Presentations
Templates
Features
Teams
Pricing
Log in
Sign up
Log in
Sign up
Menu
SERIES DE FOURIER
Matemáticas Especiales
Reinaldo López
Expanda En Una Serie De Fourier La Función
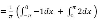
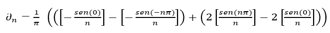
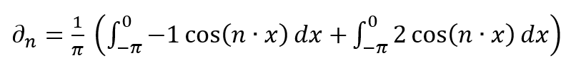
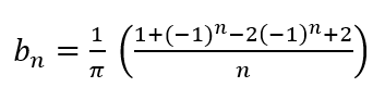
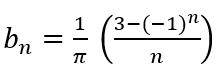
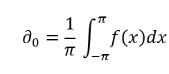
SERIES DE FOURIER
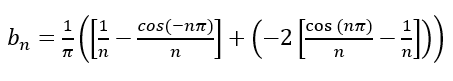
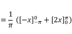
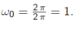
SERIES DE FOURIER
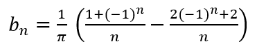
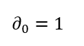
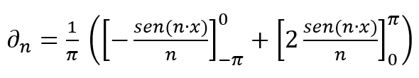
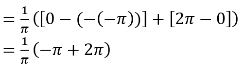
SERIES DE FOURIER
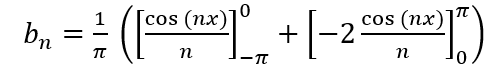
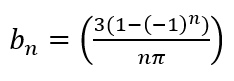
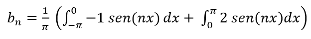
SERIES DE FOURIER
Series De Fourier
By Rey Lopez Sobrino
Made with Slides.com
Series De Fourier
551
Rey Lopez Sobrino
Reyloso
More from
Rey Lopez Sobrino