Solving optimization problems using quantum computing in the NISQ era
Özlem Salehi
22.08.2022
Overview
Quantum annealing
- TSPTW
- Music generation
- Music reduction
- Test-vehicle optimization
- Railway dispatching
QAOA
- Error mitigation through mid-circuit measurement
- FUNC-QAOA
Two main approaches
Quantum Annealing
Quantum Approximate Optimization Algorithm


Zhou, Leo, et al. "Quantum approximate optimization algorithm: Performance, mechanism, and implementation on near-term devices." Physical Review X 10.2 (2020): 021067.
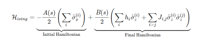
Quantum Annealing

Follows the adiabatic evolution defined through time-dependent Hamiltonian
Adiabatic Quantum Computing
\(H(t) =(1-\frac{t}{\tau}) \:H_{\rm mix} + \frac{t}{\tau}\: H_c\)
Slow evolution during time \(\tau\)
Quantum Adiabatic Theorem: A quantum system that starts in the ground state of a time-dependent Hamiltonian, remains in the in the instantaneous ground state provided the Hamiltonian changes sufficiently slowly.


Quantum Annealing

Implemented by D-Wave quantum annealers
Some conditions of AQC are relaxed in QA resulting in a heuristic algorithm

Express your problem as a
Quadratic
Unconstrained
Binary
Optimatization
problem
Solving a Problem Using QA



Obtain the equivalent Ising model
Use QA to find the variable assignment that minimizes energy
Considered Problems


Travelling Salesman with Time Windows
Music generation

Music reduction
Test vehicle optimization
Railway dispatching problem




Travelling Salesman with Time Windows


Travelling Salesman Problem with Time Windows

Constraints
Objective
Salehi, Özlem, Adam Glos, and Jarosław Adam Miszczak. "Unconstrained binary models of the travelling salesman problem variants for quantum optimization." Quantum Information Processing 21.2 (2022): 1-30.
Aim: Find a closed route with minimum cost that visit each city exactly once obeying each city's time window.
QUBO for TSP


City 4
Step 2
Each city should be visited exactly once

Only a single city should be visited at each time point

Objective


Penalty method
One-hot encoding
QUBO/HOBO for TSPTW
\(O(n^3+n\delta)\) variables
\(O(n^2+n\delta)\) variables
but not a QUBO
\(O(n^2+n^2\delta)\) variables
1.
2.
3.




\(x^1_{0,2}= 1\)
\(x^2_{2,5}= 1\)
\(x^3_{5,1}= 1\)
\(x^4_{1,3}= 1\)
\(x^5_{3,4}= 1\)
\(x^6_{4,0}= 1\)
\(i=1\)
\(i=2\)
\(i=3\)
\(i=4\)
\(i=5\)

\(i=6\)
Undesired solution
\(x^1_{0,2}=1\)
\(x^2_{2,5}=1\)
\(x^3_{5,1}=1\)
\(x^4_{1,3}=1\)
\(x^5_{3,4}=1\)
\(x^6_{4,0}=1\)
Route Constraint

Time Window Constraint




Time Window Constraint
Cost of the route

QUBO for TSPTW

Comparison for number of variables



Embedding
Experimental results
- Multiple bit assignments correspond to the same solution
- Choice of penalty values is challenging
- Hybrid solvers by D-Wave can be a better alternative for large instances of TSPTW

Edge-based
ILP
Considered Problems


Travelling Salesman with Time Windows
Music generation

Music reduction
Test vehicle optimization
Railway dispatching problem




Music generation

Music Generation
Aim: Generate a melodic sequence of pitches

Pitches
that is plausible to the ear!
How to formulate this as an optimization process?
Arya, A., Botelho, L., Cañete, F., Kapadia, D., & Salehi, Ö. (2022). Music Composition Using Quantum Annealing. arXiv preprint arXiv:2201.10557.
Music Generation
$$\sum_{j \in P} x_{i,j} = 1$$
$$\left ( 1- \sum_{j \in P} x_{i,j} \right )^2$$
Pitches
Rules about consecutive notes
$$x_{i,C} + x_{i+1,D} \leq 1$$
$$x_{i,C} + x_{i+1,C} + x_{i+2,C} \leq 2 $$
$$P=\{p_1,p_2,\dots,p_k \}$$
\(x_{i,j}\) for \(i \in [n]\) and \(j \in P\)
$$P=\{\mathtt{C}, \mathtt{D}, \mathtt{E}, \mathtt{G}\}$$


$$ -\sum_{ \substack{i\in [n-1] \\ j,j' \in P}} W_{j,j'} x_{i,j} x_{i+1,j'} $$
weights
Example: Ode to Joy excerpt
$$W_{F\#4,E4} = 2 $$
$$W_{F\#4,F\#4} = 2$$
$$W_{F\#4,G4} = 1$$
Objective


Music generated by hybrid solver
What else can be done?
- Generate rhythm
- Generate harmony
- Use Markov Random Field to model the optimization problem


Considered Problems


Travelling Salesman with Time Windows
Music generation

Music reduction
Test vehicle optimization
Railway dispatching problem




Music reduction

Music Reduction


Aim: Given a music piece with T tracks, obtain a new music with M<T tracks keeping the characteristics of the song as much as possible
Phrase Identification
Cambouropoulos, Emilios. "The local boundary detection model (LBDM) and its application in the study of expressive timing." In ICMC, p. 8. 2001.

Phrase Selection
-
Phrase Identification

Phrase Selection
Phrase Selection
Phrase Selection
Phrase Selection
Which phrases to select?
Phrases with more information should be selected \(\implies\) larger entropy
No two overlapping phrases should be selected for the same track
Operational fixed job scheduling
The gap between selected phrases in the same track should be minimized
Operational fixed job scheduling with minimal idle-time
Operational fixed job scheduling
job number
time
16
18
15
10
10
14
23
17
26
Operational fixed job scheduling
job number
time
job number
time
Operational fixed job scheduling
OFISP\(_{\text{min-i}}\)
- Variables and objective function
$$x_{i} =\begin{cases}1,& \text{if the job $b_i$ is selected}\\ 0, & \text{otherwise.}\end{cases} $$
$$\text{minimize: } \ - \sum_{j=1}^{N} w_ix_i$$
- Constraints
$$\sum_{i: ~ k\in[s_i,e_i]} x_i \leq M \qquad \text{for $k = 0, \dots, K$ } $$
\(M\): Number of machines
\(N\): Number of jobs
\(K\): Total time in discrete time units
\(s_i\): Start time of job \(b_i\)
\(e_i\): End time of job \(b_i\)
$$\sum_{i: ~ k\in[s_i,e_i]} x_i = M \qquad \text{for $k = 0, \dots, K$ } $$
QUBO for OFISP\(_{\text{min-i}}\)
$$ P_1 \sum_{k=1}^K \left(\sum_{i: ~ k\in[s_i,e_i]} x_i - M\right)^2 + P_2 \sum_{k=1}^K \left(\sum_{i: ~ k\in[s_i,e_i]} x_i + E(\xi_k) - M\right)^2 + \sum_{i=1}^N w_ix_i , $$
Postprocessing
Postprocessing
Sort selected jobs according to their ending times
Postprocessing
Use greedy algorithm to assign jobs to tracks


Considered Problems


Travelling Salesman with Time Windows
Music generation

Music reduction
Test vehicle optimization
Railway dispatching problem




Test vehicle optimization


Test-vehicle optimization
Glos, Adam, Akash Kundu, and Özlem Salehi. "Optimizing the Production of Test Vehicles using Hybrid Constrained Quantum Annealing." arXiv preprint arXiv:2203.15421 (2022).
Aim: Given a list of tests, requiring cars with certain features find the minimum number of cars that cover the tests and obey the configuration rules

Problem
Vehicle configuration rules
Single type requirement
Features allowed per type
Group Features
Rules per type
Test requirements
Properties of the cars needed for the testing phase
Algorithm
- Select the features for \(n\) cars to satisfy the tests as much as possible
- Remove/update satisfied tests
- Continue with the next \(n\) cars
Greedy approach
D-Wave CQM Solver
(1) CQM solver natively supports equality and inequality constraints.
(2) Less number of variables: As no need to remove inequality constraints through penalty method.
(3) Allows quadratic constraints directly into model, which is not possible for QUBO.
Constrained Quadratic Model
Advantages
(1) CQM solver natively supports equality and inequality constraints.
(2) Less number of variables: As no need to remove inequality constraints through penalty method.
(3) Allows quadratic constraints directly into model, which is not possible for QUBO.
Problem Formulation
Main challenge: Express the logical constraints as equality and inequality constraints using as few variables as possible
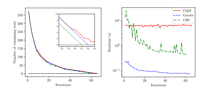
Numerical Results

CBC: 62
Gurobi: 64
CQM: 66
\(n=1\): One car optimized at a time
Considered Problems


Travelling Salesman with Time Windows
Music generation

Music reduction
Test vehicle optimization
Railway dispatching problem




Railway dispatching problem

Railway Dispatching Problem
Domino, Krzysztof, et al. "Quadratic and higher-order unconstrained binary optimization of railway dispatching problem for quantum computing." arXiv preprint arXiv:2107.03234 (2021).
Aim: Reduce delay propagation in railway systems in case of disruptions by rescheduling and rerouting

Objective: Minimize weighted additional delay
Constraints reflect minimal headway between trains, minimal stay on stations, station/track occupation, and rolling stock circulation on double-track and multi-track lines.

3 Formulations
ILP
HOBO
QUBO


Algorithm
changing the track to the parallel one
changing the platform at the station
changing the path within the station

D-Wave Experiments
Two main approaches
Quantum Annealing
Quantum Approximate Optimization Algorithm


Zhou, Leo, et al. "Quantum approximate optimization algorithm: Performance, mechanism, and implementation on near-term devices." Physical Review X 10.2 (2020): 021067.
Quantum Approximate Optimization Algorithm

Quantum Approximate Optimization Algorithm (QAOA)

For the gate based model
\(\gamma_i\) and \(\beta_i\) optimized by external classical procedure
$$|\gamma,\beta\rangle = \prod_{i=1}^p \exp(-\mathrm{i} \beta_iH_{\rm mix})\exp(-\mathrm{i} \gamma_iH_c) |+^n\rangle $$
Can be viewed as a trotterization of AQC
Quantum Approximate Optimization Algorithm (QAOA)

$$|\gamma,\beta\rangle = \prod_{i=1}^p \exp(-\mathrm{i} \beta_iH_{\rm mix})\exp(-\mathrm{i} \gamma_iH_c) |+^n\rangle $$
Typical initial state
\(-\sum_i X_i\) s.t. eigenstate of \(X\) is \(|+\rangle\)
\(2p\) parameters required for \(p\) layers
Expectation \(\langle \gamma,\beta| H_c | \gamma, \beta \rangle \) is approximated by measurement in the computational basis
Quantum Alternating Operator Ansatz (QAOA+)
$$|\gamma,\beta\rangle = \prod_{i=1}^p \exp(-\mathrm{i} \beta_iH_{\rm mix})\exp(-\mathrm{i} \gamma_iH_c) |s\rangle $$
Subspace of the full Hilbert space containig all feasible states
Should preserve the space
Example: One-hot states and XY Mixer
Botelho, L., Glos, A., Kundu, A., Miszczak, J. A., Salehi, Ö., & Zimborás, Z. (2022). Error mitigation for variational quantum algorithms through mid-circuit measurements. Physical Review A, 105(2), 022441.
Error mitigation through mid-circuit measurement
Ideally, quantum state of the system should be a superposition of valid states throughout the evolution.
For TSP with ordinary encoding, product of one-hot states
Idea: Detect and remove unvalid states during the evolution
Postselection by filtering
If \(|s\rangle\) is not a valid state, ancilla will no longer be in \(|0\cdots0\rangle\) state
\(\implies\) Measure ancilla and continue if it is all 0

- \(k\)-hot states: Count number of 1's
- Domain wall encoding: Check consecutive bit pairs
- Binary encoding: Check if encoded number exceeds maximum possible value
1000, 1100, 1110, 1111
Postselection by compression

For one-hot states, apply the conversion circuit from one-hot to binary
Check if bits are 0
Experimental results

Larger the value, the more positive impact the mitigation scheme has on the output.
Near-Optimal Circuit Design for QAOA
We introduce an alternative way for implementing QAOA that allows reaching near-optimal cost metrics
Idea: Start with a classical pseudo-code function and implement it using a quantum circuit
State of the art
\(b_i \leftarrow \frac{1-s_i}{2}\)
Start with a
QUBO or HOBO
Get the corresponding Ising model
Implement each term in the expression
\(H = -\frac{1}{2^n} \prod_{i=1}^n (1-s_i)\)
\(s_i \in \{-1,1\}\)

\(b_i \leftarrow \frac{1-s_i}{2}\)
\(H = -\prod_{i=1}^n b_i\)
\(b_i \in \{0,1\}\)
Exponential number of CNOT gates!
Exponential number of terms !
\(H = -\frac{1}{2^n} \prod_{i=1}^n (1-s_i)\)
\(s_i \in \{-1,1\}\)
State of the art implementation

\(O(n^2)\) gates on LNN!
FUNC-QAOA
This is classical AND operator!
\(H = -\prod_{i=1}^n b_i\)
\(b_i \in \{0,1\}\)
New Idea
Start with a pseudocode function!
\(|f\rangle \leftarrow AND(b_i\) for \(i=1\) to \(n\))
\(|f\rangle \leftarrow R_z(-i\theta) |f \rangle \)
Uncompute \(|f\rangle \)
- Number of gates
- Number of physical qubits
- Effective space size
- Number of parameterized gates
- Depth
- Depth on LNN
- Energy span

What else are important?
Quality Measures
Claim: FUNC-QAOA allows near-optimal circuit designs for various problems


FUNC-QAOA for TSP
Mixer: Grover-mixer
Initial state: Product of equal superposition of valid cities
Encoding: Binary
Each \(b_t\) (which represents in binary city visited at time \(t\)) is initialized as the equal superposition of valid cities



Permutation checking
Idea:
Count occurrence of each city in modulo 2
If they are not all 1, penalize
Cost of the route

Idea:
Switch from time-to-city to city-to city representation
The idea can be generalized, so far we managed to use it for
- Set Cover problem
- Integer Linear Problem (trade-off)
- Graph Isomorphism (trade-off in general, optimal for Euclidean graphs)

Very difficult for general graph!
Generalization
References
Credits for presentation: Ludmila Botelho, Akash Kundu, Adam Glos
1. Salehi, Ö., Glos, A., & Miszczak, J. A. (2022). Unconstrained binary models of the travelling salesman problem variants for quantum optimization. Quantum Information Processing, 21(2), 1-30.
2. Arya, A., Botelho, L., Cañete, F., Kapadia, D., & Salehi, Ö. (2022). Music Composition Using Quantum Annealing. arXiv preprint arXiv:2201.10557.
3. Glos, A., Kundu, A., & Salehi, Ö. (2022). Optimizing the Production of Test Vehicles using Hybrid Constrained Quantum Annealing. arXiv preprint arXiv:2203.15421.
4. Domino, K., Kundu, A., Salehi, Ö., & Krawiec, K. (2021). Quadratic and higher-order unconstrained binary optimization of railway dispatching problem for quantum computing. arXiv preprint arXiv:2107.03234.
5. Botelho, L., Glos, A., Kundu, A., Miszczak, J. A., Salehi, Ö., & Zimborás, Z. (2022). Error mitigation for variational quantum algorithms through mid-circuit measurements. Physical Review A, 105(2), 022441.
Solving optimization problems using quantum computing in the NISQ era
By Özlem
Solving optimization problems using quantum computing in the NISQ era
- 435