TVT-OHJELMIEN KÄYTTÖ
KEMIASSA


Marika Suovanen, Lounais-Suomen ammattikoulu ja lukio


YTL:n tiedote
LibreOfficen Writer
* Vastaustekstin kirjoittaminen Abitin vastausruudun sijaan
* Kaavojen ja reaktioyhtälöiden kirjoittaminen onnistuu
Lisää/Objekti/ Kaava
* Kannattaa tallentaa PDF-muodossa, jotta kaavojen reunat
häipyvät
Esim. Digabi B4


LibreOffice Writer:
Laskeminen Tl-Nspirellä:

LibreOfficen Draw
* Käsitekartat
* Kuvanmuokkaus
Esim. Digabin tehtävä


LibreOfficen Draw:
LibreOfficen Calc-taulukkolaskenta
*cvs-tiedostojen avaaminen LibreOfficeen ja solujen kopioiminen esim. GeoGebraan
* Yksinkertaisten kuvaajien piirtäminen
Esim. Piirrä alkaanien, alkoholien ja karboksyylihappojen kiehumisteet hiilen lukumäärän funktiona

Kuvaajan piirtäminen GeoGebralla
Esim. Digabin tehtävä C1






Kuvaajan piirtäminen LoggerProlla
* Ei vielä Abitissa
Esim. Digabin tehtävä D4

Kuvaajan piirtäminen TI-Nspirellä
Esim. Digabin tehtävä D4
CAS-ominaisuudet
*GeoGebra, Tl-Nspire, Casio
* Vaikeat laskut esim. seoslaskut saadaan helposti solve-toiminnolla laskettua
* Seoslaskuissa yhtälö usein hankala murtoyhtälö desimaaliluvuin
Esim. Metalliseoksessa on 1,0 g alumiinia ja sinkkiä. Näyte liuotetaan suolhappoon, jolloin vapautuu 0,040 mol vetyä. Kuinka monta grammaa alumiinia on seoksessa?
GeoGebra CAS
* Tehtävän yhtälö kirjoitetaan LibreOfficessa ja ratkaistaa esim. GeoGebran tai laskinohjelman avulla


Tl-Nspire CAS
* Tehtävän ratkaisu voidaan kirjoittaa muistiinpanosivuilla ja laskea Math-ruudussa






Orgaanisen kemian piirtäminen
* Ladattavat ohjelman MarvinJS
* Selaimessa toimivat (Marvin Js-demo, MolView, ChemDoodle)
*Ei vielä Abitissa, mutta näiden käyttöä voidaan harjoitella tunneilla, työselostusten kirjoittamisessa, ym
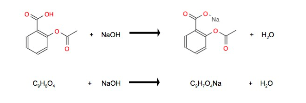
Esim. Asetyylisalisyylihapon pitoisuuden määrittäminen Asperiinissa - työselostus

Asetyylisalisyylihapon reaktio NaOH:n kanssa
MolView


MarvinSketch
MN-AM (Online-demos)

Kuvan muokkaaminen
* Pinta, Gimp, LibreOfficen Draw,...
* Kuvanmuokkaus esim. kuva avataan liitetiedostosta
Esim. Kuvakaappauskuva Digabin C2 tehtävästä



Simulaatiot
Ohjelmistot kemiassa
By marikasuovanen
Ohjelmistot kemiassa
- 1,263
