LifeGamer & ToolBuddy
瞿旭民 (Kevin Cyu)
kevinbird61@gmail.com
SEP 27, 2018
@CSIE.NCKU
Kevin Cyu
About

Outline
- 
	About LifeGamer 
- 
	Birth of Toolbuddy 

既然有這個舞台,那就來做遊戲吧 !
課程平台?
how?

第一代
皇室戰爭 clone 版


- 
	透過遊戲方式,加強 OOP 的概念! 
- 
	自動批改成績 
- 
	自我訓練 
- 
	趣味性 
- 
	時間多?
動機?

- 
	Node.js 
- 
	C++ / Qt 
- 
	Web-related Frontend 
- 
	System 
- 
	Git (i.e., GitHub, GitLab ... ) 
- 
	Drawing (Piskel) 
實踐?

- 
	有了點子要怎麼實現? 
- 
	檢視自我訓練的成果! 
- 
	大學當中我到底學會什麼? 

無中生有
有想法後,需要志同道合的傻 B 才有機會完成!


LuisHsu
Skymizer 工程師
liangyc39
成大資訊
Partner
不停的討論架構,
彼此挑戰對方的想法,
獲得更好的實作與解法!

右圖:
當初在吃飯時信手捻來一張考卷,吃飯時討論,太激動以至於打翻飲料灑在設計圖上。
吵架 討論

- 
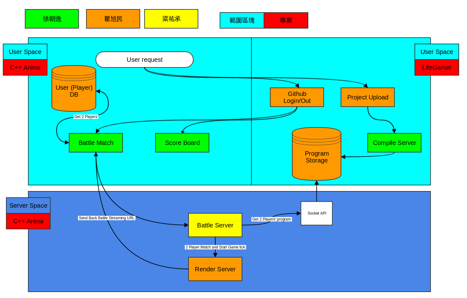
	以 Node.js 作為 HTTP server 
- 
	以 Qt 開發遊戲運算引擎 (Game Engine) - 
		呼叫兩位對戰者的程式 
- 
		由遊戲引擎廣播目前戰場訊息給兩位 
- 
		各自程式再依據訊息做出運算判斷後做出下一步操作 
 
- 
		
後端架構
- 
	遊戲引擎同時會廣播給前端的渲染引擎 (Render Server) - 
		Render Server 透過 WebSocket 更新畫面 
 
 
- 
		
- 
	畫面由 Pixi.js 來作開發、搭配 Piskel 繪製的圖片來做呈現 
前端架構
Coding

Debugging




Drawing












紙是成大資訊信封背面
Prototype
Project Design


- 
	這兩年來使用在成大資訊程設課程上,減少助教手動批改程式的時間 
 
- 
	後續經過學弟的改善,加入後端 GitLab 及 GitLab task runner 後讓平台的完整性提升,詳細可以參考這份投影片(ver. 2) 
Result?
- 
	今年資訊系專題展 - 第三名 
- 
	擴大下一個版本! 

evaluation?
More details...
Why?
It's what you do in the dark,
that puts you into the light.
- 
	透過 從無到有 來開發遊戲 - 
		培養 自學 的能力、架構 的設計, 
- 
		從自學的技術來 開發我想要的成果。 
 
 
- 
		
- 
	有個 舞台 讓我們做發揮! 
對我個人而言...
- 
每 1~2 年便更新一次的系統,雖然在學習上可能會覺得負擔有點大,也沒有考古題或是 "前人種樹" 可以庇蔭 ...
 
- 不過希望能從這些苦心設計的課程當中,只要有一半的人認為當初沒有選錯科系、沒有對程式設計失去信心,那麼我們的苦心就值得了!
對課程而言...
- 
	除了系上課程外, 
 有沒有共同討論的管道?
- 
	能否我們的所學用在日常生活當中? 
- 
	當需要某個工具時, 
 有沒有能力自己開發?
- 
	當我看到系上某個設施需要改善時, 
 能夠運用所學的技術來補強?

所以我想到...

Let's do this!

系上自主開發社群
- Richard Feynman
What we cannot create,
we do not understand.
有了想法後,我便開始透過自我的專案開發來實踐那句 motto 、並建立了 Toolbuddy 這個 Github Organization。

Getting start
先從日常生活中所需的工具、
與手邊適合的程式語言下手。
由於 LaTeX 的格式 (e.g., for 論文、期刊等) 不容易學,所以做了一個能從 JSON/YAML/Markdown 格式中生成 LaTeX 輸出

Links - GitHub / Slides (NOV 2017)
再來是生成靜態網頁的工具,讓使用者能夠快速地從 Markdown/JSON/YAML 格式中生成對應的靜態網頁輸出!

Links - GitHub / Slides (@ModernWeb18)
日常學習相關的紀錄
再來是...
- 
	由於當時碩一上的課程 - 圖形理論 
- 
	課程中草率的證明、多數答案都是由 "結果" 推原因 
- 
	進而圖形理論在選課名單上被列為玄學。 
- 
	當中想到如果能把自己學習歷程記錄下來,找了許多資源,在吸收並了解後撰寫教學。 
- 
	一方面讓自己加深印象,另一方面也能夠讓課程更加完整,也是好事。 
- 
視覺化的 linked-list
 當初學習 C 語言時,初學者往往很難接受 linked-list 這樣的抽象化資料結構。


* directed graph
* binary tree
招募更多夥伴!

Make us Great again!

有了更多專案與 project leader
- 
	成大資訊系網站: NCKU-CSIE-Website 
- 
	成大學生會網站: NCKU-SU-Website 
- 
	門禁系統: SENTINEL 
- 
	LifeGamer 新版 (coming soon) 
- 
	... 
- 
	開發 side project 的動力 
- 
	系上技術討論的空間 
- 
	多人協作的機會 
- 
	養成自我學習能力 
- 
	提早有專案開發的認知 (反例) 
GOALS
- 
	專案與專案間 互相帶動熱度 
- 
	有個 明顯且公認的平台 做舞台 
- 
	增加專案 曝光度 
- 
	更容易找到 夥伴 
Benefits
- 
	未來系上的某些設施,是能夠由我們自己資訊系來做開發、提供 
- 
	現在雖然看起來都是微不足道、與草創期的專案,但我認為系上已經開始慢慢地在改變! 
- 
	更多人願意出來分享技術、與帶領開發 side projects 
what is next?
- 
	網路技術 - 
		e.g. Linux virtual networking, SDN, Cloud Native, etc. 
 
- 
		
- 
	系統軟體 
- 
	feel free to add! 
Future?
無好心的學長姊?
那就來成為重要他人吧!
- 
	Discord - https://discord.gg/52H5FpD 
- 
	GitHub - https://github.com/toolbuddy 
- 
	Blog - https://toolbuddy.github.io 
- 
	Email - tb@imslab.org 

Join us!
Hacktoberfest

- 
	為期一個月的活動 - 
		Who - 不限身分、開放給所有人! 
- 
		How - 對 GitHub 上的專案做出 5 個 PR 即可 
- 
		When - 10/01 - 10/31, 2018 
 
 
- 
		
- 
	To know more... 
Hacktoberfest?
- 
	在成大這邊也有舉辦為期兩天的 meetup 活動! 
- 
	當天邀請厲害的工程師、學長們回來擔任專案開發的介紹、引導者! 
- 
	除了專案與技術的分享外,還有 git 的操作介紹哦! 
- 
	有興趣的朋友可以關注一下 10/13~14 這兩天的活動! 
Available?
REgister / 報名



Q & A
自由軟體 - 課程分享
By Kevin Cyu
自由軟體 - 課程分享
- 2,237
 
   
   
  