Do Androids Dream of Exploding Stars?

University of Delaware

Department of Physics and Astronomy

Biden School of Public Policy and Administration

Data  Science Institute

 

 

federica b. bianco

she/her

University of Delaware

Department of Physics and Astronomy

Biden School of Public Policy and Administration

Data  Science Institute

 

 

Rubin Legacy Survey of Space and Time

Deputy Project Scientist, Construction

Acting Head of Science, Operation

federica b. bianco

she/her

this slide deck is live at https://slides.com/federicabianco/padova25

The best way to view the slides is on the web (to see videos and animations). A flat (PDF) version of this deck would be largely diminished

Building a legacy:

the LSST transient sky

experiment driven science -∞:1900

theory driven science 1900-1950

data driven science 1990-2010

the fourth paradigm - Jim Gray, 2009

computationally driven science 1950-1990

experiment driven science -∞:1900

theory driven science 1900-1950

data driven science 1990-2010

the fourth paradigm - Jim Gray, 2009

computationally driven science 1950-1990

AI driven science? 2010...

The Navy revealed the embryo of an electronic computer today that it expects will be able to walk, talk, see, write, reproduce itself and be conscious of its existence.

The embryo - the Weather Buerau's $2,000,000 "704" computer - learned to differentiate between left and right after 50 attempts in the Navy demonstration

NEW NAVY DEVICE LEARNS BY DOING; Psychologist Shows Embryo of Computer Designed to Read and Grow Wiser

July 8, 1958

when did the first Neural Network in astronomy review came out?

Join at

slido.com

#1771215

1988

early 1990s

number of arXiv:astro-ph submissions with abstracts containing one or more of the strings: ‘machine learning’, ‘ML’, ‘artificial intelligence’, ‘AI’, ‘deep learning’ or ‘neural network’.

Rubin Observatory

Site: Cerro Pachon, Chile

Funding: US NSF + DOE

 

Building an unprecedented catalog of Solar System Objects

LSST Science Drivers

Building an unprecedented catalog of Solar System Objects

LSST Science Drivers

Mapping the Milky Way and Local Volume

Building an unprecedented catalog of Solar System Objects

LSST Science Drivers

Mapping the Milky Way and Local Volume

Probing Dark Energy and Dark Matter

Building an unprecedented catalog of Solar System Objects

LSST Science Drivers

Mapping the Milky Way and Local Volume

Probing Dark Energy and Dark Matter

Exploring the Transient Optical Sky

 

 

 

 

To accomplish this, we need:

1) a large telescope mirror to be sensitive - 8m (6.7m)

2) a large field-of-view for sky-scanning speed - 10 deg2

3) high spatial resolution, high quality images - 0.2''/pixels

4) process images in realtime and offline to produce 20TB data every night, 70PB in 10 years

 

 

 

>=18000 sq degrees

~800 visits per field

2 visits per night (within ~30 min for asteroids)

+ 5x10sq deg Deep Drilling Fields with ~8000 visits

 

 

Objective: to provide a science-ready dataset to transform the 4 key science area

Are We There YET????!!!!

artist (me) impression of the first image taken by ComCam

The DOE LSST Camera - 3.2 Gigapixel

3024 science raft amplifier channels

Camera and Cryostat integration completed at SLAC in May 2022,

Shutter and filter auto-changer integrated into camera body

LSSTCam undergoing final stages of testing at SLAC

Eye to the sky…on-sky engineering tests have begun at @nsfgov@energy Rubin Observatory using the world’s largest digital camera!🔭

 

 

April 17
 

 678 separate images taken in just over seven hours of observing time.  Trifid nebula (top right) and the Lagoon nebula, which are several thousand light-years away from Earth. | NSF-DOE Vera C. Rubin Observatory

 

Virgo cluster. Visible are two prominent spiral galaxies (lower right), three merging galaxies (upper right), several groups of distant galaxies, many stars in the Milky Way galaxy and more.

 

June 30, 2025

DP1 release!

 

HELL YEAH!

 

2025

edge computing

Will we get more data???

2025

edge computing

Will we get more data???

 

 

17B stars

20 B galaxies

 

 

 

 

 

 

more celestial objects than people on this ever increasingly overpopulated earth

 

"BUT BIG DATA DOES NOT MEAN BIG SCIENCE"

 

Yang Huang,
University of Chinese Academy of Sciences

SpecCLIP talk @UNIVERSAI

IAU workshop Greece June 2025

From Flammarion's Astronomie Populaire (1880): in Scania, Denmark

Workshop of Diebold Lauber unknown artist, ca.1450

Exploring the Transient and Variable Optical Sky

Exploring the Transient and Variable Optical Sky

Exploring the Transient and Variable Optical Sky

Exploring the Transient and Variable Optical Sky

Exploring the Transient and Variable Optical Sky

Exploring the Transient and Variable Optical Sky

edge computing

Rubin LSST Transients by the numbers

 

 

17B stars (x10) Ivezic+19

~10 million QSO (x10) Mary Loli+21

~50k Tidal Disruption Events (from ~150) Brickman+ 2020

~10k SuperLuminous Supernovae (from ~200)

~400 strongly lensed SN Ia (from 10) Ardense+24

~50 kilonovae (from 2) Setzer+19, Andreoni+19   (+ ToO)

> 10 Interstellar Objects fom 2....    ?)

 

 

 

 

 

edge computing

Rubin LSST Transients by the numbers

 

 

17B stars (x10) Ivezic+19

~10 million QSO (x10) Mary Loli+21

~50k Tidal Disruption Events (from ~150) Brickman+ 2020

~10k SuperLuminous Supernovae (from ~200)

~400 strongly lensed SN Ia (from 10) Ardense+24

~50 kilonovae (from 2) Setzer+19, Andreoni+19   (+ ToO)

> 10 Interstellar Objects fom 2....    ?)

 

 

 

 

 

Rubin LSST Transients by the numbers

 

 

17B stars (x10) Ivezic+19

~10 million QSO (x10) Mary Loli+21

~50k Tidal Disruption Events (from ~150) Brickman+ 2020

~10k SuperLuminous Supernovae (from ~200) Villar+ 2018

~400 strongly lensed SN Ia (from 10) Ardense+24

~50 kilonovae (from 2) Setzer+19, Andreoni+19   (+ ToO)

> 10 Interstellar Objects fom 2....    ?)

 

 

 

 

 

Rubin LSST Transients by the numbers

 

 

17B stars (x10) Ivezic+19

~10 million QSO (x10) Mary Loli+21

~50k Tidal Disruption Events (from ~150) Brickman+ 2020

~10k SuperLuminous Supernovae (from ~200) Villar+ 2018

~400 strongly lensed SN Ia (from 10) Ardense+24

~50 kilonovae (from 2) Setzer+19, Andreoni+19   (+ ToO)

> 10 Interstellar Objects fom 2....    ?)

 

 

 

 

 

Rubin LSST Transients by the numbers

 

 

17B stars (x10) Ivezic+19

~10 million QSO (x10) Mary Loli+21

~50k Tidal Disruption Events (from ~150) Brickman+ 2020

~10k SuperLuminous Supernovae (from ~200) Villar+ 2018

~400 strongly lensed SN Ia (from 10) Ardense+24

~50 kilonovae (from 2) Setzer+19, Andreoni+19   (+ ToO)

> 10 Interstellar Objects fom 2....    ?)

 

 

 

 

 

SKA

(2025)



17B stars (x10) Ivezic+19

~10 million QSO (x10) Mary Loli+21

~50k Tidal Disruption Events (from ~150) Brickman+ 2020

~10k SuperLuminous Supernovae (from ~200) Villar+ 2018

~400 strongly lensed SN Ia (from 10) Ardense+24

~50 kilonovae (from 2) Setzer+19, Andreoni+19   (+ ToO)

> 10 Interstellar Objects fom 2....    ?)






True Novelties!

Rubin LSST Transients by the numbers

LSST survey strategy optimization

 

LSST survey strategy optimization

 

a pioneering process of community-centric design

LSST Science Book (2009)

Rubin LSST survey design

Rubin has involved the community to an unprecedented level in survey design this is a uniquely "democratic" process!

Survey Cadence Optimization Committee

Rubin LSST survey design

2017

80,000

Rubin LSST survey design

Rubin has involved the community to an unprecedented level in survey design this is a uniquely "democratic" process!

2019

80,000

Rubin LSST survey design

Rubin has involved the community to an unprecedented level in survey design this is a uniquely "democratic" process!

2023

80,000

Rubin LSST survey design

Rubin has involved the community to an unprecedented level in survey design this is a uniquely "democratic" process!

2024

80,000

Rubin LSST survey design

Rubin has involved the community to an unprecedented level in survey design this is a uniquely "democratic" process!

2024

2024

80,000

Rubin LSST survey design up to 2018

 

# pairs of observations (1e5)

time gaps (days)

Eric C. Bellm et al 2022 ApJS 258 13

Proposed 3 intranight obs

2 within 1 hour in different filters

1 at 4-8 hours separation w repeat filter

Intranight color (near instantaneous)

Intranight rate of change (~hour time scales)

 Presto-Color, Bianco+ 2019

Introducing Rolling Cadence

Current plan: rolling 8 out of the 10 years

newer simulations ->

<-bad         good ->

newer simulations ->

4 – 24 hour gaps between epochs will enable kilonova parameter estimation

 

Kilonovae in LSST Wide Fast Deep

Andreoni+ 2022a

Rubin ToO program

 

Rubin ToO program

 

Rubin ToO program

 

Grad student

Since 2019 we study the sky (and more!) with AI

Postdoc

LSST has profoundly changed the TDA infrastructure

Data Products

federica bianco - fbianco@udel.edu

described in ls.st/LDM-612

world public!

10M alerts per night!! anything that changed by >5σ from "how the sky usually looks"

in 60 seconds:

Difference Image Analysis

in 60 seconds:

Difference Image Analysis + Bogus rejection

Rubin Observatory LSST 

federica bianco - fbianco@udel.edu

Tatiana Acero Cuellar

UNIDEL Fellow

The only AI element in the current LSST pipeline

Discovery Engine

10M alerts/night

Community Brokers

target observation managers

Pitt-Google

Broker

BABAMUL

federica bianco - fbianco@udel.edu

the new astronomy discovery chain

To this day, transient astronomy heavily relies on spectra

federica bianco - fbianco@udel.edu

Rubin will see ~1000 SN every night!

Credit: Alex Gagliano University of Illinois, IAIFI fellow 2023

Tatiana Acero-Cuellar, UNIDEL fellow, LSSTC data science fellow

WORKING WITH RUBIN AP TEAM TO DEVELOP THE ML-RELIABILITY SCORE OF RUBIN ALERTS

search

template

difference

-

=

96% accurate

Tatiana Acero-Cuellar, UNIDEL fellow, LSSTC data science fellow

search

template

difference

-

=

92% accurate

Tatiana Acero-Cuellar, UNIDEL fellow, LSSTC data science fellow

search

template

difference

-

=

What is the network learning?

What can we learn from the AI?

Tatiana Acero-Cuellar, UNIDEL fellow, LSSTC data science fellow

Interpretable AI

Robust AI

Anomaly detection

Photometric Classification of transients

Photometric Classification of transients

 KIC 3858884: A hybrid δ Scuti pulsator in a highly eccentric eclipsing binary Maceroni+2014

Photometric Classification of transients

Kepler EB

LSST (simulated) EB

Photometric Classification of transients

Kepler EB

LSST (simulated) EB

LSST Deep Drilling Fields

Kaggle PLAsTiCC challenge

AVOCADO classifier

https://arxiv.org/abs/1907.04690

LSST Wide Fast Deep (main survey)

Photometric Classification of transients

visualizatoin and concept credit: Alex Razim

visualizatoin and concept credit: Alex Razim

Kaicheng Zhang et al  2016 ApJ 820 67

SN 2011fe

deSoto+2024

Boone 2017

7% of LSST data

Boone 2017

7% of LSST data

The rest

lightcurves make really bad tensors

is transient data AI ready?

lightcurves make really bad tensors

  • Variable sizes of data vectors

is transient data AI ready?

lightcurves make really bad tensors

  • Variable sizes of data vectors

is transient data AI ready?

  • Variable sizes of data vectors
  • Uneven sampling
  • Variable sizes of data vectors
  • Uneven sampling

lightcurves make really bad tensors

  • Variable sizes of data vectors

is transient data AI ready?

  • Variable sizes of data vectors
  • Uneven sampling
  • Variable sizes of data vectors
  • Uneven sampling
  • Variable sizes of data vectors
  • Uneven sampling
  • Different sampling at different wavelengths

lightcurves make really bad tensors

is transient data AI ready?

  • Variable sizes of data vectors
  • Uneven sampling
  • Different sampling at different wavelengths
  • Phase gaps can be months long over ~1 year 

lightcurves make really bad tensors

is transient data AI ready?

  • Variable sizes of data vectors
  • Uneven sampling
  • Different sampling at different wavelengths
  • Phase gaps can be months long over ~1 year 
  • Multiple relevant time scales

lightcurves make really bad tensors

is transient data AI ready?

  • Variable sizes of data vectors
  • Uneven sampling
  • Different sampling at different wavelengths
  • Phase gaps can be months long over ~1 year 
  • Multiple relevant time scales
  • Aleatory and Epistemic Heteroscedastic uncertainties
  • Variable sizes of data vectors
  • Uneven sampling
  • Different sampling at different wavelengths
  • Phase gaps can be months long over ~1 year 
  • Multiple relevant time scales

Dr. Somayeh Khakpash

LSSTC Catalyst Fellow, Rutgers

Rare classes will become common, but how do we know what we are looking at and classify different objects for sample studies?

Data-Driven Photometric Templates for stripped SESN

 

on the job market!

Khakpash et al. 2024 ApJS https://arxiv.org/pdf/2405.01672

FASTlab Flash highlight

Siddarth Chiaini, FINESST NASA fellow

https://arxiv.org/pdf/2403.12120.pdf

Somayeh Khakpash

Catalyst Fellow (Rutgers)

Autoencoders to generate computationally expensive caustic maps for quasar microlensing and infer physical parameters from the latent space

FASTlab Flash highlight

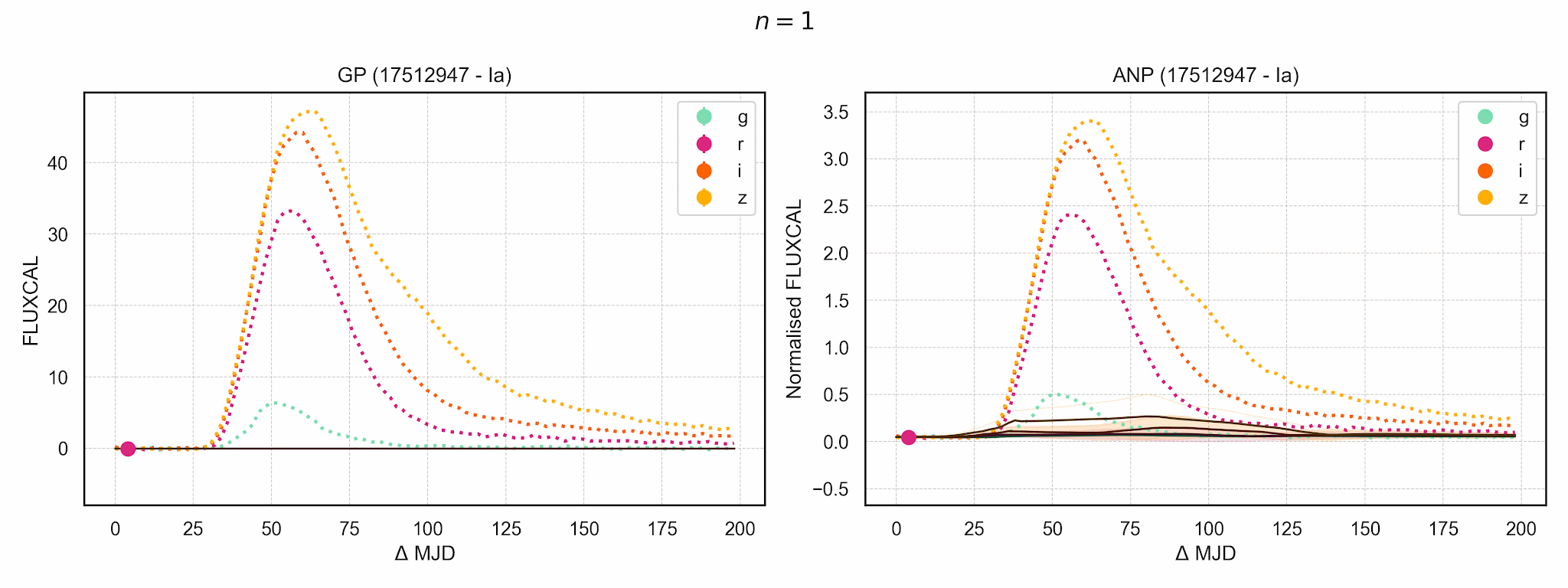
Gaussian processes work by imposing a kernel that represents the covariance in the data (how data depend on time or time/wavelength). Imposing the same kernel for different time-domain phenomena is principally incorrect

 

=> bias toward known classes

 

 

AI approaches to sparse sampling

k(x_i, x_j) = \frac{1}{\Gamma(\nu)2^{\nu-1}}\left( \frac{\sqrt{2\nu}}{l} d(x_i , x_j ) \right)^\nu K_\nu\left( \frac{\sqrt{2\nu}}{l} d(x_i , x_j )\right)\\ \nu=5/2

Neural processes replaces the imposed kernel with a learned model: an artificial neural network

 

 

 

AI approaches to sparse sampling

Discoverying the unknown

Siddarth Chiaini, FINESST NASA fellow

NEURIPS Machine Learning for Physical Sciences workdhop - accepted

NSF award #2219731

Text

Are we prepared to discover new physics?

Text

Are we prepared to discover new physics?

This ensamble distance method excells at identifying out of sample anomalies!

 

 

Text

Are we prepared to discover new physics?

NASA FINESST Fellow

Siddarth Chiaini, UDelaware

Siddarth Chiaini, FINESST NASA fellow

https://arxiv.org/pdf/2403.12120.pdf

Siddarth Chiaini, UDelaware

FASTlab Flash highlight

Siddarth Chiaini, UDelaware

FASTlab Flash highlight

Siddarth Chiaini, UDelaware

FASTlab Flash highlight

Siddarth Chiaini, UDelaware

FASTlab Flash highlight

Siddarth Chiaini, UDelaware

FASTlab Flash highlight

Text

This distance based methods can find true out of set anomalies, not just unusal presentatios of the usual physicis!

And its "explainable"!

When they go high, we go low... spectra classification at low resolution

Astrophysical spectra require the capture of enough photons at each wavelength: 

 

large telescopes

long exposure times

bright objects

Willow Fox Fortino

UDelaware

When they go high, we go low

Classification power vs spectral resolution for SNe subtypes

 

 

Willow Fox Fortino

UDelaware

When they go high, we go low

Classification power vs spectral resolution for SNe subtypes

 

 

Willow Fox Fortino

UDelaware

Willow Fox Fortino

UDelaware

When they go high, we go low

Classification power vs spectral resolution for SNe subtypes

 

 

Willow Fox Fortino

UDelaware

Kaggle PLAsTiCC challenge

AVOCADO classifier

https://arxiv.org/abs/1907.04690

Classification from sparse data: Lightcurves

Viswani 2017 Attention is all you need

AI was transformed in 2017 by this paper

Willow Fox Fortino

UDelaware

When they go high, we go low

Classification power vs spectral resolution for SNe subtypes

 

 

Willow Fox Fortino

UDelaware

When they go high, we go low

Classification power vs spectral resolution for SNe subtypes

 

 

Willow Fox Fortino

UDelaware

Willow Fox Fortino

UDelaware

When they go high, we go low

Classification power vs spectral resolution for SNe subtypes

 

 

Willow Fox Fortino

UDelaware

Optimal deep learning architectures for transients' spectral classification

Willow Fox Fortino

UDelaware

Optimal deep learning architectures for transients' spectral classification

Willow Fox Fortino

UDelaware

Text

A new AI-based classifier for SN spectra at low resolution

Willow Fox Fortino

UDelaware

Optimal deep learning architectures for transients' spectral classification

Training a NN:

  • labels are provided (e.g. SN Ia)
  • epoch 1: NN guesses label by setting weights at random
  • epoch 2-last: NN adjusts weights based on label distance (gradient descent)

Results are based on test data, unseen in training

Willow Fox Fortino

UDelaware

Optimal deep learning architectures for transients' spectral classification

DASH model (M19)

Correcting training mistakes

(new baseline)

New Transformer model 

(Fortino+ in prep)

(Transformer as in... ChatGPT)

Fast transients with LSST

The violent and rapidly varying radiation from black holes, neutron stars, and white dwarfs makes them promising targets for high time resolution imaging.

Thomas and Kahn, 2018

Additional targets

  • cataclysmic variable stars,
  • X-ray binary stars,
  • flare stars,
  • blazars
  • Fast Radio Bursts
  • technosignatures

cepheid

cepheid

Stellar flares are short lived (~minutes) brightening events caused by magnetic reconnections in stars' atmospheres. Stellar flare impact planetary habitability. Fast and unpredictable, they are hard to study and their physical properties, like temperature, are poorly constrained.

atmosphere-aided studies with LSST

Quasars redshift

via spectral features falling in different observation bands

 

dDCR               color                Flare temperature

atmosphere-aided studies with LSST

Riley Clarke, UDelware

dM                 Flare energy

dDCR               color                Flare temperature

NSF Award #2308016

Riley Clarke et al. 2024 ApJS

on the job market!

LSST ΔDCR detectability

Riley Clarke, UDelware

on the job market!

atmosphere-aided studies with LSST

LSST ΔDCR detectability

atmosphere-aided studies with LSST

Riley Clarke, UDelware

Riley Clarke, UDelware

Stars that flare ΔDCR

Stars that flare ΔDCR

on the job market!

Riley Clarke, UDelware

DWF030225.574-545707.456_1251218

Riley Clarke, UDelware

on the job market!

DWF030225.574-545707.456_1251218

https://arxiv.org/abs/2507.19584 ApJL in press

STAND UP FOR SCIENCE

PEOPLE

A community of practice funded on principles of Equity, Inclusivity, Cooperation

A dystopian present, not future

what's in a name?

The first ground-based national US observatory named after a woman, Dr. Vera C. Rubin 

An international community of practice built on principles of cooperation, equity, and solidarity

is a word I am borrowing from Margaret Atwood to describe the fact that the future is us. 

However loathsome or loving we are, so will we be. 

Whereas utopias are the stuff of dream dystopias are the stuff of nightmares, ustopias are what we create together when we are wide awake

US-TOPIA

thank you!

 

University of Delaware

Department of Physics and Astronomy

 

Biden School of Public Policy and Administration

Data  Science Institute

federica bianco

fbianco@udel.edu

Columbia colloquium 2025

By federica bianco

Columbia colloquium 2025

Rubin LSST building a legacy

  • 17