Weak values
From superoscillations to mean-field estimates

Justin Dressel
Institute for Quantum Studies, Chapman University
Superoscillations Conference, 6/15/2019
Weak Value:
A "conditioned expectation value" that appears naturally in quantum dynamics
It is conditioned in the sense that a complete expectation value can be partitioned into a convex mixture of weak values, each specific to a particular "postselection".
Weak values are not constrained by the spectra of the operator A due to quantum interference between pre- and post-selections.
Superoscillations in that interference cause anomalous values.

Measurable energy shifts caused by a perturbation are always (purely real) weak values.
This means that strange values outside the spectrum of the perturbation are measurable.
JD, PRA 91 032116 (2015)
Example: When a perturbation is added to a system, its energy spectra will shift by weak values of the perturbation.

Simple Example: Time-dependent weak value
Whenever the observable is an eigenvalue with certainty, the weak value must match.
If the evolution is not consistent with the boundary conditions, then the weak value smoothly interpolates while preserving both the certainty of the eigenvalues and the periodicity of the evolution.

Nontrivial Example: Circuit QED
At steady state, the balance of pump and decay from the resonator leaves the qubit entangled with distinct coherent states in the resonator:
Dispersive Coupling Hamiltonian:
This reduced state qubit coherence evolves as:
The coherence of the reduced qubit state is thus given by:
Photon number weak value!
- Real part : AC Stark shift
- Imaginary part : ensemble dephasing
JD, PRA 91 032116 (2015)
Consider a distance measure between two observables (mean-squared "operator error"):
Suppose you wish to estimate \(\hat{A}\), but measure a basis \(\{|f\rangle\}\) that is not its eigenbasis. What is the closest observable to \(\hat{A}\) that you can estimate? That is, what values \(\bar{a}_f\) should you assign to each observed outcome to minimize the operator error?
Only dependence on estimated values
Conclusion: the real part of the weak value is the best estimate for an observable value given the known boundary conditions
Partial explanation: Weak values as best estimates
Prepare
Transform
Measure
"Modular Value"
Multiplicative amplitude correction from transformation
nth order "Weak Value"
Amplitude
Weak values in evolution amplitudes
When g is sufficiently small, the 1st order weak value dominates the amplitude
Example: Sagnac Beam-tilt Experiment

Howell lab, Rochester
PRL 102, 173601 (2009)
Ultra-sensitive to beam deflection: ~560 femto-radians of tilt detected

Weak Value Analysis

Angular tilt (transverse momentum) amplified by large weak value.
Collimated Beam Analysis

Original profile of beam becomes modulated by postselection interference.
JD et al., PRA 88 , 023801 (2013)
Collimated Dark Port Profiles
Left: Wavefront tilt mechanism producing spatial modulation
Right: Asymmetric dark port profiles in different regimes
Dashed envelope: input beam intensity
Solid curve:
dark port intensity
Top right:
weak value regime
Middle right:
double lobe regime
Bottom right:
misaligned regime


Weak value regime


Dark port has single lobe that approximates a displaced Gaussian centered at:
Tiny beam deflections can be distinguished, but with low output intensity.
Schrodinger Equation:
Define Hamilton's Principle Function :
Momentum defined in the usual way produces weak value of momentum operator:
Schrodinger's Equation can be written exactly as a Hamilton-Jacobi Equation:
Imaginary part is a continuity equation for probability. Real part is classical HJ Equation.
Quantum Correction: "Weak Variance" of momentum away from weak value
Correction vanishes in usual limit for ray optics (wavelength small). The correct classical momentum is a weak value.
Weak values in classical correspondence

Example : Classical field trajectories
Weak values also appear as physical properties of a classical field, even when there is not an obvious "weak measurement" at the level of individual field quanta.
Local (Bohmian) momentum average
Example : Momentum weak value appears as the local momentum of an optical field. This can be measured and used to reconstruct "averaged trajectories" for how light passes through a double-slit to produce wave interference.
The average local momentum corresponds to the local optical pressure felt by small probe particles.
Kocsis et al., Science 332, 1170 (2011)


Example : Classical field Bessel beam
Both real and imaginary parts of this local momentum average also describe physical properties of classical "vortex beams" like Bessel beams.
Orbital part of Poynting Vector
Energy density
The real part of the momentum weak value appears as the circulating local momentum that can push probe particles around.
The imaginary part appears as the radial confining momentum that sculpts the optical profile into rings.
Bliokh et al., NJP (2013) 10.1088/1367-2630/15/7/073022
Weak values best describe the average of the noisy voltage signal obtained while measuring quantum state trajectories


Weak values in time-continuous monitoring
Murch et al., Nature 502, 211 (2013)
Hacohen-Gourgy et al., Nature 538, 491 (2016)
Signal filtering example: Simultaneous X + Z
Simple single pole filter
Simultaneous (here X+Z) measurements work well
(with stronger measurements)
One can track multiple observables simultaneously for a single trajectory with reasonable (~90%) fidelity, without a master equation
Filtering works, but doesn't quite follow expectation values - what does it follow?
see also Ruskov et al. PRL 105 100506 (2010): >90% state fidelity with 3 axis monitoring + filtering


Hacohen-Gourgy et al., Nature 538, 491 (2016)
Consider a single collected readout r(t), but omit one point at t=t1.
What distribution P[r(t1)] describes the likelihood of the omitted point?
Past Readout Distribution
Discretize time into bins of size dt - assume Markovian Gaussian measurements:
We recover approximate Gaussian noise, as expected:
The collected readout follows a shifted mean value
(Consequence of the measurement backaction producing non-Markovian correlations)
The mean is the expectation value of Z only on the boundary, with unknown future record (as appropriate for simulation)
In between boundaries, it is a conditioned (smoothed) estimate
Smoothed Observable Estimate
Optimally filtering/smoothing a single collected readout
will remove the Gaussian noise, and recover the
shifted observable value, not the expectation value

Weak regime
Strong regime
Smoothed (shifted) observable mean:
Depends on a weak value and a quadratric correction:
Non-Markovian dependence on both
past state and future effect matrix:
Consistent with:
Aharonov PRL 60, 1351 (1988), Wiseman PRA 65, 032111 (2002), Tsang PRL 102, 250403 (2009), Dressel PRL 104, 240401 (2010), Dressel PRA 88, 022107 (2013), Mølmer PRL 111, 160401 (2013)
( No additional ad hoc postselection)
Hypothesis Test from Readout


Verification: Look at relative log-likelihood of
generating the raw readout from adding Gaussian noise to the two estimates - equivalent to a hypothesis test
Discriminator:
(>0 implies smoothed value more likely than expectation value to generate readout)
Strong regime
Weak regime
smoothed better
Yes. The smoothed value is objectively more likely to generate the observed readout from additive noise


Is this really true? The estimate is a weak value that can exceed eigenvalue range
Corroboration by Third Party

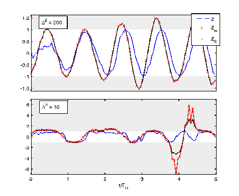
Variation: Suppose Bob is weakly monitoring a different observable (X) at the same time
If Alice is more strongly monitoring (Z) and has no access to Bob's record, does her smoothed estimate of X (not measured by her) still correspond to Bob's record?
Yes. Even without access to Bob's record, Alice can construct a smoothed estimate from her record that fits Bob's observed record better than the expectation value (computed either from Alice's subjective state or the most pure state with perfect knowledge of both records)
Test verifies that a better model of the relevant dynamics produces an objectively closer fit to the collected record
Smoothed estimate is operationally meaningful
RMS Error Test
Hypothesis Test
Blue : Alice does not know Bob's record
Pink : Alice knows both records
smoothed better
[Similar question to Guevara, Wiseman PRL 115, 180407 (2015) ]
Conclusions

The superoscillations intrinsic to weak values play many roles in the quantum formalism:
- Conditioned average of weakly measured observable
- Spectral shifts due to perturbations
- Classical mean field properties
- Classical limit for observable values
- Multiplicative corrections to amplitudes from interactions
- Minimum error estimations of observables
- Many more applications to come!
Thank you!

Weak values : From superoscillations to mean-field estimates
By Justin Dressel
Weak values : From superoscillations to mean-field estimates
Invited talk for the Superoscillation conference in Cetraro, Italy, 6/15/2019
- 2,168