Структуры данных
MTUCI ICPC
Базовые структуры данных
- Массив
- Связный список
- Куча
- Стек
БАЗА
//Указатели
//Ссылки
memset
memcpyСобственный динамический массив
template <typename T>
struct dynamic_array {
T *t;
int size = 0, capacity;
dynamic_array(int capacity) : capacity(capacity) {
t = new T[capacity];
}
void resize(int new_capacity) {
T *new_t = new T[new_capacity];
memcpy(new_t, t, sizeof(T) * size);
delete[] t;
t = new_t;
}
T get(int k) {
return t[k];
}
T set(int k, T x) {
t[k] = x;
}
void add(T x) {
if (size == capacity)
resize(2 * capacity);
t[size++] = x;
}
void del() {
// если хотим сэкономить память:
if (4 * size < capacity)
resize(capacity / 2);
size--;
}
};Связные списки
#include <iostream>
using namespace std;
struct node
{
int data;
node *next;
};
class linked_list
{
private:
node *head,*tail;
public:
linked_list()
{
head = NULL;
tail = NULL;
}
void add_node(int n)
{
node *tmp = new node;
tmp->data = n;
tmp->next = NULL;
if(head == NULL)
{
head = tmp;
tail = tmp;
}
else
{
tail->next = tmp;
tail = tail->next;
}
}
};
int main()
{
linked_list a;
a.add_node(1);
a.add_node(2);
return 0;
}Стек, очередь
struct ListNode {
int data;
ListNode *prev;
ListNode *next;
};
class Deque {
public:
ListNode* start, * last;
Deque(){
start = nullptr;
last = nullptr;
}
void append(int data) {
ListNode *cur = new ListNode;
cur->data = data;
if (start == nullptr){
start = cur;
last = cur;
}
else{
last->next = cur;
cur->prev=last;
last = cur;
}
}
void pop_back(){
ListNode *newlast = last->prev;
delete last;
last = newlast;
last->next = nullptr;
}
int back(){
if (last!= nullptr){
return last->data;
}
}
int front(){
return start->data;
}
void pop_front(){
ListNode *newstart = start->next;
delete start;
start = newstart;
last->prev = nullptr;
}
};Продвинутые структуры
- Бинарное дерево
- Суффиксное дерево
- Дерево отрезков
- ...
Куча (пирамида, heap)

Куча в STL
int ints[] = {10,20,30,5,15};
vector<int> v(ints, ints + 5);
make_heap(v.begin(), v.end());
v.front(); // получить максимальный элемент (30)
pop_heap(v.begin(), v.end()); // удалить максимум из кучи
v.pop_back(); // уменьшить размер массива на единицу
v.push_back(99); // добавить элемент в конец массива
push_heap(v.begin(), v.end()); // вызовет sift_up от последнего элемента
sort_heap(v.begin(), v.end()); // сортировка кучей: в v будет записан отсортированный массив
-------------------------------------------------
priority_queue<int> q;
for (int x : {1,5,3,4,2,0})
q.push(x);
q.top(); // вернуть максимальный элемент (5)
q.pop(); // удалить максимальный элементРеализация кучи
const int INF=1e9;
class Heap{
vector<int> data;
Heap(int size){data = vector<int>(size, -INF);};
int max(){
return data[0];
}
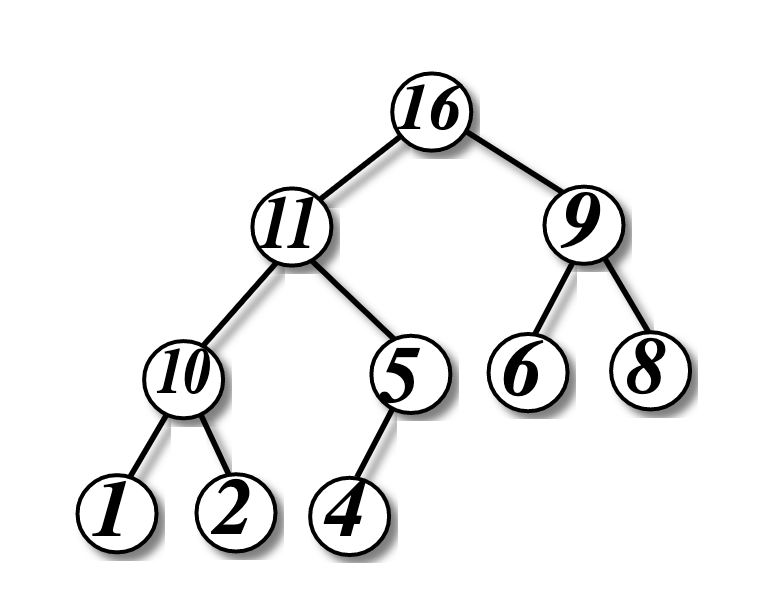
// [10, 16 ,9, 4, 5, 2, 1, 6, 8, 11]
// elem 3
// i 0
void sift_down(int elem) {
int i=0;
while (2*i<data.size()){
int left = 2*i;
int right = 2*i+1;
int less;
if (data[right]>-INF && data[right]<data[left]){
less = right;
}
else{
less = left;
}
if(data[elem]<=data[less]){
break;
}
swap(data[less], data[elem]);
i = less;
}
}
void sift_up(int elem){
while (data[elem] > data[elem/2]){
swap(data[elem], data[elem/2]);
elem = elem/2;
}
}
};Бинарное дерево поиска (BST)

Vanilla BST
struct Node{
Node *l,*r,*parent;
int value;
};
class BST{
Node *root;
BST(){};
void add(int value){
if (root == nullptr){
root=new Node;
root->value=value;
return;
}
Node* cur = root;
while (true){
if (cur->value<value){
if (cur->r==nullptr){
Node* tmp = new Node;
tmp->value=value;
tmp->parent=cur;
cur->r=tmp;
return;
}
cur=cur->r;
}
else{
if(cur->l==nullptr){
Node* tmp = new Node;
tmp->value=value;
tmp->parent=cur;
cur->l=tmp;
return;
}
cur=cur->l;
}
}
}
bool contains(int elem){
Node* cur = root;
while (true){
if (cur->value==elem){
return true;
}
if (cur->value<elem){
if (cur->r==nullptr){
return false;
}
cur=cur->r;
}
else{
if(cur->l==nullptr){
return false;
}
cur=cur->l;
}
}
}
};Курево. (treap) = tree + heap

Красно-черное дерево (КЧД, RBT)

Основные операции для балансировки:
- Инверсия цветов
- Левый поворот
- Правый поворот

Код КЧД со вставкой
#include <iostream>
using namespace std;
enum color{
RED,
BLACK
};
color invert(color t){
if (t==RED){
return BLACK;
}
return RED;
}
struct Node{
Node *l, *r, *parent;
color c;
int data;
Node(){
l= nullptr;
r= nullptr;
parent = nullptr;
data=0;
c=BLACK;
}
};
Node a;
Node *NIL= new Node();
void invertColors(Node* vert){
vert->parent->parent->c = invert(vert->parent->parent->c);
vert->parent->parent->l->c = invert(vert->parent->parent->l->c);
vert->parent->parent->r->c = invert(vert->parent->parent->r->c);
}
void rightRot(Node* ded){
Node* dedl = ded->l; //otec
ded->l = dedl->r; // правые дети отца становятся левыми деда
dedl->r->parent = ded;
dedl->parent = ded->parent;
dedl->r = ded;
ded->parent=dedl;
dedl->c = ded->c;
ded->c = RED;
if(ded->parent->l==ded){
ded->parent->l=dedl;
}
else{
ded->parent->r=dedl;
}
}
void leftRot(Node* ded){
Node* dedr = ded->l; //otec
ded->r = dedr->l; // правые дети отца становятся левыми деда
dedr->l->parent = ded;
dedr->parent = ded->parent;
dedr->l = ded;
ded->parent=dedr;
dedr->c = ded->c;
ded->c = RED;
if(ded->parent->l==ded){
ded->parent->l=dedr;
}
else{
ded->parent->r=dedr;
}
}
class RBTree{
Node* root;
RBTree(){
root=NIL;
}
// ~RBTree(){
// delete root;
// }
void fixInsert(Node* node){
if (node == root){
node->c = BLACK;
return;
}
while (node->parent->c==RED) { // нарушается свойство 3
if (node->parent->parent->l==node->parent) {
if (node->parent->parent->r->c==RED){
invertColors(node);
node = node->parent->parent;
}
else {
if (node->parent->r == node) {
leftRot(node->parent->parent);
node = node->parent;
}
else{
rightRot(node->parent->parent);
node = node->parent;
}
}
}
else{ // "отец" — правый ребенок
if (node->parent->parent->l->c==RED){
invertColors(node);
node = node->parent->parent;
}
else {
if (node->parent->r == node) {
leftRot(node->parent->parent);
node = node->parent;
}
else{
rightRot(node->parent->parent);
node = node->parent;
}
}
}
}
root->c = BLACK;
}
void insert(int data){
Node* node = new Node();
node->data=data;
node->c=RED;
if(root==NIL){
root=node;
root->c=BLACK;
root->parent=NIL;
return;
}
Node* par = NIL;
Node* cur = root;
while (cur!=NIL){
par = cur;
if (cur->data<data){
cur = cur->r;
}
else{
cur=cur->l;
}
}
node->parent=par;
if(par->data<data){
par->r=node;
}
else{
par->l=node;
}
fixInsert(node);
}
};
int main() {
std::cout << "Hello, World!" << std::endl;
return 0;
}
deck
By Fleming Kris
deck
- 268