Presentations
Templates
Features
Teams
Pricing
Log in
Sign up
Log in
Sign up
Menu
Métodos numéricos
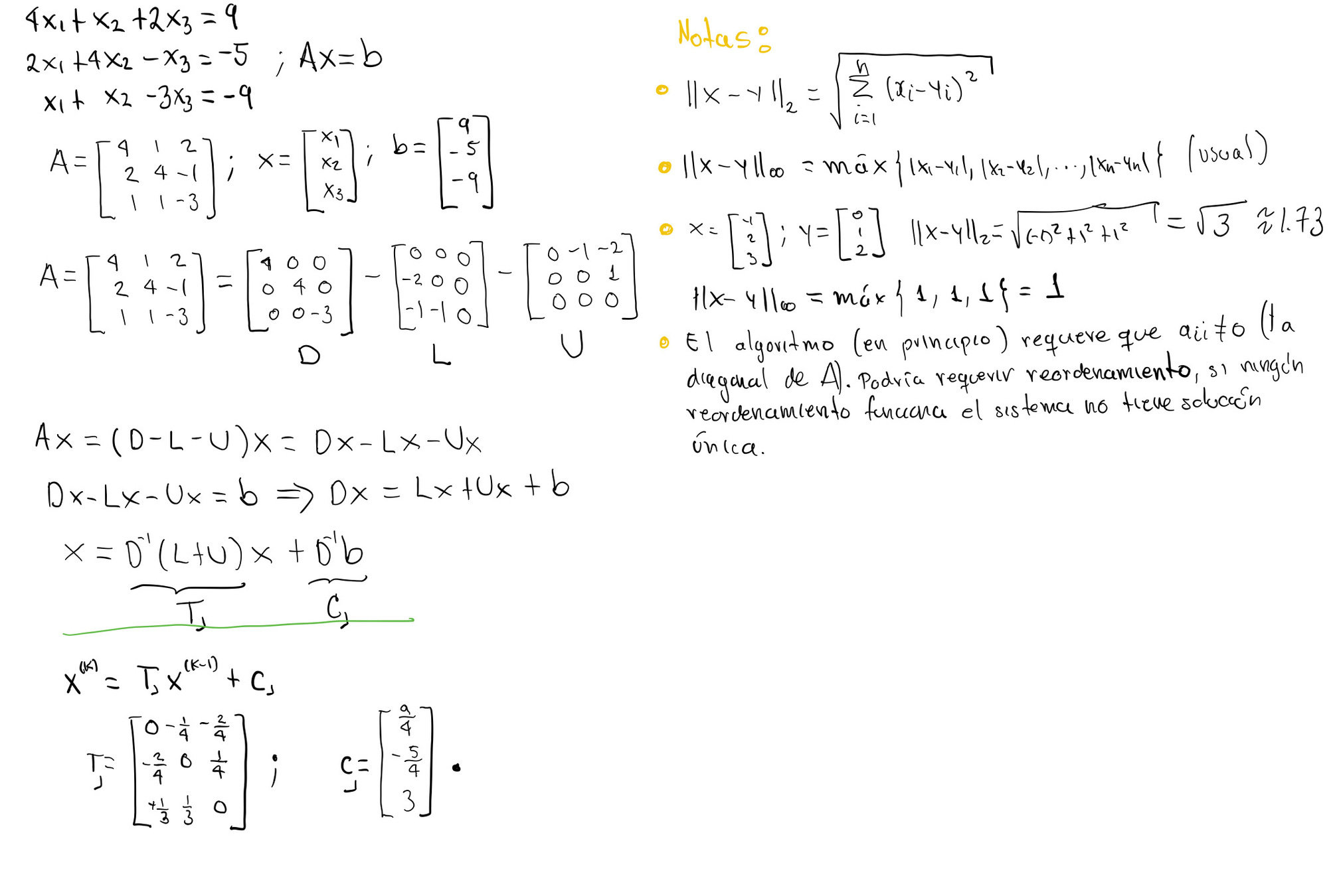
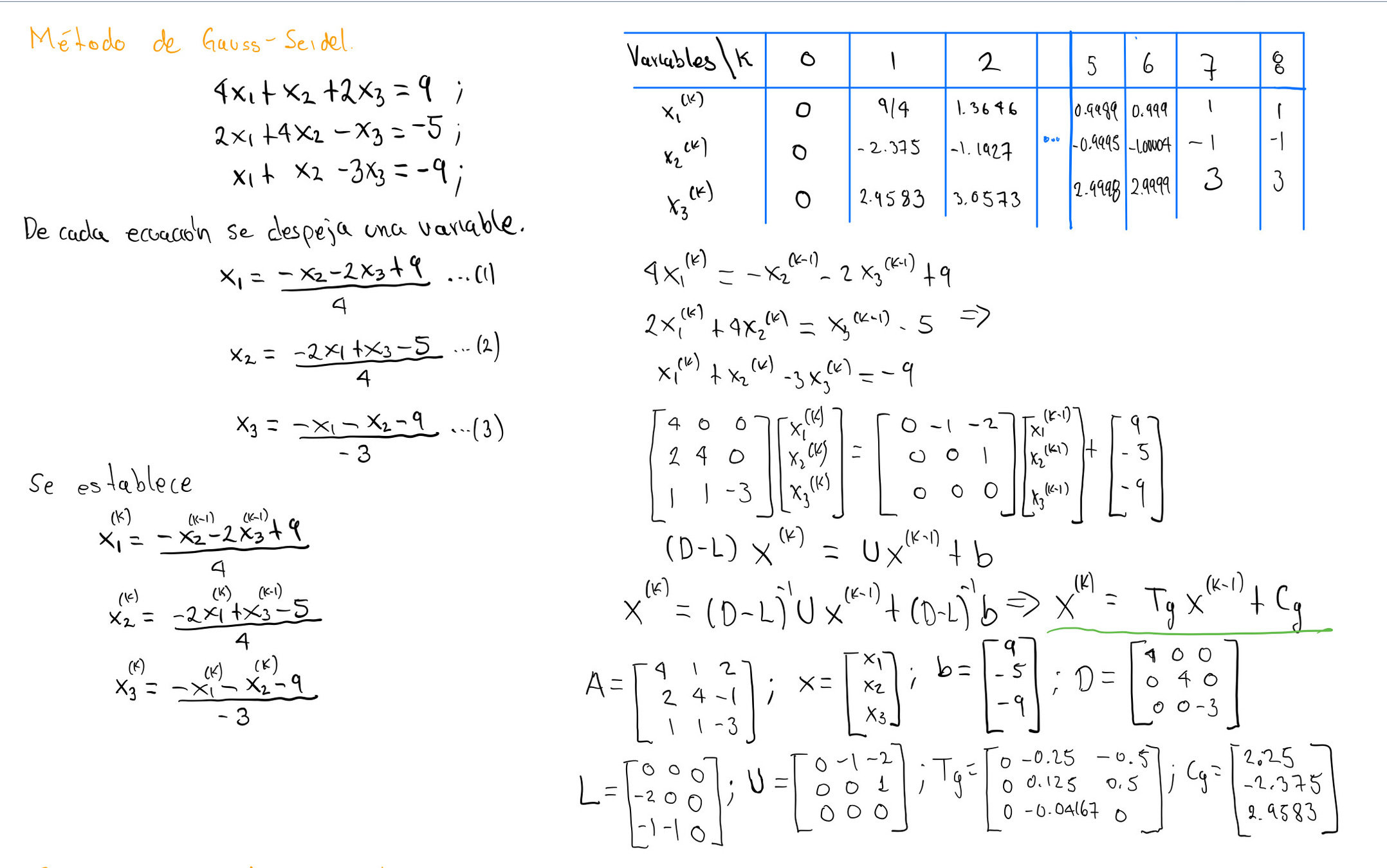
Métodos iterativos para resolver sistemas lineales
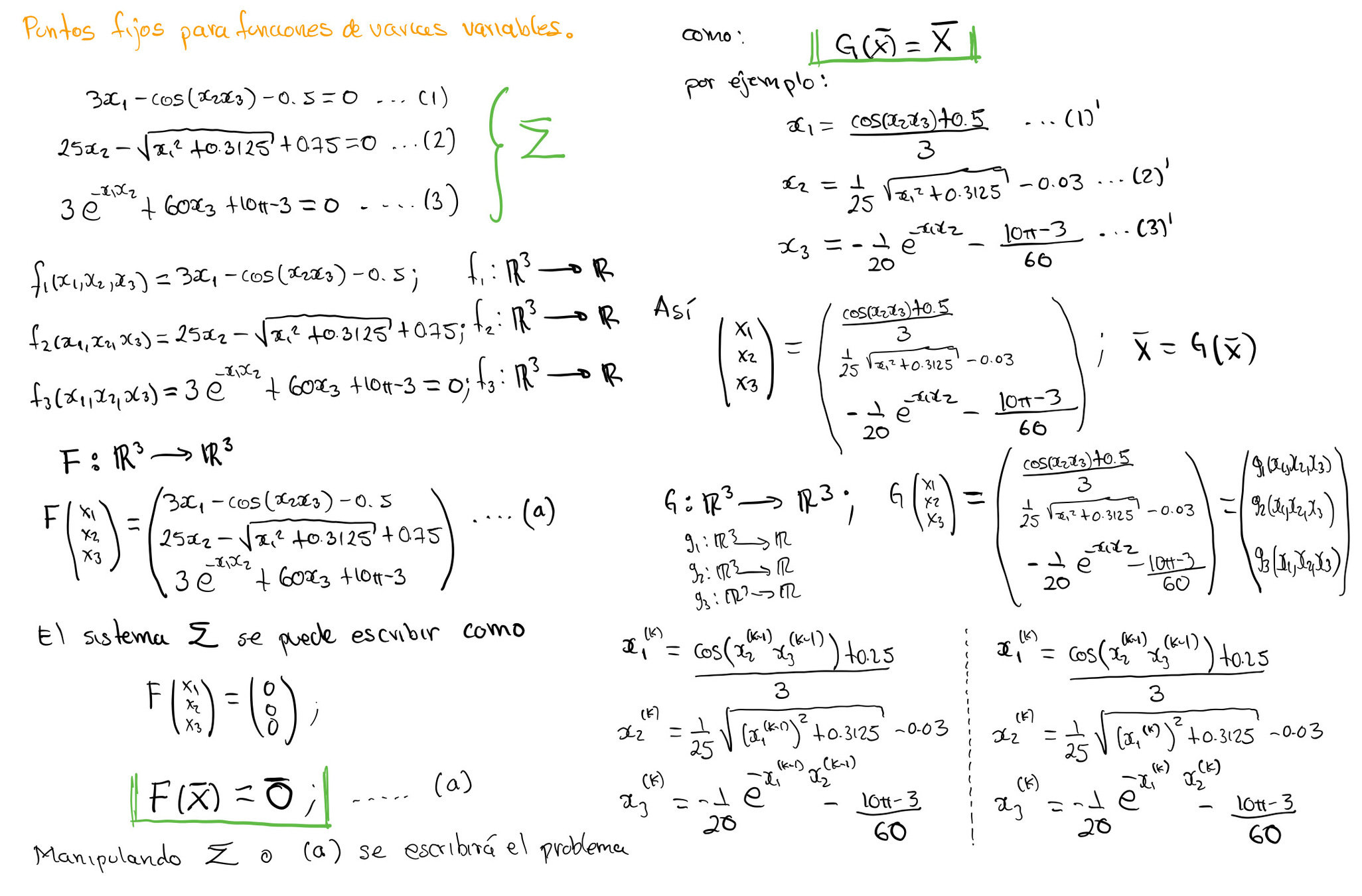
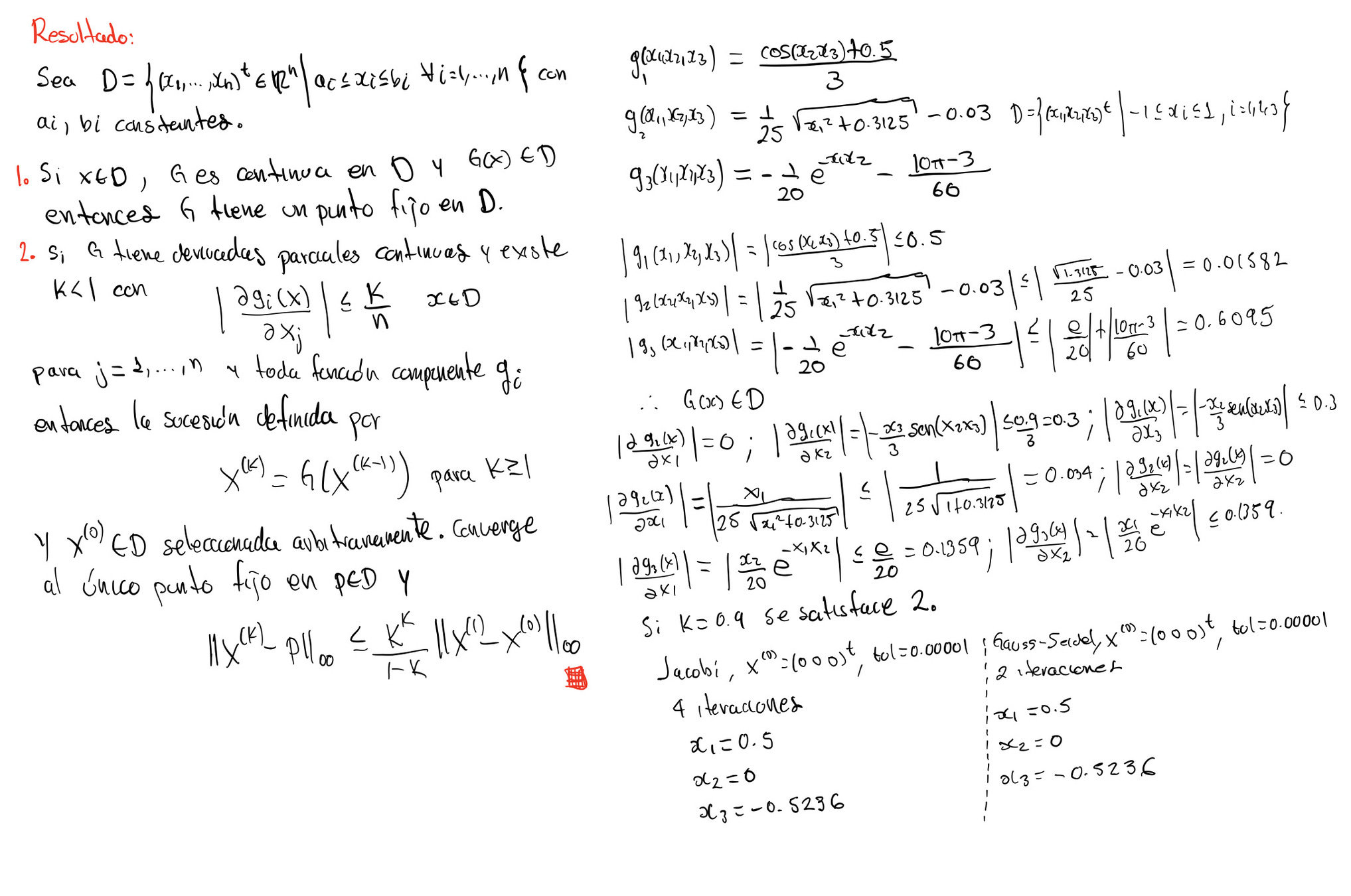
Puntos fijos para funciones de varias variables
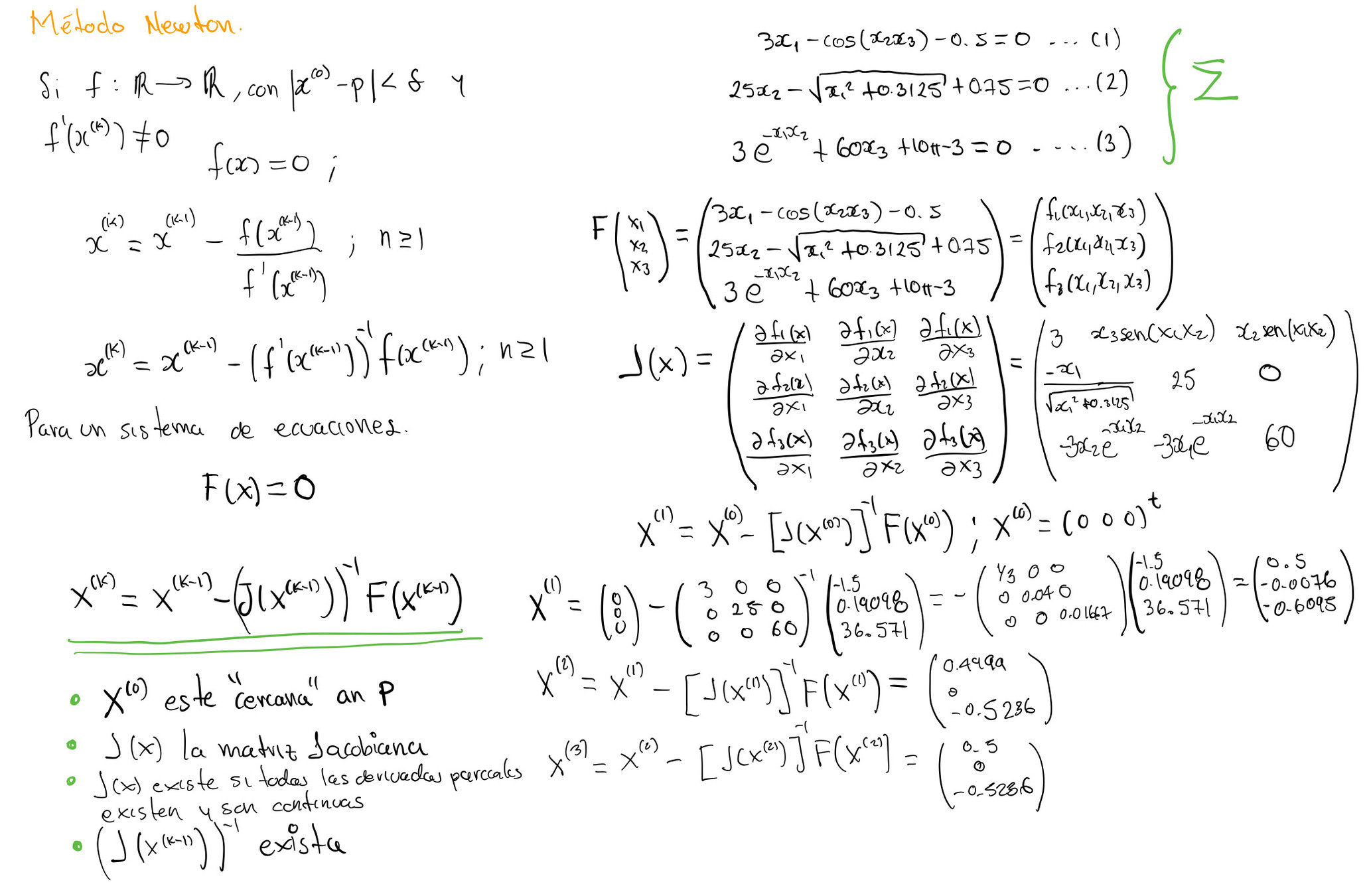
Método de Newton para funciones de varias variables
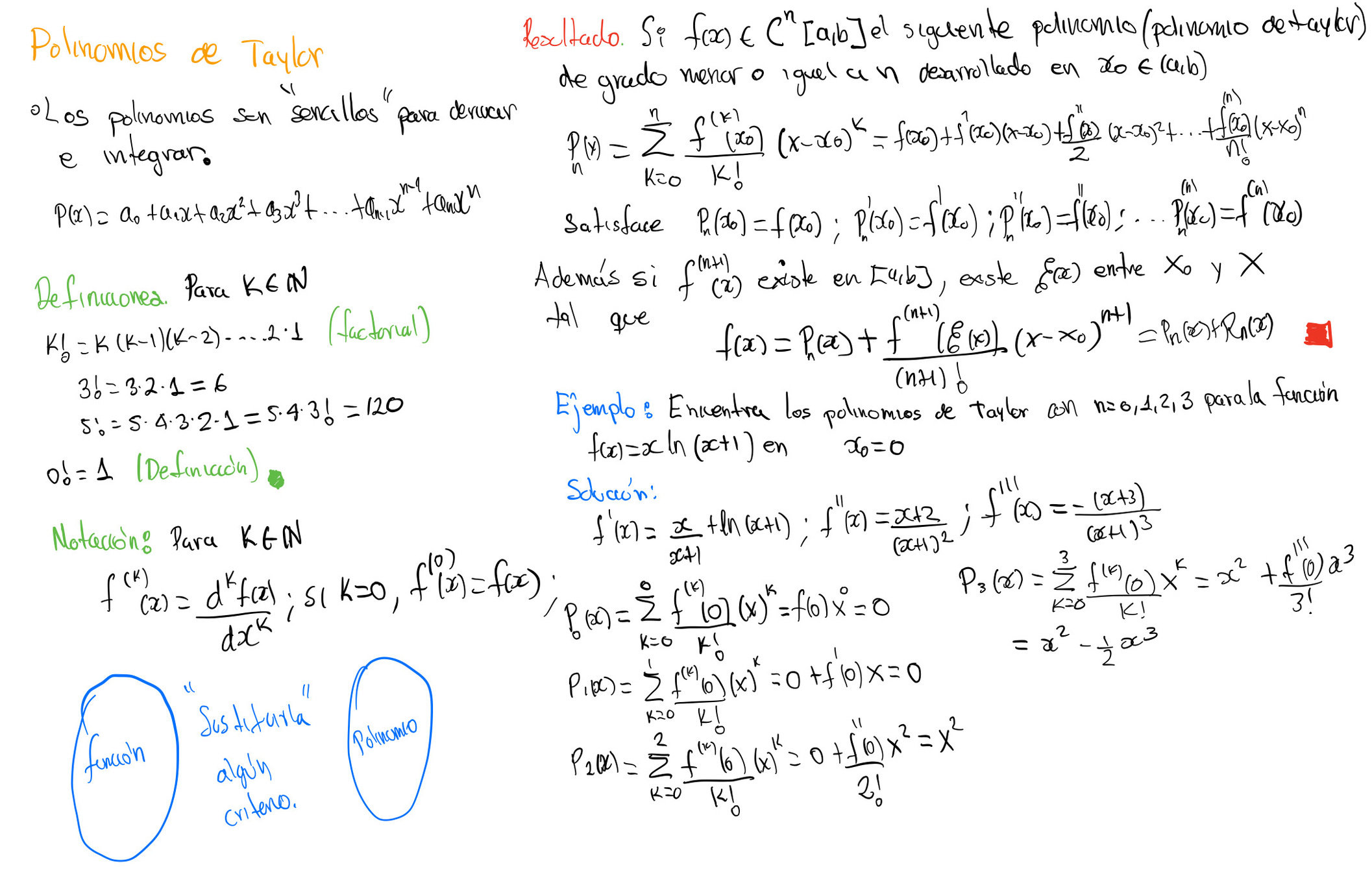
Polinomios de Taylor
Métodos numéricos
By ra_fa
Made with Slides.com
Métodos numéricos
970
ra_fa
mateyasi.org
rauael
More from
ra_fa