An application of zero forcing sets in quantum computing


Özlem Salehi
WGT-Workshop on Graph Theory and Its Applications-X
14.10.2022
OUTLINE
- A brief introduction to quantum computing
- Quantum Approximate Optimization Algorithm (QAOA)
- Zero forcing sets
- Universality of QAOA and zero forcing sets
- Open questions
Based on: Morales, M.E., Biamonte, J.D. and Zimborás, Z., 2020. On the universality of the quantum approximate optimization algorithm. Quantum Information Processing, 19(9), pp.1-26
BIT vs. QUBIT

Probabilistic Bit
Bit
Qubit
Either 0 or 1
0 with probability \(p_0\)
1 with probability \(p_1\)
\(p_0 + p_1 = 1\)
\(|0\rangle\) with probability \(|a_0|^2\)
\(|1\rangle\) with probability \(|a_1|^2\)
\(|a_0|^2 + |a_1|^2 = 1\)
GATE-BASED COMPUTING

Gates corresponding to unitary operators
Measurement









\(|0\rangle=\)
\(|1\rangle=\)
Adiabatic Quantum Computing
\(H(t) =\frac{1-t}{\tau} \:H_{\rm mix} + \frac{t}{\tau}\: H_c\)
Slow evolution during time \(\tau\)
Quantum Adiabatic Theorem: A quantum system that starts in the ground state of a time-dependent Hamiltonian, remains in the in the instantaneous ground state provided the Hamiltonian changes sufficiently slowly.
EVOLutıon of a CLOSED quantum system
\(|\psi\rangle' = U |\psi\rangle\)
State of the system at \(t_1\)
State of the system at \(t_2\)
Unitary operator
Hermitian operator
Hamiltonian
Eigenstate
Energy
Lowest energy state: Ground state
Unitary
Isıng model

Consider Hamiltonian
Note that
Yields energy function
Hence,
Corresponds to
\(s_i \in \{-1,1\} \)
where,
Example - MAx-cut Problem
\(\displaystyle \sum_{(i,j) \in E} Z_iZ_j \) = \(Z_0Z_1 + Z_1Z_2 + Z_2Z_3 + Z_0Z_3\)
Corresponding Hamiltonian:
\(\min.~ \displaystyle \frac{1}{2}\sum_{(i,j) \in E} (s_is_j-1)\)
\(\implies \min. \displaystyle \sum_{(i,j) \in E} s_is_j \)
0
1
2
3
Quantum Approximate Optimization Algorithm (QAOA)

For the gate based model
\(\gamma_i\) and \(\beta_i\) optimized by external classical procedure
$$|\gamma,\beta\rangle = \prod_{i=1}^p \exp(-\mathrm{i} \beta_iH_{\rm mix})\exp(-\mathrm{i} \gamma_iH_c) |+\rangle^{\otimes n}$$
Can be viewed as a trotterization of AQC
Zhou, Leo, et al. "Quantum approximate optimization algorithm: Performance, mechanism, and implementation on near-term devices." Physical Review X 10.2 (2020): 021067.
\(H(t) =\frac{1-t}{\tau} \:H_{\rm mix} + \frac{t}{\tau}\: H_c\)
How to implement QAOA?
Hamiltonian:

https://qiskit.org/textbook/ch-applications/qaoa.html


Unitary:
Node \(\leftrightarrow\) Qubit
Edge \(\leftrightarrow\) Interaction (Gate)
0
1
2
3
Universalıty of qaoa
Morales, M.E., Biamonte, J.D. and Zimborás, Z., 2020. On the universality of the quantum approximate optimization algorithm. Quantum Information Processing, 19(9), pp.1-26.
Universality in general: Possibility of generating arbitrary unitary operations by composition of elementary gates in a gate set.
Back to QAOA
For fixed \( H_X\) and \(H_P\) and \(p\in \mathbb{Z}\), the family of circuits defined by QAOA corresponds to the set of unitaries
Universalıty of qaoa
Morales, M.E., Biamonte, J.D. and Zimborás, Z., 2020. On the universality of the quantum approximate optimization algorithm. Quantum Information Processing, 19(9), pp.1-26.
For fixed \( H_X\) and \(H_P\) and \(p\in \mathbb{Z}\), the family of circuits defined by QAOA corresponds to the set of unitaries
For fixed \(H_Z\) and \(H_X\) acting on \(n\) qubits, we say QAOA is universal if any element in the full unitary group \(U(2^n)\) is approximated to arbitrary precision (up to a phase) by an element of \(\mathcal{C}_{H_Z,H_X}\).
Question: For which \(H_Z\), \(\mathcal{C}_{H_Z,H_X}\) is universal?
A Lie algebra is a vector space \(g\) over some field \(F\) together with a binary operation
\([~,~]: g\times g \rightarrow g\) satisfying some relationships.
LIE ALGEBRA
Ex: \([x,y]=-[y,x]\)
Given a set of Hamiltonians \(P = \{i H_1,i H_2,\dots,i H_q \}\), we call the smallest real Lie algebra \(\mathcal L\) containing the elements of \(P\) the generated Lie algebra of \(P\).
We will denote the generated Lie algebra as
is the set of reachable unitaries.
In QAOA setting, we are interested in knowing whether the Lie algebra generates (up to a phase) the entire unitary group \(U(2^n)\).
commutators and operators
\([X_i, Y_i] = 2iZ_i\)
\([Y_i, Z_i] = 2iX_i\)
\([Z_i, X_i] = 2iY_i\)
\([A,B] = AB-BA\)
\(A_iB_j = B_jA_i\) for \(A,B \in \{X,Y,Z\}\) and \(i \neq j\)
Show that \(e^\mathcal{L}\) contains universal gates, such as any 1-qubit gate and CNOT
MAIN STRATEGY
Example:
- If \(X_j \in \mathcal{L} \) for all \(j\), then the gate \(R_X(\theta) \in e^{\mathcal{L}}\)
- If \(Z_{i}Z_j \in \mathcal{L}\) for all \((i,j) \in E\), then CNOT gate \(\in e^{\mathcal{L}}\)
Zero Forcıng SET
Given a simple graph \(G = (V, E)\), let \(S\subseteq V\) be an initial set of "infected" vertices which are colored red and suppose that the remaining "non-infected" vertices are colored black.
Consider an iterative process, where at each step, the color of a black vertex changes into red if it is the only black neighbor of a red vertex.
\(S\) is called a zero forcing set if starting with the vertices in \(S\), all the vertices are colored in red at the end of this process i.e. all vertices are infected.






Zero forcing process
Universalıty of qaoa defined on graphs
Consider simple graph \(G=(V,E)\) and \(S\subseteq V\).
Let
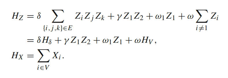
Theorem Let \(G=(V,E)\) be a simple graph and \(S \subseteq V\). Consider \(S\) as the initial set of infected nodes in a zero forcing process. Let \(\gamma,\omega,\omega_i\) be rationally independent. If \(S\) is a zero forcing set, then \(Z_kZ_j\in \langle H_Z,H_X\rangle_{Lie}\) for all \( (k,j) \in E\) and \(X_k\in \langle H_Z,H_X\rangle_{Lie}\) for all \(k\in V\).
Universalıty of qaoa defined on graphs
0
1
2
3
\(S=\{0,3\}\). \(S\) is z zero-forcing set.
QAOA defined by \(H_Z\) is universal.
0
1
2
Universalıty of qaoa defined on graphs
No common \(\gamma\)
\(S=\{1\}\) Not a zero forcing set
Theorem does not apply
Theorem Let \(G=(V,E)\) be a simple graph and \(S \subseteq V\). Consider \(S\) as the initial set of infected nodes in a zero forcing process. Let \(\gamma,\omega,\omega_i\) be rationally independent. If \(S\) is a zero forcing set, then \(Z_kZ_j\in \langle H_Z,H_X\rangle_{Lie}\) for all \( (k,j) \in E\) and \(X_k\in \langle H_Z,H_X\rangle_{Lie}\) for all \(k\in V\).
Proof Idea:

- Since \(\gamma,\omega,\omega_i \) are rationally independent, we can generate \(H_\gamma, H_V, Z_i\) for \(i\in S\).
- If we can generate \(Z_i\), we can also generate \(X_i\) for \(i \in S\). (Since we also have \(H_X\)).
\(X_i,i \in S\)
Theorem Let \(G=(V,E)\) be a simple graph and \(S \subseteq V\). Consider \(S\) as the initial set of infected nodes in a zero forcing process. Let \(\gamma,\omega,\omega_i\) be rationally independent. If \(S\) is a zero forcing set, then \(Z_kZ_j\in \langle H_Z,H_X\rangle_{Lie}\) for all \( (k,j) \in E\) and \(X_k\in \langle H_Z,H_X\rangle_{Lie}\) for all \(k\in V\).
Proof Idea:
- Let \(i,j\in S \) be neighboring vertices in \(G\).
- Consider the commutator:

Hence, we can also generate \(Z_iZ_j \).
\(X_i,i \in S\)
\(Z_iZ_j, i,j \in S\)
Theorem Let \(G=(V,E)\) be a simple graph and \(S \subseteq V\). Consider \(S\) as the initial set of infected nodes in a zero forcing process. Let \(\gamma,\omega,\omega_i\) be rationally independent. If \(S\) is a zero forcing set, then \(Z_kZ_j\in \langle H_Z,H_X\rangle_{Lie}\) for all \( (k,j) \in E\) and \(X_k\in \langle H_Z,H_X\rangle_{Lie}\) for all \(k\in V\).
Proof Idea:
- Consider now \(i\in S \) that has only one non-infected neighbor \(j \in V \setminus S\).
- Define \(H_i\) as \(H_\gamma\) with the interaction terms corresponding to infected neighbors of \(i\) subtracted.
- Consider the commutator

\(X_i,i \in S\)
\(Z_iZ_j, i,j \in S\)
Thus, \(Z_iZ_j\) can be generated. Then, commute with \(H_X − X_i\) and generate \(Z_iY_j\) which commuted with \(Z_iZ_j\) generates \(X_j\).
\(X_j, j\) is the only non-infected neighbor of \(i\)
\(Z_iZ_j, i \in S\) \(j\) is the only non-infected neighbor of \(i\)
Theorem Let \(G=(V,E)\) be a simple graph and \(S \subseteq V\). Consider \(S\) as the initial set of infected nodes in a zero forcing process. Let \(\gamma,\omega,\omega_i\) be rationally independent. If \(S\) is a zero forcing set, then \(Z_kZ_j\in \langle H_Z,H_X\rangle_{Lie}\) for all \( (k,j) \in E\) and \(X_k\in \langle H_Z,H_X\rangle_{Lie}\) for all \(k\in V\).
Proof Idea:
\(X_i,i \in V\)
\(Z_iZ_j, (i,j) \in E\)
- This is analogous to an infection step in the zero forcing process.
- It is then easily seen that if \(S\) is zero forcing, then all one-qubit and two-qubit operators are generated in the graph
GENERALIZATON
Consider simple graph \(G=(V,E)\) and \(S\subseteq V\). Partition the set of edges \(E\) into \(q\) disjoint sets \(\{E_i\}_{i\in[q]}\) such that \(\bigcup_{i\in[q]} E_i = E.\)
Same result applies if \(S\) is a generalized zero-forcing set.
The generalized zero forcing process proceeds by considering each infected vertex and the subgraph \(G_1 = (V, E_1)\).
If an infected vertex has a single non-infected neighbor in \(G_1\), then infect this new vertex and add it to \(S\).
Then, proceed in the same fashion with the neighbours of vertices of \(S\) in graphs \(G_2, G_3,\dots, G_q\) .
UNIVERSALITY WITHOUT ZERO FORCING


\(N=25\)
HYPERGRAPHS


Consider a hypergraph \(\mathcal{G} = (V, E)\) where \(|e| \leq 3\) for all \(e \in E\); a hyperzero forcing process on \(G \) consists of an initial set of vertices \(S_1 \subseteq V\) and an initial set of 2-edges \(S_2\) which we will consider as “infected”.
At each step, a pair of infected vertices \(v_1, v_2\) infects a non-infected 3-neighbour \(w\) if \(w\) is the only non-infected 3-neighbour of \(v_1\) and \(v_2\) and also the 2-edge \(v_1, v_2\) is infected.
We call \(S_1\) and \(S_2\) hyper-zero forcing sets if we can infect all the graphs by starting with \(S_1\) and \(S_2\) infected.



OPEN QUESTIONS
- Can we define a more general graph process than zero-forcing for universality?
- For Hamiltonians involving higher order terms, can we find other classes of Hamiltonians and show universality through hyperzero forcing process?

zero-forcing-qaoa
By Özlem
zero-forcing-qaoa
- 409