DERIVADAS NUMÉRICAS, SIMPLES Y COMPUESTAS

DERIVACIÓN NUMÉRICA 

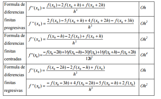
Es una técnica de análisis numérico para calcular una aproximación a la derivada de una función en un punto utilizando los valores y propiedades de la misma.

Las fórmulas de derivación numérica son importantes en el desarrollo de algoritmos para resolver problemas de contorno de ecuaciones diferenciales ordinarias y ecuaciones en derivadas parciales.

DERIVACIÓN NUMÉRICA

DERIVACIÓN NUMÉRICA

DERIVACIÓN NUMÉRICA

DERIVACIÓN NUMÉRICA

DERIVACIÓN NUMÉRICA EJEMPLO

 

DERIVACIÓN NUMÉRICA EJEMPLO

 

DERIVACIÓN NUMÉRICA EJEMPLO

 

DERIVACIÓN NUMÉRICA EJEMPLO

 

DERIVACIÓN SIMPLE

EJEMPLO

 

DERIVACIÓN COMPUESTA

EJEMPLO

 

Derivadas numéricas, simples y compuestas

By Häzël PG

Derivadas numéricas, simples y compuestas

  • 2,226