Solução numérica de sistemas de equações diferenciais

De ordem maior que 1

Relembrando aula anterior...

Solução numérica de:

Sistemas de equações diferenciais de ordem 1

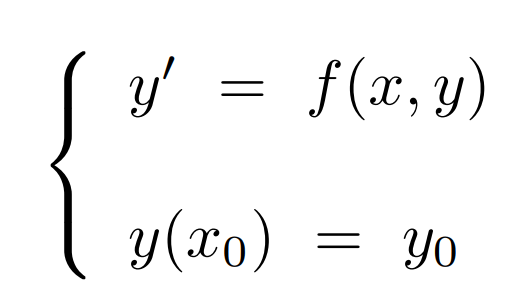
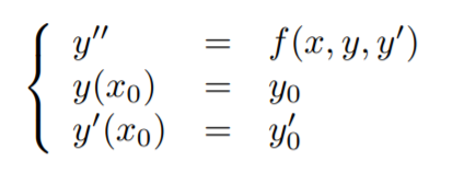
Problema de valor inicial

=

Equação diferencial 

+

condição

Inicial

Valores iniciais

Equações diferenciais

Ordem

Ordem da equação: é a ordem da derivada de mais alta ordem da função incógnita que figura na equação.

Ordem 1 ou Primeira ordem

Ordem 2 ou Segunda ordem

EDO de Ordem Elevada

Consideremos a EDO de 2ª ordem:

EDO de Ordem Elevada

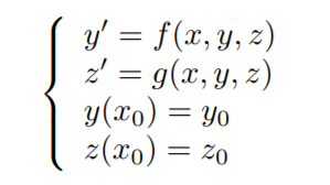
A técnica consiste em reescrever o sistema de equações, fazendo substituição de variável

EDO de Ordem Elevada

Basta fazer uma mudança de variável simples

E assim obter na substituição:

EDO de Ordem Elevada

Após a substituição, teremos o seguinte sistema:

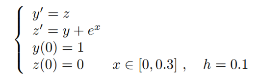
Exemplo prático

Resolver:

Exemplo prático

Basta:

EDO de 1ª ordem Resultante:

Exemplo prático

EDO de 1ª ordem Resultante:

Basta resolver o EDO de primeira ordem acima da maneira que quiser.

 

Valores iniciais

Equações diferenciais

Ficou faltando para n=2:

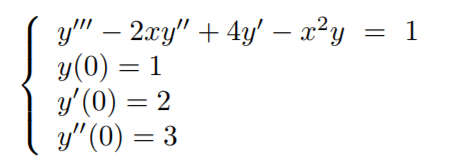
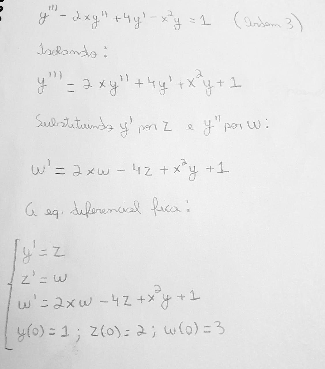
Exercício 

Escrever a EDO de 3ª ordem no formato de EDO de 1ª ordem

Resolução do livro

Ou também, você pode pensar:

y' = z e  y'' = z' = w

Resolução (2)

FIM

Solução numérica de sistemas de equações diferenciais

By Fabrício Fernandes ZIliotti

Solução numérica de sistemas de equações diferenciais

  • 297