Введение в информационный поиск

Лекция 3

Ранжирование в векторной модели документа

Обзор

  • Векторная модель документа (TF-IDF)
  • Ранжирование в векторной модели документа
  • Варианты TF-IDF

Векторная модель документа

Взвешивание терминов

  • Хотим не только сопоставлять (matching) термины из запроса с документами*, но ранжировать документы!
    • запрос q, документ d => числовая оценка релевантности d для q (ranking score) => ранг d в поисковой выдаче для q
  • Не все термины одинаково полезны при поиске
    • напр., стоп-слова, слова с высокой документной частотой
  • Если в документе часто встречается слово из запроса => возможно, оно более значимо и должно давать больший вклад

*см. булевский поиск

Взвешивание терминов по частоте

  • tf(t,d) - частота термина t в документе
  • tf - показатель важности термина для данного документа
  • набор tf(t,d) для всех t - профиль документа d => модель документа "мешок слов" (bag of words)
    • игнорируется порядок появления слов

Взвешивание терминов по документной частоте

  • df(t) - документная частота, число документов, в которых встретился термин t
  • Вспомним закон Ципфа*:                      , где cf - частота i-го термина  в коллекции, i - ранг t по cf(t)
  • В некотором приближении cf(t) ~ df(t), т.е. 
  • => 
  • => 
  • Пусть            , N -  количество документов в коллекции
  • Получаем формулу для idf - обратной документной частоты ("ранг термина с i-й df")
cf_i = c*i^{-1}
cfi=ci1
df_i = \hat{c} * i^{-1}
dfi=c^i1
\log df_i = \log \hat{c} - \log i
logdfi=logc^logi
\log i = \log \hat{c} - \log df_i
logi=logc^logdfi
\hat{c} = N
c^=N
idf_t = \log \frac{N}{df_t}
idft=logdftN

*неформальный вывод, см. вероятностную интерпретацию в Robertson (2004)

Взвешивание терминов по документной частоте

idf_t = \log \frac{N}{df_t}
idft=logdftN

idf оценивает спефичность термина

Взвешивание по tf-idf

  • Значение tf-idf велико, для термина t, который часто встречается в документе d и в небольшом количестве других документов
  • Значение tf-idf мало, если t встречается редко в d или в слишком большом количестве документов
  • Профиль документа d - вектор значений tf-idf (t, d) для всех t из словаря

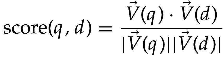
Векторная модель документа

  • Документы - векторы терминов, взвешенные по TF-IDF
  • Близость между 2 документами = косинусная мера для их векторов:
    •  
    • Косинусная мера компенсирует эффект разных длин документов (по сравнению с Евклидовым расстоянием)
    • нормализация по длинам векторов => единичные векторы
    • мера близости = косинус угла между единичными векторами
sim(d_1, d_2) = \frac{\vec{V}(d_1) \cdot \vec{V}(d_2)}{|\vec{V}(d_1) ||\vec{V}(d_2) |}
sim(d1,d2)=V(d1)V(d2)V(d1)V(d2)
\vec{x} \cdot \vec{y} = \sum_{i=1}^M x_i y_i
xy=i=1Mxiyi
|\vec{x}|=\sqrt{\sum_{i=1}^M x_i^2}
x=i=1Mxi2
\vec{v}=\frac{\vec{V}}{|\vec{V}|}
v=VV

Ранжирование в векторной модели документа

Ранжирование в векторной модели документа

  • Поисковый запрос q = вектор в том же пространстве векторов терминов, взвешенных по TF-IDF
  • Релевантность документа запросу = косинусная мера между их векторами:
  • Ранжирование по убыванию косинусной меры
  • Как организовать эффективный подсчет для top-K результатов?

Базовый алгоритм

Вычислительная сложность 10 шага по N? Какую структуру данных использовать?

Двоичная куча

  • Построение: 
  • Найти максимум: 
  • Удалить максимум: 
\Theta(1)
Θ(1)
\Theta(\log N)
Θ(logN)
O(N)
O(N)

Базовый алгоритм

  • Для шага 10 используется "куча" (heap): строится за 2N сравнений, поиск элементов - 
O(\log N)
O(logN)

Более быстрый алгоритм

  • Заменим         на 
  • Вычисляем:
  • Куча строится за 2J сравнений и поиск за log J, где J - число документов с ненулевыми scores
\vec{v}(q)
v(q)
\vec{V}(q) \in \{0,1\}^M
V(q){0,1}M

Эвристики для ускорения подсчета

  • Уменьшение индекса
  • Списки документов-лидеров
  • Статические качественные характеристики документов
  • Упорядочивание списков словопозиций
  • Кластеризация документов

Уменьшение индекса

  • Во время подсчета игнорировать термины с низким idf (< некоторого порога)
  • Считать значения только для тех документов, которые содержат все термины или большинство терминов из запроса
    • вероятное снижение полноты

Списки лидеров

  • Champion lists, fancy lists or top docs
  • На стадии индексирования:
    • Для каждого термина из словаря, предопределить r документов с наивысшими значениями tf
  • Во время обработки запроса:
    • Объединить champion lists для всех терминов из запроса
    • Вычислять значения только для этого множества документов

Качественные характеристики документов

  • Показатели g(d) качества документов безотносительно поискового запроса
    • Показатель достоверности источника документа
    • Меры центральности для графов (PageRank, HITS)
    • Свежесть документа
  • Идеи ускорения:
    • Рассматривать пересечение списков словопозиций в порядке этих значений 
    • В качестве champion lists брать r документов с наивысшими g(d) + tf-idf(t,d)
    • Рассматривать champion lists и только потом оставшиеся документы, если результатов < K

Упорядочивание списков словопозиций

  • Упорядочиваем по убыванию tf(t,d) => порядок документов не будет единым во всех списках
  • Идеи ускорения:
    • Останавливаемся после некоторого числа документов
    • Останавливаемся после падения tf(t,d) < порога
    • Начинаем считать с терминов из запроса с наивысшими idf (term-at-a-time scoring)
  • В общем случае упорядочивание может происходить как по статическим, так и по динамическим факторам документов

Кластеризация

  • "Лидеры" - случайно выбранные документы
  • Кластеризуем по схожести документов ("фолловеров") по отношению к "лидеру"
  • По данному запросу находим ближайшего "лидера"
  • Считаем значения ranking scores только для его "фолловеров" (документов из его кластера)
  • Вариант - рассматривать для запроса X лидеров и для фолловеров Y лидеров 

Варианты TF-IDF

Масштабирование tf

  • Логарифм делаем влияние tf на ranking score менее сильным (сублинейным)
  • Остается проблема с  длинными документами

Text

Нормализация по max tf

a \in [0,1], (a=0.4)
a[0,1],(a=0.4)
  • Аналогично позволяет сделать более гладким рост tf
  • Метод не очень стабилен к терминам-выбросам

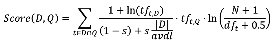
Опорная нормировка по длине документа

  1. График вероятности релевантности как функции от длины документа
  2. График ранжирования тех же документов по косинусной мере 

 => косинусное ранжирование искажает оценку релевантности за счет длинных документов 

  • p - опорная длина
  • идея - "повернуть" график вокруг p

Опорная нормировка по длине документа

  • Нормализация принимает вид: 
    • Угловой коэффициент (slope) s < 1
    • piv - точка пересечения с графиком косинусной нормализации 
  • На практике приближают как:

     - количество уникальных терминов в d

u_d
ud
(1-s)pivot + s|\vec{V}(d)|
(1s)pivot+sV(d)
(1-s)pivot + su_d
(1s)pivot+sud

Необходимо оптизимизировать 2 параметра: pivot и s

Опорная нормировка по длине документа

=> можно просто зафиксировать pivot как среднее значение (по всей коллекции) при старой нормализации и свести к оптимизации 1 параметра (slope)

изменения в pivot можно компенсировать изменением в slope

Модель с опорной нормировкой*

*вариант модели, см. практическое задание 5

Варианты TF-IDF

  • Могут применяться разные взвешивания и нормировки для векторов 
  • SMART нотация (ddd.qqq): например, lnc.ltc
  • Moffat A., Zobel J. Exploring the similarity space (1998)
\vec{V}(d), \vec{V}(q)
V(d),V(q)

IR Course - Lecture 3 - Ranking in Vector Space Model

By Nikita Zhiltsov

IR Course - Lecture 3 - Ranking in Vector Space Model

  • 4,516