pH-titraus

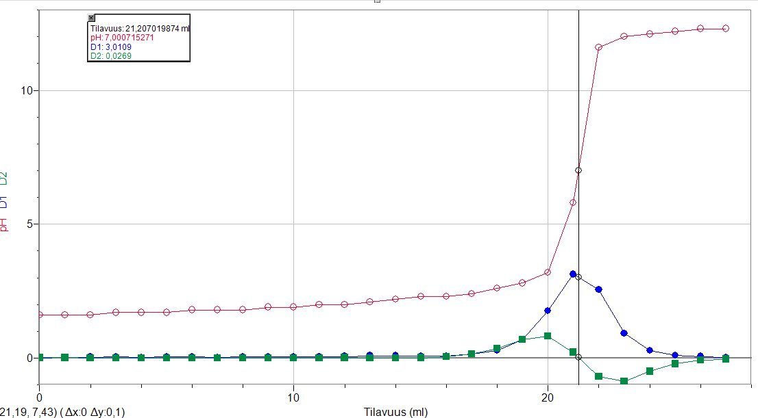
Vahvan hapon titraus vahvalla emäksellä

Ekvivalenttikohdan pH=7

V(NaOH)=21,2 ml

HCl(aq) + NaOH (aq) 

NaCl (aq) + H2O (l)

c(HCl) =?

V(HCl)= 20 ml

c(NaOH)= 0,1 mol/l

V(NaOH)= 21,2 ml

Ekvivalenttikohdassa n(HCl)=n(NaOH)

Vahvan emäksen titraus vahvalla hapolla

Ekvivalenttikohdan pH=7

V(HCl)=13,2 ml

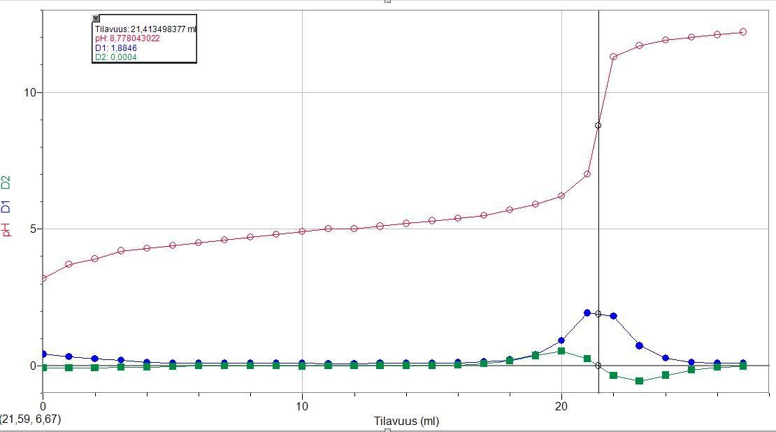
Heikon hapon titraus vahvalla emäksellä

Ekvivalenttikohdan pH=8,8

V(NaOH)=21,4 ml

  • Ekvivalenttikohdan pH >7
  • Puolessa välissä titrausta syntyy puskuriliuos
  • Puskuriliuoksessa [HA]=[A-]

  • Voidaan laskea happovakion arvo, jos tiedetään pH

Heikon emäksen titraus vahvalla hapolla

Ekvivalenttikohdan pH=5,9

V(NaOH)=15,3 ml

deck

By marikasuovanen

deck

  • 95