
Interactive Intro
Neural Networks

Interactive Intro
Neural Networks

Interactive Intro
Neural Networks

Interactive Intro
Neural Networks

Interactive Intro
Neural Networks


Interactive Intro
Neural Networks


Interactive Intro
Neural Networks


Interactive Intro
Neural Networks


Interactive Intro
Neural Networks


Interactive Intro
Neural Networks


Interactive Intro
Neural Networks


Interactive Intro
Neural Networks


Interactive Intro
Neural Networks


Interactive Intro
Neural Networks


Interactive Intro
Neural Networks


Interactive Intro
Neural Networks


Interactive Intro
Neural Networks


Interactive Intro
Neural Networks


Interactive Intro
Neural Networks


Interactive Intro
Neural Networks


Interactive Intro
Neural Networks


Interactive Intro
Neural Networks


Interactive Intro
Neural Networks


Interactive Intro
Neural Networks


Interactive Intro
Neural Networks


Go to
diggit.no
- Log In
- Select Menu of the top left
- Go to Catalog
- Choose Course "Intro to Neural Networks"

Print Py 2.7
- Let's start by print out hello world in 2.7
- print "Hello, World!"
- Congratulations you've just created your first string

Chapter 1 | Python, class intro

Indentation
- Python Indentations (Exc 2)
Where in other programming languages the indentation in code is for readability only, in Python the indentation is very important.
Python uses indentation to indicate a block of code.

Chapter 1 | Python, class intro

Indentation
- Python Indentations (Exc 2)
Where in other programming languages the indentation in code is for readability only, in Python the indentation is very important.
Python uses indentation to indicate a block of code.

Chapter 1 | Python, class intro

Class
- Python is an object oriented programming language.
- Almost everything in Python is an object, with its properties and methods.
- A Class is like an object constructor, or a "blueprint" for creating objects.

Chapter 1 | Python, class intro
Create a Class
To create a class, use the keyword class:

Example
Create a class named Snake, with a property named name

Chapter 1 | Python, class intro

The __init__() Function
Use the __init__() function to assign values to object properties, or other operations that are necessary to do when the object is being created.
Chapter 2 | More on classes

The __init__() Function
In the class named Snake, use the __init__() function to assign values for new_color

Example
Chapter 2 | More on classes


Data architecture
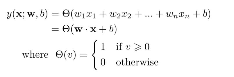
Chapter 3 | What’s a Neural Network?

Chapter 3 | What’s a Neural Network?


Chapter 3 | What’s a Neural Network?
What does this look like in code format using Numpy?


Chapter 3 | What’s a Neural Network?
Chapter 3 | What’s a Neural Network?


Chapter 3 | What’s a Neural Network?



Which matrixes can be multiplied

Chapter 4 | Numpy

Size of new matrix after multiplication

Chapter 4 | Numpy

Matrix multiplication
Chapter 4 | Numpy


Matrix multiplication
Chapter 4 | Numpy


Matrix multiplication
Chapter 4 | Numpy


Matrix multiplication
Chapter 4 | Numpy


Matrix multiplication
Chapter 4 | Numpy


Matrix multiplication
Chapter 4 | Numpy


Matrix multiplication
Chapter 4 | Numpy


Matrix multiplication
Chapter 4 | Nempy


Matrix multiplication
Chapter 4 | Numpy


Matrix multiplication
Chapter 4 | Numpy


Matrix multiplication
Chapter 4 | Numpy


Matrix multiplication
Chapter 4 | Numpy


Matrix multiplication
Chapter 4 | Numpy


Forward propagation Intro
Chapter 5 | Forward propagation Intro
Chapter | Forward propagation Intro


Multiplication
of layers and weight matrices
Chapter | Forward propagation Intro

Multiplication
of layers and weight matrices
Chapter | Forward propagation Intro


Chapter | Forward propagation Intro

Chapter | Forward propagation Intro


Chapter | Forward propagation Intro


Multiplication
of layers and weight matrices
Chapter | Forward propagation Intro

Multiplication of layers and weight matrices

Chapter | Forward propagation Intro


Multiplication of layers and weight matrices
Chapter | Forward propagation Intro


What they represent mathematically
Chapter | Forward propagation Intro


What is Z representing
Chapter | Forward propagation Intro


What we learned

Chapter | Sigmoid Function
Sigmoid Function
Chapter | Sigmoid Function


We need to convert our values into a probable value
Chapter | Sigmoid Function


Chapter | Forward Propagation Continued


Chapter | Forward Propagation Continued


Bootcamp- Concepts

www.diggitacademy.co.uk
Chapter | Error Calcuation


Chapter | Error Calcuation




Chapter | Error Calcuation


Chapter | Error Calcuation


Chapter | Error Calcuation
Chapter | Error Calcuation



https://www.surveymonkey.com/r/QY2W2C9
Please give us feedback :)
There are only 5 questions in the Survey
Business Model
By Marina Goto
Business Model
- 155