從想法到實踐:以碳排放量計算器為例的軟體系統開發實務
2025/05/19 梅竹黑客松2025前期工作坊

Image Credit: https://www.facebook.com/HackMeiChu
Slide

關於我
-
Peter, GitHub
-
活躍的開源專案貢獻者
-
也是一位講者
-
COSCUP、MOPCON、PyCon and so on.
-
-
也是一位工程師
-
DevOps
-
後端開發;PHP、Python與JavaScript
-
軟體工程、系統架構設計與分析
-
網頁應用程式安全
-
-
財團法人工業技術研究院
-
應用資通訊技術至研究智慧電網領域 (2017~2021)
-
-
財團法人資訊工業策進會
-
醫資、健康照護應用服務與碳排放等領域 (2021~迄今)
-

大綱
-
第一部分
-
軟體工程是什麼?我們為什麼需要它?
-
介紹軟體開發流程的步驟
-
介紹需求分析、軟體設計(C4 Model)、物件導向與UML
-
介紹物件導向設計原則
-
延伸閱讀
-
-
第二部分
-
什麼是碳排放量?碳排放量是怎麼來的?
-
淺談ISO-14064以及透過標準,碳排放量該如何進行計算與量化?
-
延伸閱讀
-
-
第三部分
-
運用第一部分與第二部分打造與開發碳排放計算器系統(包含網路爬蟲開發)
-
結論
-
大綱
-
第一部分
-
軟體工程是什麼?我們為什麼需要它?
-
介紹軟體開發流程的步驟
-
介紹需求分析、軟體設計(C4 Model)、物件導向與UML
-
介紹物件導向設計原則
-
延伸閱讀
-
-
第二部分
-
什麼是碳排放量?碳排放量是怎麼來的?
-
淺談ISO-14064以及透過標準,碳排放量該如何進行計算與量化?
-
延伸閱讀
-
-
第三部分
-
運用第一部分與第二部分打造與開發碳排放計算器系統(包含網路爬蟲開發)
-
結論
-
軟體工程是什麼?我們為什麼需要它?
-
軟體工程是什麼?
-
軟體工程就是解決程式設計師的問題
-
利用工程、系統化與流程化的方法進行軟體系統的開發
-
透過設計合適的軟體流程讓程式設計師或工程師有效率的開發
-
軟體系統開發透過不停地迭代與演進的過程
-
軟體工程是什麼?我們為什麼需要它?
-
如果沒有軟體工程......


軟體工程是什麼?我們為什麼需要它?
-
如果沒有軟體工程......

A Anti Pattern: Big ball of mud
介紹軟體開發流程步驟
-
軟體開發流程的步驟如下:

介紹軟體開發流程步驟
-
分析
-
需求分析,例如:確定客戶的需求、系統範圍與作業流程等
-
-
設計
-
系統設計與軟體設計等
-
-
實作
-
透過程式碼進行應用程式與系統的實作
-
-
測試
-
設計測試案例
-
撰寫單元測試程式
-
透過測試找出錯誤並確保軟體系統的功能實際與預期一致
-
(安全)軟體開發週期


將軟體開發週期與IT維運人員合在一起

- 將「軟體開發」與「IT維運」之間的溝通、合作、慣例或文化
- 透過自動化的「軟體交付」與「架構變更」的流程
-
使得構建、測試、發布軟體能夠更加地快捷、頻繁和可靠
-
需求分析
-
我們可以使用「User Story」使用者故事來幫助釐清使用者需求
-
如果沒有做好需求分析的情況如下:

需求分析
-
使用者故事範例
-
使用者能夠搜尋工作職缺
-
公司能夠發布新的職缺
-
-
不理想使用者故事範例
-
軟體系統將以Python程式語言進行開發
-
以Python程式語言透過連接池方式連接到資料庫進行資料存取
-
需求分析
-
若以黑客松來說
-
使用者需求訪談可能來不及或是不好做
-
或是是團隊自己想到的產品進行開發
-
-
因此開發最簡可行性產品為首要目標
-
最簡可行性產品,Minimum Viable Product
-
-
使用者需求分析應著重在各個小組團隊內部認為的產品發展
-
透過使用者故事釐清產品或服務的流程
-
需求分析練習
-
請各位針對自己要開發的產品或服務進行使用者需求分析
-
並產生出使用者故事範例至少3項
-
討論時間:8分鐘
-
抽1~2位進行分享
使用者流程圖
-
泳道圖,是一種流程圖,能區分業務流程及工作分擔
-
透過泳道圖能夠了解使用者業務流程


泳道圖練習
-
請各位將前述完成至少三項的使用者需求分析抽出至少一項
-
將該項轉換成泳道圖描述該需求分析的業務流程圖
-
討論時間:8分鐘
-
抽1位進行分享
設計
-
為什麼要先設計?
-
不好的設計就會像......


設計
-
我們在設計上會希望達到與重視模組之間的:
-
高凝聚力,High Cohesion
-
模組內部功能或資料之間的相依程度
-
-
低耦合,Low Coupling
-
強調模組之間的獨立程度
-

架構設計
- 軟體系統架構設計是架構整體系統的過程,包含下列幾個項目
-
將系統拆分成數個子系統/元件/模組
-
決定這些子系統/元件/模組如何互動
-
決定這些子系統/元件模組的介面
-
- 軟體架構面包含靜態與動態面
-
靜態面:展現系統切割成不同的子系統/元件/模組,以及之間介面連結
-
動態面:展現系統切割不同的子系統/元件/模組之動態互動行為
-
資料在各個子系統/元件/模組之間如何傳遞與處理以及其執行的動態行為等
-
-
介紹C4 Model
-
C4 Model用途
-
是用來視覺化軟體系統架構,並主要分成4層
-

介紹C4 Model Context層
-
這層主要是在表示整個軟體系統最上層的架構
-
該層專注在人(角色)與各個系統之間的互動
-
而不是注重在底層技術、通訊協定或是更低的技術細節
介紹C4 Model Context層

介紹C4 Model Container層
-
與Docker Container不同
-
該層將Context層中
-
將各個內部系統進行拆分成資料庫與各個應用程式標示之間的互動
-
上述這些資料庫與應用程式會標註之間使用最主要的互動方式
-
例如:使用JSON/HTTPS、SMT或XML/HTTPS等
-
-
介紹C4 Model Container層

介紹C4 Model Component層
-
該層將Container層中的應用程式進行拆分
-
拆分成「數個元件」,也就是所謂的Components
-
同時標示每個元件它們負責功能、技術與實作等細節
-
介紹C4 Model(3) Component層

介紹C4 Model Code層
-
該層將Component層中的每個元件往下展開
-
用來描述透過Codes如何進行元件的實作
-
使用UML類別圖、Entity–relationship model或其他類似示意圖
-
- 這層應只考慮顯示實作元件所需的類別屬性與方法等
-
該層建議將最重要或最複雜的元件細節表示出來
-
介紹C4 Model Code層

C4 Model練習
-
請先安裝好Draw.io,或是直接使用線上版
-
https://www.drawio.com(建議)
-
Windows可以安裝:「windows-no-installer.exe」的版本
-
MAC OS版可以依照CPU不同架構安裝副名為「dmg」的版本
-
-
請各組將自身要開發的服務或產品透過C4 Model方式進行繪製
-
包含Context層、Container層與Component層
-
Container層至少展開一個子系統
-
Component層至少將一個Component進行展開
-
-
討論時間:8分鐘,抽1位進行分享
軟體設計從高階到低階進行設計

軟體設計策略
-
各個擊破法
-
透過抽象化的概念,將問題的解法透過由上而下的分解
-
將複雜的問題拆解成數個較小且容易的模組
-
經由小模組的解決,進而解決較為複雜的問題
-
設計議題(Design Issues)
-
紀錄系統設計過程中遭遇的議題
-
議題內容
-
現有會員註冊欄位過多,平均會花上5分鐘進行註冊
-
-
可能解決方案
-
透過第三方登入,例如提供Facebook或Google帳號登入
-
精簡註冊欄位的資料
-
-
最後解決方案
-
實作多功能註冊
-
-
設計議題(Design Issues)
-
紀錄系統設計過程中遭遇的議題
-
決策理由
-
最大彈性:提供使用者多種註冊選擇
-
資料一致性:社群註冊自動取得必要資料,不重複要求
-
安全性考量:保留手機驗證防止機器人註冊
-
轉換率優化:任一方式皆可在 1 分鐘內完成註冊
-
-
-
請各組回去練習
-
請各組回去將先前練習的C4 Model圖進行分析
-
找出在系統設計的過程中潛在的設計議題並透過前述方法進行分析
-
介紹UML之前.....
先來談談物件導向程式的特性
類別與物件的關係
-
類別(class)
-
物件的設計藍圖
-
-
物件(object)
-
根據類別實例化(實體/instance)
-
以Java為例:
-
Animal animal = new Animal()
-
-
物件導向特性
-
封裝(Encapsulation)
- 在類別中,一種將抽象性函式介面的實作細節部份包裝、隱藏起來的方法
- 所以類別中會透過定義private、protected與public的方法與變數加以控管外部存取
-
繼承(Inheritance)
-
-
類別有父類別與子類別之間的關係,子類別會繼承父類別的屬性和方法
-
公開繼承,子類別能夠透過繼承父類別存取與修改公開的方法(public method)
-
私有繼承,子類別能夠透過繼承父類別存取私有的方法(private method)
-
保護繼承,子類別能夠透過繼承父類別存取與修改公開的方法(protected method)
-
較為少用且建議不用
-
-
-
多型(Polymorphism)
-
不同的物件可以有相同的方法名稱,但呈現出不同的行為
-
多型是繼承可達成的重要效益
-

介紹UML
-
統一塑模語言
-
UML,Unified Modeling Language
-
用來說明、視覺化、建構與編寫
-
正在開發的、物件導向的、軟體密集系統的製品的開放方法
-
可用來表達物件內涵與物件間的互動關係,Class Diagram類別圖
-
-


介紹UML
-
類別關聯性
-
Dependency相依;「uses a」
-
Association關聯;「knows a」
-
Composition組合;「has a」
-
Aggregation聚合;「has a」
-
Inheritance繼承;「is a」
-
Realization/Implementation實作;「can do」
-
-
類別中的屬性
-
前面有「+」代表是public方法或是變數名稱
-
前面是「-」代表是private方法或是變數名稱
-


介紹UML
-
Dependency相依;「uses a」
-
X使用Y,X呼叫Y的方法(method);熟識
-
Shorten Relationship短期關係

介紹UML
-
Dependency相依;「uses a」
-
X使用Y,X呼叫Y的方法(method);熟識
-
Shorten Relationship短期關係

介紹UML
-
Association關聯;「Knows a」
-
X熟識Y,X包含Y的reference(Y是X的一個資料成員)
-
Long Term Relationship長期關係

介紹UML
-
Association關聯;「Knows a」
-
X熟識Y,X包含Y的reference(Y是X的一個資料成員)
-
Long Term Relationship長期關係
-
關係中只有一方看得到另外一方,則用有箭頭的關聯線表達這樣的可視性(Navigation)

介紹UML
-
數量(Multiplicity)
-
關聯端點上可寫上數量,代表此參與此關聯關係之物件個數
-
例如:1個學生(Student)可以修0~10門課(Course)

class Student {
Course[] courses = new Course[10];
}
class Course {
}介紹UML
-
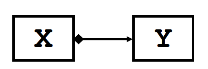
組合(Composition)與聚合(Aggregation)
-
都是「has a」或是「part of」之關係
-
-
聚合(Aggregation )
-
在聚合關係中,若 Y 包含於 X ,Y 可再被其他物件包含
-
當大物件 X 消失,小物件 Y 仍然存在
-
-
組合(Composition )
-
在組合關係中,若 Y 包含於 X ,Y不可被其他物件包含
-
X 與 Y 之生命週期一致:若刪除 X ,則 Y隨之被刪除
-


介紹UML
-
組合(Composition)與聚合(Aggregation)範例

介紹UML
-
繼承與實作
-
繼承,Inheritance,「is a」
-
X is derived from Y
-
X(子類別)繼承Y(父類別)
-
-
實作,Implementation,「can do」
-
X can do (replace) the jobs of Y
-
X(類別) implements Y(interface介面)
-
-

介紹UML
-
實作Implementation範例

介紹UML
-
抽象類別
-
無法產生物件,但能夠被繼承
-
例如:
-
交通工具Vehicle可分為Bike和Car
-
是一種完全分類,不會有物件從Vehicle產生出來
-
-

介紹UML
-
抽象方法
-
宣告方法的介面(參數及回傳型態)
-
但是不具備實作Implementation
-
例如:
-
所有的交通工具都會向左轉與向右轉
-
但怎麼做由子類別自行定義
-
-


介紹UML
-
再回來談多型
-
不同的物件可以有相同的方法名稱
-
但呈現出不同的行為
-
多型是繼承可達成的重要效益
-
以下是透過多型的特性進行動態綁定的方法
-

class Client {
double op1(Shape s) {
double area = s.getArea();
return area;
}
}UML練習
-
請先將StarUML安裝好
-
類別圖Class Diagram練習,練習時間:8分鐘,抽一組進行分享
-
以下為需求敘述範例
-
客戶有兩種,一類是公司客戶,另外一類為個人客戶
-
客戶有名稱、住址等屬性資料
-
個人客戶則額外有信用卡帳號資料
-
公司客戶額外有信用狀態資料
-
客戶會下訂單買產品
-
產品需記錄編號、名稱與價錢等資料
-

UML操作說明(以StarUML為例)
UML練習解答
-
識別出所有類別的名詞
-
客戶、公司客戶、個人客戶、訂單與產品資訊
-
Customer、CorporateCustomer、PersonalCustomer
-
Order
-
ProductInfo
-

UML練習解答
-
建立類別之間的關係
-
客戶有兩種,一類是公司客戶,另外一類為個人客戶
-
客戶會下訂單買產品
-

UML練習解答
-
設定屬性(Attribute)
-
客戶有名稱與住址等屬性資料
-
個人則額外有信用卡帳號資料
-
公司客戶額外有信用狀態資料
-
產品需記錄編號、名稱與價錢等資料
-

UML練習解答
-
設定方法(Method)
-
客戶會下訂單買產品
-

C4 Model延伸練習
-
延伸C4 Model練習
-
請各位進行討論,時間:8分鐘,抽1位進行分享
-
利用先前C4 Model練習之產出識別重要的Component
-
將先前拆解出來的Component往下拆分一層Code
-
利用學到的UML知識將前述拆出的Code進行設計:
-
設定與識別所需要的各個類別
-
建立各類別之間的關係(關聯)
-
設定各個類別屬性與方法
-
-
介紹物件導向設計原則
- 物件導向設計原則
-
這裡先解釋SOILD原則
- 屬於Code-Level層級的設計
- 透過設計原則與模式能夠讓程式碼
- 提高可讀性、維護性、程式碼彈性與減少維護成本
-
適當使用介面設計能提高程式的擴展性
-
介紹物件導向設計原則
-
SOLID原則
-
單一職責原則Single Responsibility Principle, SRP
-
每個類別應具備單一功能
-
並且該功能由這個類別/模組進行封裝起來
-
可以視為「改變的原因」
-
一個類別或模組僅有一個「改變的原因」
-
-


初步設計
應用SRP之後
介紹物件導向設計原則
-
SOLID原則
-
開放關閉原則OpenClose Principle, OCP
-
一個模組必須有彈性的開放往後的擴充
-
並且避免因為修改而影響到大量程式
-
-
初步設計
應用OCP之後


介紹物件導向設計原則
-
SOLID原則
-
理氏替換原則,Liskov Substitution Principle, LSP
-
衍生類別物件可以在程式中代替其基礎類別物件
-
父類別的測試案例,子類別也要能通過
-
Example: Rectangle and Square
-
是繼承關係,但不吻合 LSP
-
-
-
-
介紹物件導向設計原則
-
SOLID原則
-
介面隔離原則,Interface Segregation Principle, ISP, ISP
-
ISP 拆分非常龐大的介面成為更小的和更具體的介面
-
-

初步設計

應用ISP之後
介紹物件導向設計原則
-
SOLID原則
-
反向依賴原則,Dependency Inversion Principle, DIP
-
從高層次的模組開始,再設計低層詳細的模組
-
高階模組不應該依賴低階模組,兩者必須依賴抽象層
-
-
介紹物件導向設計原則
初步設計(違反DIP)
應用DIP之後


物件導向設計原則練習
-
請各組:
- 利用先前C4 Model練習之產出識別重要的Code-Level(類別)
-
在設計類別上運用SOLID原則,進行選用其中一種原則
-
以及說明運用該原則的原因
-
討論時間:7分鐘
-
抽1位進行回答
延伸閱讀
-
除了物件導向設計原則SOLID之外
-
還可以考慮運用設計模式
-
- 對軟體設計中普遍存在(反覆出現)的各種問題所提出的解決方案
-
設計模式不是演算法
如果沒有設計模式...

A Anti Pattern: Big ball of mud
延伸閱讀
-
設計模式的內容
-
名稱(Name)、目的(Intent)、別名(Also Know As)
-
動機(Motivation)、應用性
-
結構,利用UML類別圖與互動圖表示物件之間靜態結構互動關係
-
結果,優缺點比較
-
實作,範例程式碼(Sample Codes)
-
知名案例(Known Cases)
-
其他相關的設計模式比較(Related Patterns)
-
延伸閱讀
-
設計模式的內容
-
設計模式有23種
-
創建型模式(Creational Patterns)
-
如何建立對象,其核心思想是要把對象的建立和使用分離
-
-
結構型模式(Structural Patterns)
-
藉由同種道理來了解元件間的關係,以簡化設計
-
-
行為型模式(Behavioural Patterns)
-
用來識別對象之間的常用交流模式並加以實現
-

延伸閱讀(生成式AI輔助)
-
可以透過Prompt的方式進行C4 Model的繪製
-
可以透過Prompt的方式進行UML的繪製
-
建議整個了解C4 Model與UML後再進行繪製

延伸閱讀(生成式AI輔助)
-
以Claude.ai為例,https://claude.ai
-
請繪製一個C4 Model之Context層的架構圖,包含:
「Personal Customer」去存取「Internet Banking System」
「Internet Banking System」能夠去存取外部的「Mainframe Banking System」
「Internet Banking System」能夠去存取外部的「E-mail System」
-

延伸閱讀(生成式AI輔助)
-
以Claude.ai為例,https://claude.ai
-
請繪製一個C4 Model之Context層的架構圖並以Darwio的XML檔表示,包含:
「Personal Customer」去存取「Internet Banking System」
「Internet Banking System」能夠去存取外部的「Mainframe Banking System」
「Internet Banking System」能夠去存取外部的「E-mail System」
-

延伸閱讀(生成式AI輔助)
-
以Claude.ai為例,https://claude.ai
-
請繪製一個C4 Model之Context層的架構圖並以Darwio的XML檔表示,包含:
「Personal Customer」去存取「Internet Banking System」
「Internet Banking System」能夠去存取外部的「Mainframe Banking System」
「Internet Banking System」能夠去存取外部的「E-mail System」 -
生成出來的XML檔案複製並匯入到Drawio
-

大綱
-
第一部分
-
軟體工程是什麼?我們為什麼需要它?
-
介紹軟體開發流程的步驟
-
介紹需求分析、軟體設計(C4 Model)、物件導向與UML
-
介紹物件導向設計原則
-
延伸閱讀
-
-
第二部分
-
什麼是碳排放量?碳排放量是怎麼來的?
-
淺談ISO-14064以及透過標準,碳排放量該如何進行計算與量化?
-
延伸閱讀
-
-
第三部分
-
運用第一部分與第二部分打造與開發碳排放計算器系統(包含網路爬蟲開發)
-
結論
-
什麼是碳排放量?碳排放量是怎麼來的?
-
溫室效應
-
溫室效應是指行星的大氣層因為吸收輻射能量,使得行星表面升溫的效應
-
-
溫室氣體
-
水蒸氣(H2O)、臭氧(O3)、二氧化碳(CO2)、氧化亞氮(N2O)、甲烷(CH4)、氫氟氯碳化物類(CFCs,HFCs,HCFCs)、全氟碳化物(PFCs)及六氟化硫(SF6)
-
-
為了要量化碳排放,因此需要有公式進行二氧化碳當量之計算
-
使用特定溫室氣體質量乘以全球暖化潛勢計算而得
-
-
全球暖化潛勢值(IPCC)
-
是衡量溫室氣體對全球暖化影響的一種手段
-
是將特定氣體和相同質量二氧化碳比較之下,造成全球暖化的相對能力。
-
-
碳排放量如何計算?
-
例如:排放係數法,將能源使用量,乘上相對應的溫室氣體排放係數
-
透過標準,碳排放量該如何進行計算與量化?
-
ISO 14064-1:2018
-
直接監測法
-
直接監測排氣濃度和流率量測溫室氣體排放量,準確度高但少見
-
-
質量平衡法
-
化學平衡法;質量守恆定律
-
舉例化學式:C+O2→CO2
-
燃燒1莫耳的碳會產生1莫耳之二氧化碳
-
燃燒1公斤的碳產生44/12 = 3.67 kg之二氧化碳(排放係數)
-
-
-
排放係數法
-
排放量 = 活動數據 * 排放係數 * GWP(全球排放潛勢)
-
-
延伸閱讀
-
PyCon TW 2024
-
那些關於我開發碳排放量計算系統的經驗談
-
大綱
-
第一部分
-
軟體工程是什麼?我們為什麼需要它?
-
介紹軟體開發流程的步驟
-
介紹需求分析、軟體設計(C4 Model)、物件導向與UML
-
介紹物件導向設計原則
-
延伸閱讀
-
-
第二部分
-
什麼是碳排放量?碳排放量是怎麼來的?
-
淺談ISO-14064以及透過標準,碳排放量該如何進行計算與量化?
-
延伸閱讀
-
-
第三部分
-
運用第一部分與第二部分打造與開發碳排放計算器系統(包含網路爬蟲開發)
-
結論
-
分析碳排放計算器系統需求
-
使用者需求分析
-
參考碳排金好算網站:https://pj.ftis.org.tw/CFCv2/CFC/Index
-
使用者有一個使用者介面進去之後,使用者能夠透過排放係數法進行計算
-
使用者只需要使用排放係數法進行計算
-
其中的電力碳排放進行計算
-
透過上述的類型分別填入相對應的活動量
-
- 當使用者填完之後,則可以顯示計算後的訊息,並類似像下列的示意圖:
-

分析碳排放計算器系統需求
-
使用者操作概念圖

分析碳排放計算器系統需求
-
以泳道圖表示使用者操作概念圖

分析碳排放計算器系統需求
-
由於使用者需要用到碳排放計算器介面上,有需要選擇碳排放係數的需求
-
因此需要以網路爬蟲進行自動化的碳排放係數收集
-
需要收集碳排放係數的標的網站如下:
-
能源署—電力排碳係數(目前該系統僅需要此資料)
https://www.moeaea.gov.tw/ecw/populace/content/ContentDesc.aspx?menu_id=26391 -
IPCC潛勢值
https://github.com/openclimatedata/globalwarmingpotentials
-
-
碳排放計算器系統設計
-
由於使用者僅需要一個頁面,因次前端使用單一頁面即可,使用技術如下:
-
jQuery 3.x版本並搭配Bootstrap 4
-
產生出的單一頁面搭配Nginx並部署到ColoCrossing的虛擬機器上
-
-
由於計算可能會稍微複雜,故需要透過後端API服務來完成,使用技術如下:
-
使用Python 3.12進行實作並搭配FastAPI框架進行開發
-
整體API服務以Docker容器化為主
-
並以docker-compose方式進行服務進行建置
-
-
部署方式將前述的容器化之後,透過Nginx反向代理的方式將服務曝露出來
-
碳排放計算器系統設計
-
開發碳排放係數模組時需要開發網路爬蟲模組自動化收集,使用技術如下:
-
Python 3.12並搭配requests的Python套件進行網路爬蟲開發
-
整體模組以Docker容器化為主
-
部署方式將前述的容器化之後,設定排程定期去收集碳排放係數
-
由於先前已經有現有的專案完成碳排放係數模組的網路爬蟲
-
故直接採用並與該系統進行整合
-
-
碳排放計算器系統設計
-
以C4 Model表示
-
Context
-

碳排放計算器系統設計
-
以C4 Model表示
-
Container
-

碳排放計算器系統設計
-
以C4 Model表示
-
Component
-

碳排放計算器系統設計
-
以C4 Model表示
-
Code
-

碳排放計算器系統設計議題範例
-
在碳排放計算器類別中,日後會有不同計算方法的議題
-
例如:質量平衡法與排放係數法等
-
不同的計算器有不同的計算方法
-
-
因此在實作該類別上,有兩種設計模式的方法可以達到前述的議題
- 建立萬用計算器,所有的計算都使用它進行碳排放量的計算
-
依據依賴反轉(Dependency Inversion)的設計模式準則
-
設計基礎計算器(Base Calculator);建立抽象類別或介面
-
分別建立固定源、移動源與冷媒逸散碳排放量計算器
-
為日後實作計算器提供彈性的空間
-
- 讓不同的計算器繼承前述的類別
- 讓子類別分別各自實作進行計算方法中的邏輯
-
碳排係數爬蟲模組設計

碳排係數爬蟲模組設計
-
標的網站
-
在GitHub上有個專案定期會更新IPCC潛勢值
-
globalwarmingpotentials.csv
-
解析專案裡面的CSV檔即可取得所需要的潛勢值
需要計算的係數已經有既有的資料集
實作碳排係數爬蟲模組
-
由於是使用既有的開源專案
-
因此需要對該專案進行理解
-
會用到的爬蟲模組如下:
-
electric,以電力排碳係數收集模組講解實作為例
-
gwp_factor,溫室氣體排放係數管理表6.0.4版
-
gwp_value,(IPCC AR4, AR5, AR6) 溫室氣體潛勢值
-
-
實作碳排係數爬蟲模組–以電力排碳係數收集為例
-
由於政府部門改組,從能源局變為能源署,標的網站內容有變
-
故參考與使用moeaea_handler.py

實作碳排係數爬蟲模組–以電力排碳係數收集為例
-
moeaea_handler.py中取得PDF檔案的邏輯如下:
-
發送請求至:
- 解析前述頁面中的內容連結的清單,將關於清單有連結內的文字為「年度電力排碳係數」取出
-
將前述的電力排碳係數連結取出之後,再依序請求連結
-
每個連結對應的內容均有一個PDF檔,將該PDF檔案擷取連結出來,即可下載該PDF檔案
-

碳排係數爬蟲模組設計
-
需要解析電力碳排放係數PDF檔案內容
碳排係數爬蟲模組設計
-
需要解析電力碳排放係數PDF檔案內容
-
採用pdftotext進行PDF檔案之解析
-
將前述解析出來的內容進行字串解析
-
將所需要的電力碳排放係數給解析出來
碳排係數爬蟲模組設計需要的資料庫
-
收集到的係數資料應儲存到資料庫中
-
針對不同的資料特性,有選擇資料庫類型的議題
-
為了要儲存資料,因此需要設計資料表綱要
碳排係數爬蟲模組設計需要的資料庫
-
為了要儲存資料,需要設計資料表綱要
-
分析碳排放係數資料特性
-
有分年度之碳排放係數,具有時間性
-
(IPCC AR4, AR5, AR6) 溫室氣體潛勢值
-
係數資料彼此之間沒有關聯,但是為固定值
-
碳排係數爬蟲模組設計需要的資料庫
-
選擇資料庫
-
碳排放係數看起來沒有關聯性
-
可以考慮整理成JSON格式後儲存到MongoDB中
-
-
延伸問題與討論:其他特性的資料關於選用的資料庫
-
資料在什麼情況下需要使用關聯式資料庫?
-
例如?
-
-
有資料看起來像是沒有關聯但是每隔一段時間就會新增
-
例如:感測器資料、電表資料與氣象資料等
-
-
延伸問題與討論關聯式資料庫
- 關聯式資料
- 最常見的資料庫類型
- 通常會用資料表進行資料的儲存
- 並將資料表之間做關聯
- 例如:可以利用ER 示意圖描述資料表之間的關聯

延伸問題與討論關聯式資料庫
-
關聯式資料表綱要設計步驟
-
需求分析:了解資料的需求以及相關的使用者案例情境
-
識別實體(Entity):識別出最主要的實體與相關的屬性
-
定義關聯性:定義實體與屬性之間關聯性的集合關係
-
集合,Carnality,例如:1對1、1對多、多對1與多對多
-
- 決定鍵值:識別出資料表中的主鍵(Primary Key)與外來鍵(Foreign Key)
- 正規化:透過正規化減少資料重複與確保資料完整性
- 命名慣例:透過慣例方式命名資料表與欄位名稱,增加資料表綱要資訊的可讀性
- 梳理關聯性:設計資料表用來有效率的處理稀疏資料
-
常見的關聯式資料庫介紹
-
常見的關聯式資料庫有:
-
MySQL
-
MariaDB
-
PostgreSQL
-
Microsoft SQL Server
-
......
-
延伸問題與討論資料庫
-
有資料看起來像是沒有關聯但是每隔一段時間就會新增
-
例如:感測器資料、電表資料與氣象資料等
-
-
時序資料,英文稱作Time Series Data;具有以下的特性:
-
索引與timestamp時間戳記有關
-
資料量大小會持續的增大
-
-
在一個範圍中,通常會進行
-
聚合(aggregated)、降採樣(down-sampled)、查詢(queries)
-
有密集寫入的效能需求
-
常見的時序資料庫介紹
-
常見的時序型資料庫有:
-
InfluxDB Time Series Data Platform | InfluxData
-
https://www.influxdata.com
-
-
TimeScaleDB
-
https://www.timescale.com
-
-
ClickHouse
-
https://clickhouse.com
-
-
-
延伸閱讀:My journey of the time series database
實作碳排放計算器系統
-
先安裝好Docker與Git指令
-
專案網址
實作碳排放計算器系統
$ git clone https://github.com/peter279k/hackmeichu2025
$ cd hackmeichu2025
$ docker compose up --build -d
$ docker compose ps
實作碳排放計算器系統

碳排放計算器系統專案結構目錄介紹
實作碳排放計算器系統
backend中的碳排放計算器實作介紹

實作碳排放計算器系統
backend中的碳排放計算器實作介紹

from app.modules.BaseCalculator import BaseCalculator
class CalculatorService:
def __init__(self, calculator: BaseCalculator):
self.calculator = calculator
def calculate(self, activity_value: float, factor: float):
return self.calculator.calculate(activity_value, factor)from app.modules.BaseCalculator import BaseCalculator
class ElectronicCalculator(BaseCalculator):
def calculate(self, activity_value: float, factor: float):
return round(activity_value * factor / 1000, 2)from abc import ABC, abstractmethod
class BaseCalculator(ABC):
@abstractmethod
def calculate(self, activity_value: float, factor: float):
pass測試碳排放計算器系統
-
單元測試,每一個函式或方法視為一個最小單位

測試碳排放計算器系統
-
e.g. backend/app/tests/test_carbon_factor.py

結論
-
開發產品所需要的軟體系統時,導入軟體工程的方法
-
能夠讓整體的過程有流程化,釐清目標以及需求
-
以由上到下(Top-down)的方式能夠理解整體軟體系統的樣貌
-
透過不停的迭代讓整理的軟體系統不斷的演進
-
透過單元測試去找出軟體系統上的錯誤
-
(非在黑客松階段)軟體系統考慮程式碼重構
-
若在需求不明確或式在找方向時,可以考慮MVP
-
想好再寫
參考資料
-
TCSE 2024 Keynote Speech–軟體工程的人生哲學
-
使用者故事
-
物件導向基本概念
-
If you think good architecture is expensive, try bad architecture. —Brian Foote and Joseph Yoder
參考資料
Modern Web Conference 2023
-
給開發者的進階網路爬蟲開發之旅
Q&A
Thank you!
從想法到實踐:以碳排放量計算器為例的軟體系統開發實務
By peter279k
從想法到實踐:以碳排放量計算器為例的軟體系統開發實務
2025梅竹黑客松 X 李昀陞 工作坊
- 363

