Optimization Problems on Graphs over Convex Regions

Tobia Marcucci, Jack Umenberger, Pablo Parrilo, and Russ Tedrake

Follow live at https://slides.com/russtedrake/brc2020/live

(or later at https://slides.com/russtedrake/brc2020)

Main Idea

Mathematical certification of dynamic UAVs

Background

Funnel libraries

Sequential composition

... at runtime

Collision-free planning with dynamic constraints

IRIS (Fast approximate convex segmentation)

  • Iteration between (large-scale) quadratic program and (relatively compact) semi-definite program (SDP)
  • Scales to high dimensions, millions of obstacles
  • ... enough to work on raw sensor data
  • Guaranteed collision-free along dynamic trajectories
  • Complete/globally optimal within convex decomposition

Motivation (summarized)

At the start of this project

  • Beginnings of mathematical certificates for planning aggressive maneuvers in complex environments
    • Can we scale to more complex (multivehicle?) scenarios
    • Planning with contact dynamics still too hard

 

  • Still can't certify with perception in the loop

Last review: Warm-starting Mixed-Integer MPC

  • Solve nearly identical optimization problems on every timestep.
  • B&B traditionally uses warm-start inside one solve tree.  Can we reuse previous B&B solution to warm-start the next timestep?
  • Challenges:
    • Even given the optimal solution, proving optimality is NP-hard
    • If our best guess is not integer feasible, we throw it away.
  • Approach:
    • Dual solutions provide tight lower bounds for next time-step
    • Disturbances/model-errors handled naturally.
  • Robust feasibility + fast runtime

 

Shortest Path Problems over Convex Regions

Deep dive

from Choset, Howie M., et al. Principles of robot motion: theory, algorithms, and implementation. MIT press, 2005.

Main Idea

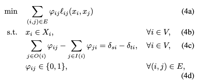
  • Let \(G := (V, E)\) be a directed graph with vertices \(V\) and edges \(E\).

 

  • For each vertex \(i \in V\), we have a compact convex set \(X_i \subset \R^d\) and a point \(x_i\) contained in it.

 

  • The length of an edge \((i,j) \in E\) is determined by the location of the points \(x_i\) and \(x_j\) via a nonnegative closed convex function \[ \ell(x_i, x_j) : \R^{2d} \rightarrow \R \cup \{\infty\}. \]

 

  • We assume each edge \((i,j) \in E\) to connect distinct vertices \(i \neq j\), but allow finite self-transitions by making copies of a region.
  • A path \(P\) from a source \(s \in V\) to a target \(t \in V - \{s\}\) is a sequence of distinct vertices \((i_k)_{k=0}^K\) such that \(i_0=s\), \(i_K=t\),  and \((i_k, i_{k+1})\in E\) for all \(k=0, \ldots, K-1\).
  • Find the shortest path \[ \min_P \min_{(x_i)_{i \in P}} \sum_{(i,j) \in P} \ell(x_i,x_j).\]

  • Interesting variants with additional constraints on \(x_i, x_j\).

Mixed-integer convex formulation

Introduce \(\varphi_{ij} \in \{0,1\}\) per edge \((i,j) \in E\).

\(\varphi_{ij} = 1\) if the edge \((i,j)\) in shortest path, otherwise \(\varphi_{ij} = 0\).

Use convex hull reformulation + perspective functions to make this convex.

 

Remarks:

  • When sets \( X_i \) are points, reduces to standard LP formulation of the shortest path (known to be tight).
  • There are instances of this problem that are NP-hard.

Mixed-integer convex formulation

Example: "Footstep planning" with \(x_{n+1}=Ax_n + Bu_n\)

MICP solution

Example: "Footstep planning" with \(x_{n+1}=Ax_n + Bu_n\)

Convex relaxation from previous approaches

Example: "Footstep planning" with \(x_{n+1}=Ax_n + Bu_n\)

Convex relaxation from our approach

Scaling

          is the convex relaxation.  (it's tight!)

Euclidean shortest path

Finding the shortest path from A to B while avoiding polygonal obstacles (“Euclidean shortest path”):

  • Solvable in polytime in 2d (with a visibility graph)
  • NP-hard from 3 dimensions on
  • For the 3d case there exists an approximation algorithm which gives you eps-optimality in poly time
  • Nothing is known for \(d \ge 4\)

 

Our approach:

  • Provides polynomial-time algorithm for \(d \ge 4\) that is often tight.
  • Solves a more general class of problems (e.g. can add dynamic constraints).
  • WIP: Certificate of optimal solutions with high probability given a suitable rounding strategy.

Should be suitable for many graph-based optimization problems

Going forward...

Example: Bipartite matching (with convex regions)

Summary

Project Goal: Mathematical certificates (potentially probabilistic) for multi-vehicle planning/control in complex environments

 

Today:

  • New strong mixed-integer convex formulation for shortest path problems over convex regions
    • reduces to shortest path as regions become points
    • NP-hard; but strong formulation \(\Rightarrow\) efficient B&B
    • Convex relaxations are often tight!  \(\Rightarrow\) Rounding strategies
  • Should generalize to many graph optimizations / applications

Optimization Problems on Graphs of Convex Regions

By russtedrake

Optimization Problems on Graphs of Convex Regions

FY20 Flight Dynamics and Control Basic Research Challenge (BRC) Annual Program Review

  • 642