Введение в информационный поиск

Лекция 5

Оценивание результатов поиска

Обзор

  • Компоненты оценивания
  • Меры оценивания
  • Статистическая значимость результатов
  • Подсчет со скользящим контролем
  • Инструменты оценивания: trec_eval, galago eval

Компоненты оценивания

  • Тестовая коллекция документов
  • Набор тестовых информационных потребностей
    • Поисковые запросы
  • Набор оценок релевантности для пар "запрос-документ"
    • Даются специально натренированными людьми (асессорами)
    • Как правило, бинарные (релевантен/нерелевантен)
    • Могут иметь градацию (нерелевантен/слабо релевантен/релевантен/сильно релевантен)

Пример интерфейса асессора

Инициативы для оценки поиска

Меры оценивания

Меры качества без учета ранжирования

  • Точность (precision):
    •  
  • Полнота (recall):
    •  
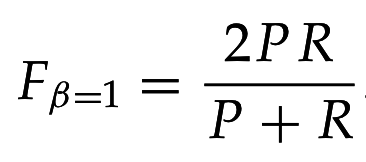
  • F-мера (F-measure):
\alpha \in [0,1], \beta^2 \in [0,+\infty)
α[0,1],β2[0,+)

Кривая "точность-полнота"

  • Строится для k первых документов, для разных k
  • Интерполированная точность для значений полноты         :            
r' \geq r
rr

Средняя точность, интерполированная по 11 точкам

  • Для каждого запроса вычисляется 
  • Для каждого уровня полноты вычисляется среднее арифметическое значение              по всем запросам
  • Средняя точность (Average Precision)
p_{interp} (r), r \in \{0, 0.1, 0.2, ..., 1.0\}
pinterp(r),r{0,0.1,0.2,...,1.0}
p_{interp}(r)
pinterp(r)

Макроусредненная средняя точность

  • Mean Average Precision (MAP)
  • Считаем значения точности на уровне очередного релеватного документа
  • Усредняем => средняя точность 
  • Усредняем средние точности по всем запросам, нормируя по числу релевантных результатов:
  •               - релевантные документы для q
  •       -  множество top-k результатов
  • MAP - устойчивая мера качества и часто используется при оценке
  • MAP     площадь под интерполированной кривой точность-полнота
d_1, ..., d_{m_j}
d1,...,dmj
R_{jk}
Rjk
\approx

Учет градации релевантности

  • Нормированная дисконтированная совокупная выгода (normalized discounted cumulative gain, NDCG)
  • Считается на уровне top-k документов
  •            - оценка релевантности документа d для запроса j
  •                                   => не учитывает позицию
  •                                      => "штраф" за низкий ранг
  •      - оценка "идеального" DCG для данного запроса, то есть DCG(k), когда top-k документы отсортированы по 
  • Усредняем по всем запросам => NDCG
R(j,d)
R(j,d)
Z_k
Zk
DCG(k)=\sum_{m=1}^k \frac{2^{R(j,m)}-1}{\log(1+m)}
DCG(k)=m=1klog(1+m)2R(j,m)1
R(j,d)
R(j,d)
CG(k)=\sum_{m=1}^k 2^{R(j,m)}
CG(k)=m=1k2R(j,m)

Mean Reciprocal Rank

MRR=\frac{1}{Q}\sum_{i=1}^{|Q|}\frac{1}{rank_i}
MRR=Q1i=1Qranki1
  • Усредненный обратный ранг
  •         - ранг первого релевантного документа
  • Усредняем обратные ранги по всем запросам => MRR
  • Широко применяется при оценке вопросно-ответного поиска (question answering, QA)
rank_i
ranki

Статистическая значимость

Статистическая значимость результатов поиска

  • Позволяет ответить на вопрос:
    • значим ли прирост на X% по мере M для данного набора из Q запросов?
    • либо прирост мог быть получен случайно  
  • Используется аппарат математической статистики: 
    • тесты для проверки гипотез
  • На практике - если сложный метод не дает статистически значимый прирост по сравнению с основным простым методом (baseline) => лучше взять простой метод

Общий принцип проверки на статистическую значимость

  1. Выбирается тестовая статистика, по которой нужны сравнить две поисковые системы 
    • Например, разность MAP
  2. В качестве нулевой гипотезы предполагается, что между двумя системами нет разницы
  3. Исследуем распределение тестовой статистики в предположении нулевой гипотезы 
  4. Вычисляем p-value, вероятность появления наблюдаемых значений тестовой статистики больше определенного уровня значимости (0.01;0.05)
  5. Если значимость низка => отбрасываем нулевую гипотезу, иначе => системы не различаются

Тест Фишера (Fisher's Randomization Test)

  • Допустим системы A и B идентичны (нулевая гипотеза)
  • Разность MAP - тестовая статистика
  • Значит существует система N, которая генерирует результаты для запросов из Q и случайно помечает их то A, то B =>     способов
  • Любые перестановки меток равновероятны
  • Одна из таких перестановок - наблюдаемая, пусть с результатом: MAP(A) = 0.258, MAP(B)=0.206
  • Считаем разность MAP на всевозможных     перестановках
  • Считаем количество случаев S, когда разность MAP по модулю >= наблюдаемой 0.258-0.206=0.052
  • p-value           (two-sided) 
  • Обычно      слишком велико, рассматривают случайную выборку, напр., 
2^{Q}
2Q
2^{Q}
2Q
=\frac{S}{2^Q}
=2QS
2^{Q}
2Q
10^5
105

Тест Фишера (Fisher's Randomization Test)

Разность MAP на        перестановках

10^5
105

Наблюдаемые MAP

  • Пусть S=1380 => p-value=
  • Пусть уровень значимость p<0.05
  • => c вероятностью (1-p)=95% можно отбросить нулевую гипотезу и признать, что система A  статистически значимо лучше системы B
1380/10^5=0.0138
1380/105=0.0138

Подсчет со скользящим контролем

Мотивация

  • В некоторых функциях ранжирования есть параметры, для которых необходимо подобрать оптимальные значения для наилучших результатов
    • параметры k1, b в BM25
    • параметры сглаживания в языковых моделях
    • машинное обучение ранжированию
  • Как корректно сравнить модели, требующие оптимизацию?
  • => разделить множество поисковых запросов на два: 1) на котором оптимизируем (обучающее) и 2) на котором проверяем оптимизированную модель (контрольное, тестовое)
  • Уменьшение эффективного множества запросов для оценивания?

Схема блочного скользящего контроля

  1. Случайно разбиваем множество запросов на k подмножеств
  2. Оптимизируем параметры модели на объединении k-1 множеств по отношению к некоторой мере оценивания (напр., MAP) 
  3. Считаем меру оценивания  на оставшемся i множестве
  4. Повторяем k раз процедуру 1-3 для других 
  5. Усредняем результаты, полученные на 3 шаге

На практике обычно k=5 или k=10

i=\overline{1,k}
i=1,k

k-fold cross validation

Инструменты оценивания

trec_eval

  • Консольное приложение на C
  • Доступно на trec.nist.gov/trec_eval
  • Реализованы все основные меры оценивания поиска
  • Форматы файлов:

qrels

run

> trec_eval -q -c -m map qrels run

Galago Eval

  • Доступен как часть поисковой системы Galago (на Java): sourceforge.net/p/lemur/wiki/Galago
  • Функционал схож с trec_eval, те же форматы
  • Реализованы тесты статистической значимости (в т.ч. тест Фишера)
  • Пример команды:
    • > bin/galago eval --judgments=qrels --runs+run1 --runs+run2 --metrics+map --metrics+P10 

* означает значимость по тесту Фишера с p<0.05

IR Course - Lecture 5 - Evaluation of IR

By Nikita Zhiltsov

IR Course - Lecture 5 - Evaluation of IR

  • 3,679