Finding Topologically Associating Domains

Revealing hidden patterns in the three-dimensional structure of DNA

Ivar Grytten

Hi-C

Lieberman-Aiden et al. (2009)

Utvikle en ny metode

Hva er en forbedret metode?

Hva vet vi om TADs?

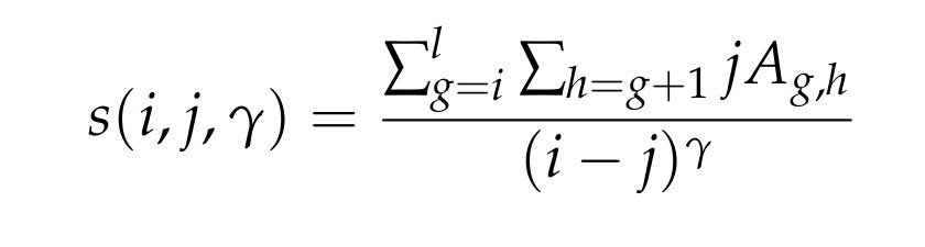
Kantbasert metode

Hierarkisk metode

Resultater og analyse

Verktøy i The Genomic HyperBrowser

Interaksjoner innad i domener

CTCF

Likhet mellom mus og menneske

Most of the boundaries appear to be shared across evolution ([...] 75.9% of mouse boundaries are boundaries in humans)

- Dixon et al. (2012)

Svakheter

Oppsummering

  • Utviklet ny metode for å finne TADs
  • Metoden gir domener som interagerer mer med seg selv og mindre med andre domener
  • Utviklet verktøy i Hyperbrowseren finner og visualiserer domener
  • Forslag til nye måter å analysere likhet mellom domener i mus og menneske samt forhold til CTCF.

Takk!

Finding TADs

By ivarg

Finding TADs

  • 407