Estudiando cosmología y la estructura del universo con la señal de 21cm en ondas de radio

 

Santiago Casas

 

CEA Paris-Saclay, DAp

Cosmic Microwave Background

Planck 2018 CMB Temperature map (Commander) .  wiki.cosmos.esa.int/planck-legacy-archive/index.php/CMB_maps

Large Scale Structure

Illustris Simulation: www.nature.com/articles/nature13316

Santiago Casas @ NineHubCR, 17.04.21

La evolución del Universo

Santiago Casas @ NineHubCR, 17.04.21

La evolución del Universo

  • Inflation
  • Baryo/Leptogenesis
  • Recombination
  • Neutral Hydrogen

 

Santiago Casas @ NineHubCR, 17.04.21

La evolución del Universo

  • All Hydrogen and almost all Helium were produced in the Big Bang.
  • 90% of the visible Universe is made out of Hydrogen.
  • Thanks to Big-Bang-Nucleosynthesis we also know that Universe contains only 5% of standard atoms

 

Santiago Casas @ NineHubCR, 17.04.21

Cosmic Microwave Background

We can observe fluctuations in the temperature of the radiation released at recombination  ~380.000 years ago

Santiago Casas @ NineHubCR, 17.04.21

Cosmic Pie

  • This helps us determine the composition of the Universe
  • ~70% Dark Energy
  • ~ 25% Dark Matter
  • ~ 5% visible atoms

Santiago Casas @ NineHubCR, 17.04.21

Cosmological Parameters

  • Power spectrum of fluctuations
  • \(\ell\) angular size of patches
  • Mountains and valleys of spectrum (wiggles) are very sensitive to composition of Universe

Santiago Casas @ NineHubCR, 17.04.21

The Standard \(\Lambda\)CDM model

  • Standard model of the Universe: \(\Lambda\)CDM
  • \(\Lambda\)CDM is still best fit to observations.
  • Predictive model with few free parameters.
  • Lensing
  • CMB
  • Clustering
  • Supernovae
  • Clusters
G_{\mu \nu} + \Lambda g_{\mu \nu} = 8\pi G T_{\mu \nu}

Concordance Cosmology:

Santiago Casas @ NineHubCR, 17.04.21

Einstein's General Relativity

  • \(\Lambda\)CDM is still best fit to observations.
  • Some questions remain:
  • \(\Lambda\) and CDM.
  • Cosmological Constant Problem:

O(100) orders of magnitude wrong
(Zeldovich 1967, Weinberg 1989, Martin 2012).
 Composed of naturalness and coincidence
sub-problems, among others.

Quantum Gravity?

G_{\mu \nu} + \Lambda g_{\mu \nu} = 8\pi G T_{\mu \nu}

Santiago Casas @ NineHubCR, 17.04.21

Tensions in the \(\Lambda\)CDM model

  • \(\Lambda\)CDM is still best fit to observations.
  • Some questions remain:
  • H0 tension, now ~5\(\sigma\)

Planck, Clusters and Lensing tension on clustering amplitude \(\sigma_8\)

KiDS 1000 Cosmology, arXiv:2010:16416

L.Verde, et al 2019. arXiv:1907.10625

Santiago Casas @ NineHubCR, 17.04.21

How do we study the Large Scale Structure?

  • In Large Scale Structure, every galaxy is just a point in a large field of density and velocity

Santiago Casas @ NineHubCR, 17.04.21

How do we study the Large Scale Structure?

  • In Large Scale Structure, every galaxy is just a point in a large field of density and velocity
  • With current telescopes we can look further out billions of years

Santiago Casas @ NineHubCR, 17.04.21

How do we study the Large Scale Structure?

  • In Large Scale Structure, every galaxy is just a point in a large field of density and velocity
  • With current telescopes we can look further out billions of years
  • Galaxies trace density and velocity of underlying dark matter

Santiago Casas @ NineHubCR, 17.04.21

How do we study the Large Scale Structure?

  • Statistical correlations among these points give us information about the components of the Universe

Santiago Casas @ NineHubCR, 17.04.21

How do we study the Large Scale Structure?

BAO

Clustering

RSD

Spec-z

Euclid Collaboration, IST:Forecasts, arXiv: 1910.09273

Santiago Casas @ NineHubCR, 17.04.21

The Power Spectrum

  • Until now, only a few scales of the power spectrum have been measured independently.

Santiago Casas @ NineHubCR, 17.04.21

The Power Spectrum

  • Until now, only a few scales of the power spectrum have been measured independently.
  • Future next-generation galaxy surveys, such as Euclid, will measure it with high-precision.

Santiago Casas @ NineHubCR, 17.04.21

Large Scale Structure

Santiago Casas @ NineHubCR, 17.04.21

Large Scale Structure

Predicting future constraints, based mostly on the power spectrum

Santiago Casas @ NineHubCR, 17.04.21

Complementarity of probes

Credits: Sunayana Bhargava

21cm Intensity Mapping

Santiago Casas @ NineHubCR, 17.04.21

What is the 21cm line?

  • Hyperfine transition line in neutral Hydrogen
  • Spin-flip transition: very rare (once every ten million years)
  • However, there is so much Hydrogen in the Universe, that we can observe this constantly.
  • At 1420 MHz, it falls into the radio spectrum of EM waves.
  • Therefore, we need Radioastronomy to study it!

Santiago Casas @ NineHubCR, 17.04.21

Cosmology with the 21cm line

  • CMB serves as a backlight
  • CMB photons interact with the Hydrogen clouds
  • We can predict the brightness temperature from first principles

Santiago Casas @ NineHubCR, 17.04.21

Cosmology with the 21cm line

  • CMB serves as a backlight
  • CMB photons interact with the Hydrogen clouds
  • We can predict the brightness temperature from first principles
  • Fluctuations in this brightness temperature tell us about the Universe (as we saw with the CMB)
  • Other lines are also possible to measure! Such as CO, CII, Ly-alpha.

Santiago Casas @ NineHubCR, 17.04.21

Cosmology with the 21cm line

  • Cosmology with 21cm Intensity Mapping will close a gap in our understanding of the Universe!
  • Access to redshifts never explored before!

Santiago Casas @ NineHubCR, 17.04.21

First ever measure of the 21cm line -> 2010

Chang et al, Nature 2010

Intensity Mapping line detected in cross-correlation with galaxies

Foregrounds: 125mK

21cm signal: 460 \(\mu\)K

  • Many astrophysical and instrumental challenges

Image credit: Isabella Carucci

Santiago Casas @ NineHubCR, 17.04.21

Active field of research, many experiments!

Current and future experiments covering most of the sky and redshift range

  • Experiments all over the world!
  • Unexplored redshift ranges for cosmology!

Santiago Casas @ NineHubCR, 17.04.21

SKA Observatory, the next frontier!

Santiago Casas @ NineHubCR, 17.04.21

SKA Phase 1 - expected for 2030

Image credit: Isabella Carucci

Santiago Casas @ NineHubCR, 17.04.21

SKA Phase 1 - expected for 2030

Santiago Casas @ NineHubCR, 17.04.21

SKA members at CosmoStat Paris-Saclay

Santiago Casas @ NineHubCR, 17.04.21

SKA Probes

Image credit: Isabella Carucci

  • Continuum emission:  Allows detection of position and shapes of galaxies.

  • Line emission of neutral Hydrogen (HI, 21cm):

  1. Using redshifted HI line -> spectroscopic galaxy survey

2. Intensity Mapping: Large scale correlations in HI brightness temperature -> very good redshift resolution,
good probe of structres

Santiago Casas @ NineHubCR, 17.04.21

SKA Probes

Image credit: Isabella Carucci

  • Continuum emission:  Allows detection of position and shapes of galaxies.

  • Line emission of neutral Hydrogen (HI, 21cm):

  1. Using redshifted HI line -> spectroscopic galaxy survey

2. Intensity Mapping: Large scale correlations in HI brightness temperature -> very good redshift resolution,
good probe of structres

Santiago Casas @ NineHubCR, 17.04.21

SKA Surveys

  • IM: Intensity mapping survey
    \(0.4 < z < 2.5\)
  • Very good redshift resolution:  \(\Delta z \approx \mathcal{O}(10^{-3}) \)
  • We use: 11 redshift bins
  • Single dish mode:
    \(N_d = 197\)
    \(t_{obs} = 10000 \, \rm{hr} \)
    We limit to the scales
    \(0.001 < k < 0.25 \, [h/\rm{Mpc}] \)

     

 

SKA1 Medium Deep Band 1:  \(20000 \,\rm{deg}^2\)

Santiago Casas @ NineHubCR, 17.04.21

Tensions in \(\Lambda\)CDM

  • Tensions in Hubble expansion parameter
  • Tensions in Lensing

Santiago Casas @ NineHubCR, 17.04.21

Alternatives to \(\Lambda\)CDM

Ezquiaga, Zumalacárregui, Front. Astron. Space Sci., 2018

Santiago Casas @ NineHubCR, 17.04.21

Parametrized modified gravity

\rm{d}s^2 = -(1+2\Psi) \rm{d}t^2 + a^2(1-2\Phi) \rm{d}x^2

In \(\Lambda\)CDM the two linear gravitational potentials \(\Psi\) and \(\Phi\) are equal to each other

We can describe general modifications of gravity (of the metric) at the linear level with 2 functions of scale (\(k\)) and time (\(a\))

\Sigma(a,k) = \frac{1}{2}\mu(a,k)(1+\eta(a,k))

Only two independent functions

Santiago Casas @ NineHubCR, 17.04.21

Late-time parametrization: Planck constraints

  • Using Planck satellite data in 2015 and 2018, constraints were obtained on these two functions \(\mu\) and \(\eta\).
  • Late-time parametrization: dependent on Dark Energy fraction

Planck 2015 results XIV, arXiv:1502.01590

Planck 2018 results VI, arXiv:1807.06209

Casas et al (2017), arXiv:1703.01271

Forecasts for Stage-IV surveys in:

Santiago Casas @ NineHubCR, 17.04.21

Weak Lensing

  •  Influence of matter-energy: galaxies align and get distorted
  •  Correlation function
    of cosmic shear: information about matter content
    and expansion.

Directly constrains MG function \(\Sigma\) through Weyl potential

-k^2(\Phi(a,k)+\Psi(a,k)) \equiv 8\pi G a^2 \Sigma(a,k)\rho(a)\delta(a,k)

Santiago Casas @ NineHubCR, 17.04.21

Large Scale Structure and Neutrinos

  •  Neutrinos affect structure formation
  •  Neutrinos affect dark matter halo structures
  • Neutrinos coupled to Dark Energy could cause temperature fluctuations in CMB and 21cm lines.

In Casas et al (2016) we studied predictions of these models on the cosmological observables

Santiago Casas @ NineHubCR, 17.04.21

Intensity Mapping

  • IM probes the underlying matter power spectrum.
  • There is a density bias given by the HI mass contained in dark matter halos.
  • 21cm brightness temperature depends on cosmological background evolution and the energy fraction of neutral Hydrogen in the Universe \(\Omega_{HI}\).
  • \(P_{\delta\delta,zs}(z,k) \) is the redshift space matter power spectrum

\(P^{\rm IM}(z,k) = \bar{T}_{IM}(z)^2[b_{\rm IM}(z)^2+f(z)\mu^2]^2P_{\delta\delta,zs}(z,k)  \)

\( b_{IM}(z) = 0.3(1+z) + 0.6 \)

\(\Omega_{HI}  = 4(1+z)^{0.6} \times 10^{-4} \)

\( \bar{T}_{\mathrm{IM}}(z)= 189h \frac{(1+z)^2 H_0}{H(z)}\Omega_{HI}(z) \,\,{\rm mK} \)

Jolicoeur et al (2020) arXiv:2009.06197

Carucci et al (2020) arXiv:2006.05996

Santiago Casas @ NineHubCR, 17.04.21

Intensity Mapping x GCsp

  • The cross correlation combines one term of brightness temperature with one Kaiser term for each "redshift sample".
  • Same underlying matter power spectrum for both probes.
  • A combined redshift error (damping along the line of sight), where "sp" dominates, since the IM resolution is 1-2 orders of magnitude better.

\(P^{\rm IM ] \times GC}(z,k) = \bar{T}_{IM}(z) [b_{\rm IM}(z)^2+f(z)\mu^2] \times [b_{\rm g}(z)^2+f(z)\mu^2] P_{\delta\delta,zs}(z,k)  \times \exp[-\frac{1}{2} k^2 \mu^2 (\sigma_{\rm IM}(z)^2+\sigma_{\rm sp}(z)^2)] r_{IM,opt}\)

\( b_{\rm g}(z) = \) fit to simulations for given galaxy sample

Jolicoeur et al (2020) arXiv:2009.06197

Wolz et al (2021) arXiv:2102.04946

\(\sigma_i(z) = \frac{c}{H(z)}(1+z) \delta_z\)

Santiago Casas @ NineHubCR, 17.04.21

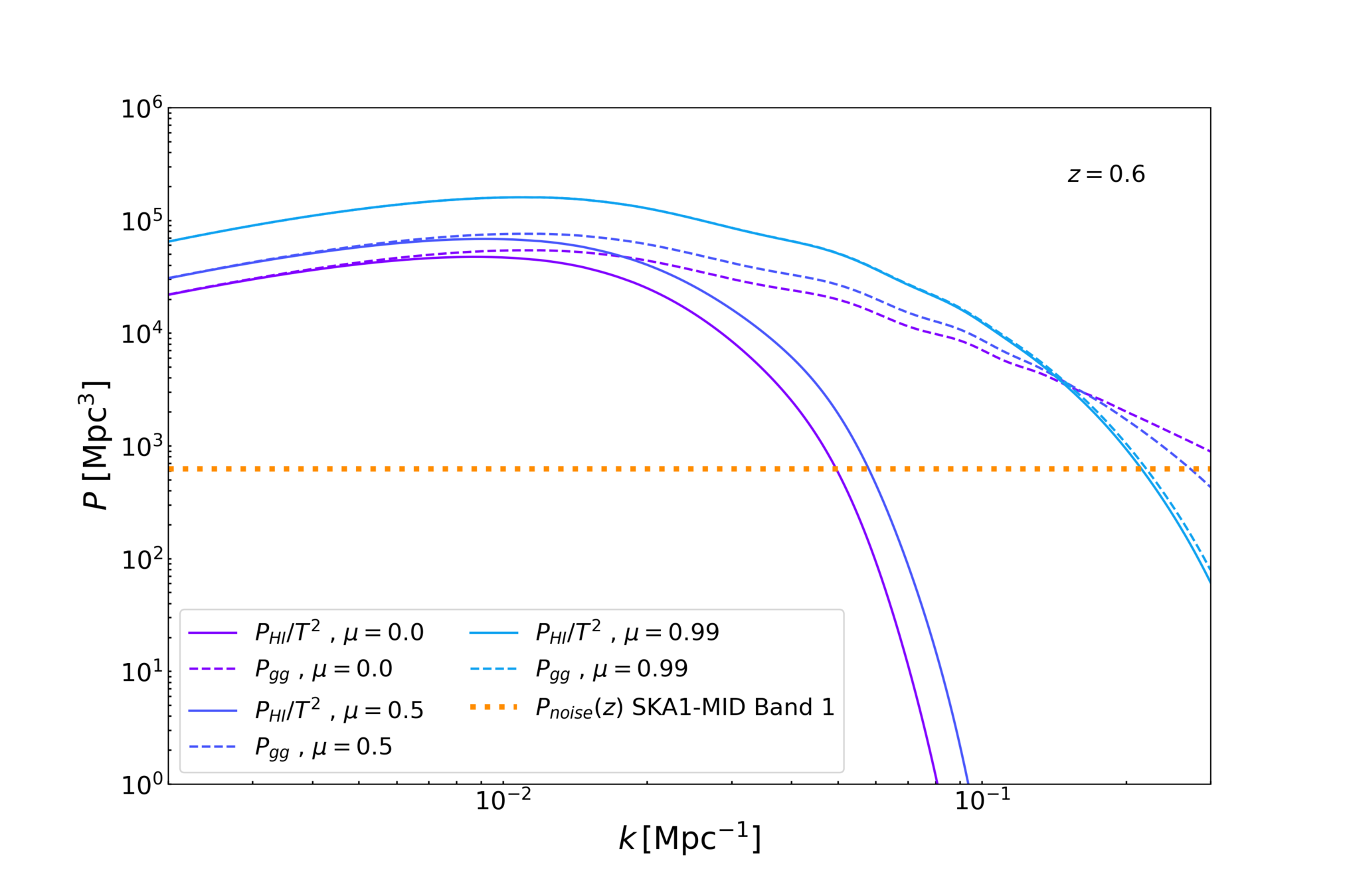
Intensity Mapping

  • \(P_{gg}\) underlying galaxy power spectrum.
  • \(P_{HI}/T_{HI}^2\) IM power spectrum.
  • \(P_{noise} \) for single dish mode in SKA1-MID Band 1 survey.
  • Angle-dependent beam effect is in the signal.

Santiago Casas @ NineHubCR, 17.04.21

Intensity Mapping Noise Terms

Number of dishes

Effective beam

\(\beta_{SD} = \exp[-\frac{k_\perp r(z)^2 \theta_b (z)^2}{8 \ln 2}] \)

\( \alpha_{SD}  = \frac{1}{N_d} \)

Jolicoeur et al (2020) arXiv:2009.06197

Santiago Casas @ NineHubCR, 17.04.21

Galaxy Clustering - IM Synergies

  • SKA1 and Euclid probe complementary redshifts in spectroscopic GC.
  • IM and GC cross-correlation offers gain in information and reduction of systematics

Santiago Casas @ NineHubCR, 17.04.21

SKA1  Fisher Matrix Forecasts

Euclid GCsp
+
SKA1 GCsp (HI galaxies)

 

  • Improved constraints on \(\mu\) since it covers a larger redshift range at small \(z\) where \(\mu\) becomes important.

PRELIMINARY

Santiago Casas @ NineHubCR, 17.04.21

SKA1  Results

SKA1:

GCsp (HI galaxies)+IM (HI 21cm)

vs.

GC+WL+XC (Continuum)

  • The combination of WL and angular galaxy correlations, (3x2pt) is very good at constraining \(\Sigma\) as expected, but not so good in \(h\), which is constrained by the Pk probes.

PRELIMINARY

Santiago Casas @ NineHubCR, 17.04.21

SKA1  Results

SKA1:

GCsp (HI galaxies) +

GC+WL+XC (Continuum)
+ IM (HI 21cm)

 

  • HI galaxies at small z, IM at higher z and angular resolution of continuum galaxies provide good complementary constraints.

     

PRELIMINARY

Santiago Casas @ NineHubCR, 17.04.21

SKA1  Forecasts

SKA1:

GCsp (HI galaxies) , GC+WL+XC (Continuum), + IM (HI 21cm)

Combined constraints on \(\mu\)-\(\Sigma\) ~ 3%

PRELIMINARY

Santiago Casas @ NineHubCR, 17.04.21

SKA1  Results

SKA1:

GC+WL+XC (Continuum) +
IM (HI 21cm) + GCsp(HI)
and Planck'15

  • Planck provides information on \(\Omega_{b}, \, \Omega_{m}\) but also on the MG parameter \(\Sigma\).
  • In the \(\mu\)-\(\Sigma\) plane it complements very well with the IM constraints

PRELIMINARY

Santiago Casas @ NineHubCR, 17.04.21

SKA1  Results

SKA1:

GC+WL+XC (Continuum) +
IM (HI 21cm) + GCsp(HI)
+ Planck'15

  • Planck provides information on \(\Omega_{b}, \, \Omega_{m}\) but also on the MG parameter \(\Sigma\).
  • In the \(\mu\)-\(\Sigma\) plane it complements very well with the IM constraints.
  • Combined constraints on \(\Sigma\) ~ 1.5%

PRELIMINARY

Santiago Casas @ NineHubCR, 17.04.21

Bonus: w0waCDM

PRELIMINARY

SKA1:

GC+WL+XC (Continuum) +
IM (HI 21cm) + GCsp(HI)

 

  • Some updated constraints on LCDM and w0waCDM, since all combinations cannot be found on the redbook.
  • Preliminary numbers:
  • \(\sigma(w_0)\approx 0.05,\sigma(w_a) \approx 0.1 \)

 

 

Santiago Casas @ NineHubCR, 17.04.21

Text

Conclusiones

  • La cosmología se ha vuelto una ciencia de precisión gracias a la radiación cósmica de microondas (CMB) y a los escaneos de redshifts de galaxias.
  • Gracias a estas pruebas sabemos los componentes del Universo con precisión de 1%.
  • No obstante, aún tenemos rangos en el tiempo y en escalas que no han sido explorados, que podrán ser explorados con la línea de 21cm de hídrogeno.
  • Mucho que aprender sobre reionización, las épocas oscuras y las formaciones de estructura.
  • Actuales y futuras observaciones con la línea de 21cm serán pruebas fundamentales de la gravedad y cosmología y resolverán las tensiones en los datos.
  • El observatorio SKA y el satélite Euclid son muy complementarios en esta tarea. Aún mucho por descubrir!

PRELIMINARY

SKA1 Surveys

HI galaxies spectroscopic survey

  1. GCsp: HI galaxy spec. redshift survey: \(0.0 < z < 0.5\)
    probes 3D matter power spectrum in Fourier space.

SKA1 Redbook 2018, arXiv:1811.02743

SKA1 Medium Deep Band 2:  \(5000 \, \rm{deg}^2\)

SKA1 Surveys

  1. GCsp: HI galaxy spec. redshift survey: \(0.0 < z < 0.5\)
    probes 3D matter power spectrum in Fourier space
  2. GCco + WL + XCco (Continuum): \(0.0 < z < 3.0 \)
    probes angular clustering of galaxies, Weak Lensing (Weyl potential) and galaxy-galaxy-lensing.
    Angular number density:
    \( n \approx 3.2 \rm{arcmin}^{-2}\)

     

SKA1 Redbook 2018, arXiv:1811.02743

SKA1 Medium Deep Band 2:  \(5000 \, \rm{deg}^2\)

Continuum galaxy survey

SKA1 Surveys

  1. GCsp: HI galaxy spec. redshift survey: \(0.0 < z < 0.5\)
    probes 3D matter power spectrum in Fourier space
  2. GCco + WL + XCco (Continuum): \(0.0 < z < 3.0 \)
    probes angular clustering of galaxies, Weak Lensing (Weyl potential) and galaxy-galaxy-lensing.
    Angular number density:
    \( n \approx 3.2 \rm{arcmin}^{-2}\)

     

*kindly provided by Stefano Camera

SKA1 Medium Deep Band 2:  \(5000 \, \rm{deg}^2\)

Continuum galaxy survey

Backup slide

Backup slide

Backup slide

Backup slide

Backup slide

Backup slide

Radio-Cosmo for NineHub

By Santiago Casas

Radio-Cosmo for NineHub

Constraining modified gravity with SKA1 probes and its synergies with optical surveys

  • 267