Nodal line semimetals

László Oroszlány ELTE-KRFT
Outline
-
Topology in real and momentum space
-
Topological metals
-
Magnetic oscillations of nodal loop semimetals
Topology
in
real space

Berezinskii–Kosterlitz–Thouless transition
Berezinskii, Sov. Phys. JETP, 32 493 (1971)
Kosterlitz, Thouless, J. Phys. C, 6 1181 (1973)
2D XY model has a phase transition despite the
Mermin-Wagner theorem!
Skyrmions in magnetic systems

Phys. Rev. Lett. 87, 037203 (2001)
Chern
number
Nuclear Physics 31, 556 (1962)
Topology
in
momentum space
Two band lattice models
two bands
also parametrizes the eigenstates on the Bloch spehre
SSH:The mother of all topological insulators

W. P. Su, J. R. Schrieffer, and A. J. Heeger Phys. Rev. Lett. 42, 1698 (1979)
Winding
number
chiral symmetry
Bulk boundary correspondence

Finite bulk winding number edge states
Chern insulators

BZ
"sitting in the origin staring towards infinity"
v. Klitzing, Dorda, Pepper Phys. Rev. Lett. 45, 494 (1980)
Haldane Phys. Rev. Lett. 61, 2015 (1988)
Qi, Wu, Zhang Phys. Rev. B 74, 085308 (2006)
Quantum Hall effect & Chern insulators


TRI topological insulators in 2D & 3D

Hasan, Kane Rev. Mod. Phys. 82 3045 (2010)
Topological metals

Weyl Semimetals


TaAs surface, Nat. Comm. 6, 7373 (2015)
Weyl points+symmetry =nodal lines

chiral symmetry
Physical realizations and interesting models

Nodal knots
Phys. Rev. B 96, 201305(R) (2017)

Nodal links
Phys. Rev. B 96, 081114(R) (2017)
A good summary: Adv. Phys. X 3, 1414631 (2018)


PbTaSe




ZrSiS
Magnetic oscillations
in
nodal loop semimetals
SdH & dHvA in 3D: Extremal Fermi surfaces


Topological content of magnetic oscillations
Onsager quantization condition:
Phil. Mag. 43, 1006 (1952)
Berry's phase:
Proc. R. Soc. Lond. A 392, 45 (1984)

Two band models
Chiral symmetry quantizes Berry's phase!
DOS oscillatory in 1/B
nice pedagogical summary for 2D
JN Fuchs https://arxiv.org/pdf/1306.0380.pdf
Simplest case


No Berry's phase!
There is "nothing to wind" !
only trivial oscillations!
Weyl semimetals

non trivial Berry's phase!
"it always winds"

n=0 is special ...

Nature 438, 201 (2005)
Berry phase and the triumph of graphene

Magnetic oscillations in ZrSiS: experiments
Science Advances 2, e1601742 (2016)

Nature Physics 14, 178 (2018)

Frontiers of Physics 13, 137201 (2017)
" A transition like this, which is highly sensitive and depends only on a 10° or less change in the magnetic field angle, opens the door to creating new types of devices based on subtle details of the Fermi surface."

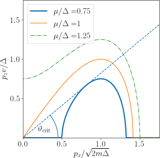
Effective model for nodal loops


Extremal surfaces of nodal loops

Including magnetic fields
trivial oscillations
Magnetic field
perpendicular to the loop

Including magnetic fields

semiclassics:
topological
trivial
in plane magnetic field
inspiration: Montambaux et al. Eur. Phys. J. B 72 509 (2009)
Phase diagram


Oscillation spectra


Oscillation spectra

The Team


Balázs Dóra
József Cserti
Alberto Cortijo

Thanks:
details at:
Phys. Rev. B 97, 205107 (2018)
https://arxiv.org/abs/1801.04721
https://github.com/oroszl/nodalloopsemimetal





2017-1.2.1-NKP-2017-00001




A nice, pedagogical summary of topological insulators
:)
https://arxiv.org/abs/1509.02295

A 2D two band insulator with chiral symmetry...
- A) Has always C=0 because of symmetric bands ensures a that the system remains a metal.
- B) Has always C=0 because the torus can never contain the origin and remain an insulator.
- C) Can have C=1 if the torus, the surface defined by d(k) in d-space, intersects the origin.
- D) 2D systems can not have chiral symmetry and thus it is meaningless to define a Chern number for such a system.
We should teach this!

A really good implementation
Minek nevezzelek?
- nodálisvonal-félfém
- nódusvonal-félfém
nodal line semimetals
By László Oroszlány
nodal line semimetals
- 505