
\(K\)-matrix formalism in light-meson spectroscopy
Sebastián Ordóñez
Email: jsordonezs@unal.edu.co
Supervisor: Diego A. Milanés
Email: damilanesc@unal.edu.co
Phenomenology of High Energy Physics Group
Departamento de Física
Universidad Nacional de Colombia
The decay \(D^{0}\longrightarrow K^{0}_{s}\pi^{+}\pi^{-}\)

Outline
- Introduction
- Review of Multibody Charm Analysis
- Analysis
- Dalitz Plot Analysis and \(K\)-matrix formalism (The issue)
- Isobar Model vs \(K\)-matrix approach
- Results and Conclusions
- Implementation of \(K\)-matrix formalism in \(D\)-decays
- Conclusions

Multibody Charm Analysis
-
Why are \(D\) meson decays interesting? Let us see:
- \(D\) meson is a unique laboratory to study light quark spectroscopy. Three-body decay of these mesons exhibit rich interference between intermediate states, i.e. resonances.
- They allow us to research low-mass scalar mesons given their large coupling to such states.
- They offer rich phenomenology, including unique sensitive to \(CP\) violation and charm mixing (New Physics).
- An important example, with rich resonant structure, is \(D^{0}\longrightarrow K_{s}\pi^{+}\pi^{-}\). (Belle Collab. and BaBar Collab.)


Dalitz Plot Analysis
-
What are Dalitz Plots? In few words, DP is a two-dimensional representation of a three-body decay, \(X\longrightarrow ABC\).
- The two axis of the plot are
- Why are DP useful in hadron spectroscopy? Phase space density is a constant across the kinematically allowed region.
Any structure seen in the Dalitz Plot is a direct consequence encoded in \(|\mathcal{M}|^{2}\), the underlying dynamics!

Dalitz Plot Analysis

Let us suppose for a moment that we have an homogeneous event distribution.
Phase Space \(D^{0}\longrightarrow K^{0}_{s}\pi^{+}\pi^{-}\)

Dalitz Plot Analysis
Phase Space \(D^{0}\longrightarrow K^{0}_{s}\pi^{+}\pi^{-}\)


Dalitz Plot Analysis

The Belle Collaboration, Measurement of \(D^{0}−\bar{D}^{0}\) mixing in \(D^{0}\longrightarrow K_{s}^{0}\pi^{+}\pi^{-}\). Physical Review Letters, 99(13):211,2007.

Dalitz Plot Analysis
The Belle Collaboration, Measurement of \(D^{0}−\bar{D}^{0}\) mixing in \(D^{0}\longrightarrow K_{s}^{0}\pi^{+}\pi^{-}\). Physical Review Letters, 99(13):211,2007.


Isobar Model
- In this context, a model for \(\mathcal{M}\) is needed. In particular a model for \(D^{0}\) is needed, i.e. ( \(K\pi\)) \(\pi\), \(K\)(\(\pi\pi\)). The isobar approach proposes
- In this model, the matrix element \(\mathcal{M}\) is modeled as a sum of interfering decay amplitudes
In most analyses, each resonant is described by a Breit-Wigner (BW) lineshape


Isobar Model
- When more than one resonance contributes to the decay, we sum over the amplitude of all the intermediate resonances, i.e
- A question arises... In the era of precision measurements, how to deal with the underlying strong dynamics effects?
- The \(\pi\pi\), \(K\pi\) S-wave are characterized by broad, overlapping states.
- Unitarity is not explicitly guaranteed by a simple sum of BW functions.
Isobar Model
- Let us see the case of two resonances in the same partial wave that couples to the same channel. First, non-overlapping resonances


The issue
Now, the case of overlapping resonances


Spoiler: \(K\)-matrix approach works well in this case too and BW leads to violation of unitarity.

The \(K\)-matrix
-
What is \(K\)-matrix? It follows from the unitary \(S\)-matrix
We can express any unitary operator in terms of an hermitian operator
In terms of the \(T\)-matrix
E.P. Wigner, Phys. Rev 70(15), 1946
S.U. Chung et al. Ann. Physik 4(404), 1995

The advantages of \(K\)-matrix approach
- It heavily simplifies the formalization of any scattering problem since the unitarity of \(S\) is automatically respected.
- For a single-pole problem a \(K\)-matrix reduces to the standard BW formula.
- The \(K\)-matrix approach can be extended to production processes.
Thanks to I.J.R. Aitchison (Nucl. Phys. A189 514,1972)

The advantages of \(K\)-matrix approach
- \(K\)-matrix allows for the inclusion of all the knowledge coming from scattering experiments.

Describes coupling of resonances to \(D\)
Comes from scattering data

The advantages of \(K\)-matrix approach
- This \(P\)-vector must have the same poles as those of the \(K\)-matrix, its parameterization is given by

We take the channels j as \(\pi\pi,KK,\eta\eta, \eta'\eta', 4\pi\)

V.V Anisovich and A.V.Sarantsev Eur.Phys.J.A16 (2003) 229
"\(K\)-matrix analysis of the \(00^{++}\)-wave in the mass region below \(1900\) MeV"
\(\pi\pi\) S-wave scattering parameterization

\(\pi\pi\) S-wave scattering parameterization




\(\pi\pi\) S-wave scattering parameterization
What about unitarity in this case?
- It provided the \(K\)-matrix input to our \(D\)-meson analysis
\(D^{0}\longrightarrow K^{0}_{s}\pi^{+}\pi^{-}\) using \(K\)-matrix description
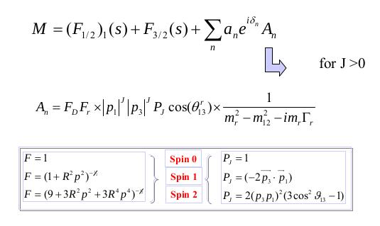
- By using \(K\)-matrix approach for the total decay amplitude, we guarantee unitarity and also we perform a more accurate description of dynamics. The \(D^{0}\) decay amplitude is given by
- In summary:
- For \(\pi\pi\) \(S\)-wave we use \(K\)-matrix and the production vector.
- For \(K\pi\) \(S\)-wave we employ the LASS-like parameterization.
- For \(P\)-wave are given by BW resonances.

D. Milanés, Measurement of \(D^{0}-\bar{D}^{0}\) mixing in the BABAR experiment. PhD thesis,
Universidad de Valencia, Departmento de Física Teórica, 2010.
\(D^{0}\longrightarrow K^{0}_{s}\pi^{+}\pi^{-}\) using \(K\)-matrix description

Conclusions
- Dalitz plot analysis is teaching us much about hadronic
decays. It will definitely keep us company over the next
few years. - \(K\)-matrix formalism guarantee unitarity and also we perform a more accurate description of dynamics. This is not ensured by other approaches as Isobar
Model. - These datasets constitute a huge opportunity, but also a challenge to improve the theoretical descriptions of soft hadronic effects in multibody decays.

Thank you!
Questions?
Socialización: K-matrix formalism
By Sebastian Ordoñez
Socialización: K-matrix formalism
- 575