INTEGRACIÓN NUMERÍCA

Análisis Numérico

INTEGRACIÓN NUMÉRICA

Los métodos de integración numérica se usan cuando ƒ(x) es difícil o imposible de integrar analíticamente, o cuando ƒ(x) esta dada como un conjunto de valores tabulados.

REGLA DEL TRAPECIO

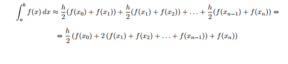
Se aproxima la función dividiendo el intervalo [a, b] en n intervalos de igual longitud y formando entonces trapecios por encima de cada intervalo.

REGLA DEL SIMPSON

La regla de Simpson reemplaza la suma de áreas de los trapecios por la suma de las áreas situadas por debajo  de las parábolas para aproximar la integral en un intervalo definido.

Al igual que en la regla de los trapecios dividimos el intervalo [a , b] en n intervalos de igual longitud ( n deberá ser un numero para).

EJEMPLO CON TRAPECIO

EJEMPLO CON SIMPSON

Integración Numerica

By Häzël PG

Integración Numerica

  • 447