

The number of different games is 52! = 52x51x52…x3x2x1 ~ 8x1067

 “What are the chances that a Canfield solitaire laid out with 52 cards will come out successfully?
 

history of MC

The number of different games is 52! = 52x51x52…x3x2x1 ~ 8x1067

 “What are the chances that a Canfield solitaire laid out with 52 cards will come out successfully?
 

After spending a lot of time trying to estimate them by pure combinatorial calculations, I wondered whether a more practical method than abstract thinking might not be to lay it out say one hundred times and
simply observe and count the number of successful play

history of MC

The Fermiac

Enrico Fermi looked really smart with his predictions…

or Monte Carlo trolley

history of MC

 “What are the chances that a Canfield solitaire laid out with 52 cards will come out successfully?
 

After spending a lot of time trying to estimate them by pure combinatorial calculations, I wondered whether a more practical method than abstract thinking might not be to lay it out say one hundred times and
simply observe and count the number of successful play

history of MC

The Manhattan Project

 

The advent of computing allowed for major innovation in the realm of simulation. Metropolis led a group that developed the Monte Carlo method, which simulates the results of an experiment by using a broad set of random numbers

6.2

simple example

simple example

\mathrm{Area}~=~\mathrm{Base}~\mathrm{x}~\mathrm{Height}

simple example

\mathrm{Area}~=~\frac{\mathrm{Base}~\mathrm{x}~\mathrm{Height}}{2}

simple example

\mathrm{Area}~=~???

Why am I bothering with areas? - Expectation values are related to areas

Why am I bothering with areas? - Expectation values are related to areas

P(A)

P(C)

P(B)

Why am I bothering with areas? - Expectation values are related to areas

The final probability is likely very complicated (especially if this is a complex system with feedback loops as many physics systems, e.g. radiative transfer!). It may not be tractable analytically but can be simulated

P(F|C,D,E)

Why am I bothering with areas? - Expectation values are related to areas

A person’s depth

B prob to find them at time t

C they survive  the avalange

E can be resuscitated at time t

D they are still alive at t

F person survives

Why am I bothering with areas? - Expectation values are related to areas

Calculate Pi

https://www.jstor.org/stable/2686489?seq=1

Model Optimization

 with MCMC

7

Monte Carlo Markov Chain

stochastic 

"markovian" 

sequence

 

posterior: joint probability distributin of a parameter set (m, b) conditioned upon some data D and a model hypothesys f

 MCMC

Goal: sample the posterior distribution

slope

intercept

slope

Goal: sample the posterior distribution

MCMC

 

 choose a starting point in the parameter space: current = θ0 = (m0,b0)

 WHILE convergence criterion is met:

       calculate the current posterior pcurr = P(D|θ0,f)

       //proposal

       choose a new set of parameters new = θnew = (mnew,bnew)

       calculate the proposed posterior pnew = P(D|θnew,f)

       IF pnew/pcurr > 1:

                current = new

       ELSE:

                //probabilistic step: accept with probability pnew/pcurr

               draw a random number r ૯U[0,1]

               IF pnew/pcurr > r:
                          current = new

               ELSE:

                          pass // do nothing

 

stochasticity allows us to explore the whole surface but spend more time in interesting spots

Goal: sample the posterior distribution

MCMC

 

 choose a starting point in the parameter space: current = θ0 = (m0,b0)

 WHILE convergence criterion is met:

       calculate the current posterior pcurr = P(D|θ0,f)

       //proposal

       choose a new set of parameters new = θnew = (mnew,bnew)

       calculate the proposed posterior pnew = P(D|θnew,f)

       IF pnew/pcurr > 1:

                current = new

       ELSE:

                 

Questions:

1. how do I choose the next  point?

Any Markovian ergodic process

 

 

 

 choose a starting point in the parameter space: current = θ0 = (m0,b0)

 WHILE convergence criterion is met:

       calculate the current posterior pcurr = P(D|θ0,f)

       //proposal

       choose a new set of parameters new = θnew = (mnew,bnew)

       calculate the proposed posterior pnew = P(D|θnew,f)

       IF pnew/pcurr > 1:

                current = new

       ELSE:

                //probabilistic step: accept with probability pnew/pcurr

               draw a random number r ૯U[0,1]

               IF r > pnew/pcurr >:
                          current = new

               ELSE:

                          pass // do nothing

 

MCMC

 

 choose a starting point in the parameter space: current = θ0 = (m0,b0)

 WHILE convergence criterion is met:

       calculate the current posterior pcurr = P(D|θ0,f)

       //proposal

       choose a new set of parameters new = θnew = (mnew,bnew)

       calculate the proposed posterior pnew = P(D|θnew,f)

       IF pnew/pcurr > 1:

                current = new

       ELSE:

                //probabilistic step: accept with probability pnew/pcurr

               draw a random number r ૯U[0,1]

               IF pnew/pcurr > r:
                          current = new

               ELSE:

                          pass // do nothing

A process is Markovian if the next state of the system is determined stochastically as a perturbation of the current state of the system, and only the current state of the system, i.e. the system has no memory of earlier states (a memory-less process).

 

A Markovian Process

Definition

Ergodic Process

(given enough time) the entire parameter space would be sampled.

 
 

At equilibrium, each elementary process should be equilibrated by its reverse process.

reversible Markov process

 

Detailed Balance is a sufficient condition for ergodicity

\pi (x_1)P(x_2 | x_1)=\pi (x_2)P(x_1 | x_2)

Metropolis Rosenbluth Rosenbluth Teller 1953 - Hastings 1970

Definition

it can be shown that

If the chains are a Markovian Ergodic process

the algorithm is guaranteed to explore the entire likelihood surface given infinite time

 
 

This is in contrast to gradient descent, which can get stuck in local minima or in local saddle points. 

The problem of fitting models to data reduces to finding the

maximum likelihood

of the data given the model

 

This is effectively done by finding the minimum of the

-log(likelihood)

The chains: the algorithm creates a "chain" (a random walk) that "explores" the likelihood surface.

More efficient is to run many parallel chains - each exploring the surface, an "ensemble"

The path of the chains can be shown along each feature

 

MCMC

 

 choose a starting point in the parameter space: current = θ0 = (m0,b0)

 WHILE convergence criterion is met:

       calculate the current posterior pcurr = P(D|θ0,f)

       //proposal

       choose a new set of parameters new = θnew = (mnew,bnew)

       calculate the proposed posterior pnew = P(D|θnew,f)

       IF pnew/pcurr > 1:

                current = new

       ELSE:

                //probabilistic step: accept with probability pnew/pcurr

               draw a random number r ૯U[0,1]

               IF r > pnew/pcurr >:
                          current = new

               ELSE:

                          pass // do nothing

 

step

feature value

 

 choose a starting point in the parameter space: current = θ0 = (m0,b0)

 WHILE convergence criterion is met:

       calculate the current posterior pcurr = P(D|θ0,f)

       //proposal

       choose a new set of parameters new = θnew = (mnew,bnew)

       calculate the proposed posterior pnew = P(D|θnew,f)

       IF pnew/pcurr > 1:

                current = new

       ELSE:

                //probabilistic step: accept with probability pnew/pcurr

               draw a random number r ૯U[0,1]

               IF pnew/pcurr > r:
                          current = new

               ELSE:

                          pass // do nothing

 

how to choose the next point

how you make this decision names the algorithm

simulated annealing (good for multimodal)

parallel tempering (good for multimodal)
differential evolution (good for covariant spaces)

Gibbs sampling (move in along one variable at a time)

 

MCMC

 

 choose a starting point in the parameter space: current = θ0 = (m0,b0)

 WHILE convergence criterion is met:

       calculate the current posterior pcurr = P(D|θ0,f)

       //proposal

       choose a new set of parameters new = θnew = (mnew,bnew)

       calculate the proposed posterior pnew = P(D|θnew,f)

       IF pnew/pcurr > 1:

                current = new

       ELSE:

                //probabilistic step: accept with probability pnew/pcurr

               draw a random number r ૯U[0,1]

               IF pnew/pcurr > r:
                          current = new

               ELSE:

                          pass // do nothing

 

how to choose the next point

how you make this decision names the algorithm

simulated annealing (good for multimodal)

parallel tempering (good for multimodal)
differential evolution (good for covariant spaces)

Gibbs sampling (move in along one variable at a time)

 

MCMC

 

MCMC

 

 choose a starting point in the parameter space: current = θ0 = (m0,b0)

 WHILE convergence criterion is met:

       calculate the current posterior pcurr = P(D|θ0,f)

       //proposal

       choose a new set of parameters new = θnew = (mnew,bnew)

       calculate the proposed posterior pnew = P(D|θnew,f)

       IF pnew/pcurr > 1:

                current = new

       ELSE:

                //probabilistic step: accept with probability pnew/pcurr

               draw a random number r ૯U[0,1]

               IF r > pnew/pcurr >:
                          current = new

               ELSE:

                          pass // do nothing

 

step

feature value

 

 choose a starting point in the parameter space: current = θ0 = (m0,b0)

 WHILE convergence criterion is met:

       calculate the current posterior pcurr = P(D|θ0,f)

       //proposal

       choose a new set of parameters new = θnew = (mnew,bnew)

       calculate the proposed posterior pnew = P(D|θnew,f)

       IF pnew/pcurr > 1:

                current = new

       ELSE:

                //probabilistic step: accept with probability pnew/pcurr

               draw a random number r ૯U[0,1]

               IF pnew/pcurr > r:
                          current = new

               ELSE:

                          pass // do nothing

 

Examples of how to choose the next point

affine invariant : EMCEE package

MCMC convergence

MCMC convergence

  1. check autocorrelation within a chain (Raftery)
  2. check that all chains coverged to same region (a stationary distribution GelmanRubin)
  3. mean at beginning = mean at end (Geweke)
  4. check that entire chain reached stationary distribution (or a final fraction of the chain, Heidelberg-Welch using Cramer-von-Mises statistic)

MCMC convergence

  1. check autocorrelation within a chain (Raftery)
  2. check that all chains coverged to same region (a stationary distribution GelmanRubin)
  3. mean at beginning = mean at end (Geweke)
  4. check that entire chain reached stationary distribution (or a final fraction of the chain, Heidelberg-Welch using Cramer-von-Mises statistic)

MCMC convergence

  1. check autocorrelation within a chain (Raftery)
  2. check that all chains coverged to same region (a stationary distribution GelmanRubin)
  3. mean at beginning = mean at end (Geweke)
  4. check that entire chain reached stationary distribution (or a final fraction of the chain, Heidelberg-Welch using Cramer-von-Mises statistic)

MCMC convergence

  1. check autocorrelation within a chain (Raftery)
  2. check that all chains coverged to same region (a stationary distribution GelmanRubin)
  3. mean at beginning = mean at end (Geweke)
  4. check that entire chain reached stationary distribution (or a final fraction of the chain, Heidelberg-Welch using Cramer-von-Mises statistic)

Model Selection

Principles

8

what model should I choose?

No matter what anyone tells you an answer to this question cannot be given in the abstract case: it is a domain specific question!

 

except:

 

the principle of parsimony

 

principle of parsimony

or Ockham's razor

Pluralitas non est ponenda sine neccesitate


William of Ockham (logician and Franciscan friar) 1300ca

but probably to be attributed to John Duns Scotus (1265–1308)


“Complexity needs not to be postulated without a need for it”


 
 
 

principle of parsimony

 

Peter Apian, Cosmographia, Antwerp, 1524 from Edward Grant, "Celestial Orbs in the Latin Middle Ages", Isis, Vol. 78, No. 2. (Jun., 1987).

Peter Apian, Cosmographia, Antwerp, 1524 from Edward Grant,

"Celestial Orbs in the Latin Middle Ages", Isis, Vol. 78, No. 2. (Jun., 1987).

Geocentric models are intuitive:

from our perspective we see the Sun moving, while we stay still

the earth is round,

and it orbits around the sun

principle of parsimony

 

Peter Apian, Cosmographia, Antwerp, 1524 from Edward Grant, "Celestial Orbs in the Latin Middle Ages", Isis, Vol. 78, No. 2. (Jun., 1987).

As observations improve

this model can no longer fit the data!

not easily anyways...

the earth is round,

and it orbits around the sun

Encyclopaedia Brittanica 1st Edition

Dr Long's copy of Cassini, 1777

 principle of parsimony

 

Peter Apian, Cosmographia, Antwerp, 1524 from Edward Grant, "Celestial Orbs in the Latin Middle Ages", Isis, Vol. 78, No. 2. (Jun., 1987).

A new model that is much simpler fit the data just as well

(perhaps though only until better data comes...)

the earth is round,

and it orbits around the sun

Heliocentric model from Nicolaus Copernicus' De revolutionibus orbium coelestium.

principle of parsimony

or Ockham's razor

Pluralitas non est ponenda sine neccesitate

 

William of Ockham (logician and Franciscan friar) 1300ca

but probably to be attributed to John Duns Scotus (1265–1308)

 

“Complexity needs not to be postulated without a need for it”

“Between 2 theories that perform similarly choose the simpler one

 

 
 
 
 

princip le of parsimony

or Ockham's razor

Pluralitas non est ponenda sine neccesitate

 

William of Ockham (logician and Franciscan friar) 1300ca

but probably to be attributed to John Duns Scotus (1265–1308)

 

“Complexity needs not to be postulated without a need for it”

“Between 2 theories that perform similarly choose the simpler one

 

 
 
 
 

the principle of parsimony

or Ockham's razor

 

 

 Between 2 theories that perform similarly choose the simpler one

 

 In the context of model selection simpler means "with fewer parameters"

 
 
 
 

Key Concept

 principle of parsimony

 

Since all models are wrong the scientist cannot obtain a "correct" one by excessive elaboration. On the contrary following William of Ockham he should seek an economical description of natural phenomena

 

Since all models are wrong the scientist must be alert to what is importantly wrong.

Science and Statistics George E. P. Box (1976)

Journal of the American Statistical Association, Vol. 71, No. 356, pp. 791-799.

 principle of parsimony

 

For a dissenting argument

 

But they should resist it. The value of keeping assumptions to a minimum is cognitive, not ontological: It helps you to think. A theory is not “better” if it is simpler—but it might well be more useful, and that counts for much more.

model selection methodology

AIC BIC MLD

8.1

HOW DO I CHOOSE A MODEL?

Given two models which is preferable?

 

Likelihood-ratio tests

 likelihood ratio statistics LR

LR = -2 log_e \frac{L\mathrm{(complex~model)}}{L\mathrm{(simple~model})}

NESTED MODELS : one model contains the other one, e.g.

y= mx + l 

is contained in

y=ax**2+ mx + l

 

statsmodels.model.compare_lr_ratio()

A rigorous answer (in terms of NHST) can be obtained for 2 nested models

This directly answers the question:

“is my more complex model overfitting the data?”

The LR statistics is expected to follow a χ^2 distrbution under the Null Hypothesis that the simpler model is preferable

HOW DO I CHOOSE A MODEL?

Given two models which is preferable?

 

Likelihood-ratio tests

 likelihood ratio statistics LR

LR = -2 log_e \frac{L\mathrm{(complex~model)}}{L\mathrm{(simple~model})}

statsmodels.model.compare_lr_ratio()

The LR statistics is expected to follow a χ^2 distrbution under the Null Hypothesis that the simpler model is preferable

MLTSA:

model selection

Shannon 1948: A Mathematical Theory of Communication

a theory to find fundamental limits on signal processing and communication operations such as data compression 

 

model selection is also based on the minimization of a quantity. Several quantities are suitable: 

 

MLD

BIC

Bayese theorem

AIC

Optimism and likelihood maximization on the training set

MLTSA:

AIC, BIC, & MDL

Akaike information criterion (AIC) .

Based on 

where                 is a family of function (=densities) containing the correct (=true) function and    is the set of parameters that maximized the likelihood L

L is the likelihood of the data, k is the number of parameters,

N the number of variables.

 

{\displaystyle {\text{AIC}}=-\frac{2}{N}\log(L)+\frac{2}{N}k} %=\\ {\displaystyle AIC+(2(p+q+k)(p+q+k+1))/(T-p-q-k-1).}

number of parameters: 

Model Complexity

Likelihood: Model Performance.

\lim_{N\to\infty} (-2 E(\log Pr_{\hat{\theta}}(Y)) ) = -\frac{2}{N} E ~\log(L) + d\frac{2}{N}
Pr_{\hat{\theta}}(Y)
\hat{\theta}

MLTSA:

AIC, BIC, & MDL

Akaike information criterion (AIC) .

Based on 

where                 is a family of function (=densities) containing the correct (=true) function and    is the set of parameters that maximized the likelihood L

L is the likelihood of the data, k is the number of parameters,

N the number of variables.

 

{\displaystyle {\text{AIC}}=-\frac{2}{N}\log(L)+\frac{2}{N}k} %=\\ {\displaystyle AIC+(2(p+q+k)(p+q+k+1))/(T-p-q-k-1).}

number of parameters: 

Model Complexity

Likelihood: Model Performance.

\lim_{N\to\infty} (-2 E(\log Pr_{\hat{\theta}}(Y)) ) = -\frac{2}{N} E ~\log(L) + d\frac{2}{N}
Pr_{\hat{\theta}}(Y)
\hat{\theta}

"-" sign in front of the log-likelihood:  AIC shrinks for better models,

AIC ~ k => is linearly proportional to the number of parameters  

MLTSA:

AIC, BIC, & MDL

{\displaystyle {\text{BIC}}=-2\log(L)+\log(N)k} %=\\ {\displaystyle AIC+(2(p+q+k)(p+q+k+1))/(T-p-q-k-1).}

Likelihood: Model Performance.

number of parameters: 

Model Complexity

Bayesian information criterion (BIC) .

L is the likelihood of the data, k is the number of parameters,

N the number of variables.

stronger penalization of complexity (as long as N>     )

e^2

The derivation is very different: 

\frac{P(M_m | D)}{P(M_l | D)} = \frac{P(M_m)}{P(M_l)}\cdot\frac{P(D|M_m)}{P(D|M_l)}

Bayes Factor

MLTSA:

AIC, BIC, & MDL

{\displaystyle {\text{MDL}}= -\log(L(\theta)) – \log(L(y | X, \theta))} %=\\ {\displaystyle AIC+(2(p+q+k)(p+q+k+1))/(T-p-q-k-1).}

Minimum Description Length (MDL) .

negative log-likelihood of the model parameters (θ) and the negative log-likelihood of the target values (y) given the input values (X) and the model parameters (θ).

also: log(L(θ)): number of bits required to represent the model,

log(L(y| X,θ)): number of bits required to represent the predictions on observations

minimize the encoding of the model and its predictions

derived from Shannon's theorem of information

MLTSA:

AIC, BIC, & MDL

{\displaystyle {\text{MDL}}= -\log(L(\theta)) – \log(L(y | X, \theta))} %=\\ {\displaystyle AIC+(2(p+q+k)(p+q+k+1))/(T-p-q-k-1).}
{\displaystyle {\text{BIC}}=-2\log(L)+\log(N)k} %=\\ {\displaystyle AIC+(2(p+q+k)(p+q+k+1))/(T-p-q-k-1).}
{\displaystyle {\text{AIC}}=-\frac{2}{N}\log(L)+\frac{2}{N}k} %=\\ {\displaystyle AIC+(2(p+q+k)(p+q+k+1))/(T-p-q-k-1).}

Mathematically similar, though derived from different approaches. All used the same way: the preferred model is the model that minimized the estimator

MLTSA:

AIC, BIC, & MDL

{\displaystyle {\text{MDL}}= -\log(L(\theta)) – \log(L(y | X, \theta))} %=\\ {\displaystyle AIC+(2(p+q+k)(p+q+k+1))/(T-p-q-k-1).}
{\displaystyle {\text{BIC}}=-2\log(L)+\log(N)k} %=\\ {\displaystyle AIC+(2(p+q+k)(p+q+k+1))/(T-p-q-k-1).}
{\displaystyle {\text{AIC}}=-\frac{2}{N}\log(L)+\frac{2}{N}k} %=\\ {\displaystyle AIC+(2(p+q+k)(p+q+k+1))/(T-p-q-k-1).}

references

Elements of Statistical Learning Chapter 7

https://web.stanford.edu/~hastie/Papers/ESLII.pdf

 

emcee: The MCMC Hammer

https://arxiv.org/abs/1202.3665

 

Forecasting at scale

(the facebook Prophet paper)

https://peerj.com/preprints/3190

hoework

 

reading

 

read section 1 & 2

references

 

machine learning for natural and physical scientists 2023 3

By federica bianco

machine learning for natural and physical scientists 2023 3

intro to time series and regression

  • 1,318