The Epidemiology of Representations paradigm for the enquiry of cognition-with-culture:
how online experiments surface problematic assumptions
Sébastien Lerique / 7 June 2016
Ikerbasque, Department of Logic and Philosophy of Science, University of the Basque Country
Integrating Cognition and Social
Durkheim, 1915
Mauss, 1936
Giddens, 1984
Bourdieu, 1980
Kroeber, 1943
Dawkins, 1976
Boyd & Richerson, 1988
Ingold, 1999
Epidemiology of Representations
Sperber, 1996
1. Epidemiology of Representations
2. Citations in the blogosphere
3. Short sentences in a web experiment
4. Assumptions bumped into
5. Relevance to other approaches
1. Epidemiology of Representations
2. Citations in the blogosphere
3. Short sentences in a web experiment
4. Assumptions bumped into
5. Relevance to other approaches
Sperber (1996), Explaining Culture
Dawkins
meme = atom of culture
science → philosophical framework
Sperber
✓ culture is defined by such atoms
transformation ≫ replication


or, "Sperber on Dawkins"
Modern synthesis
Cognitive representations
Culture theory
Fodor,
Tooby, Cosmides
Cultural attractors
1. Epidemiology of Representations
2. Citations in the blogosphere
3. Short sentences in a web experiment
4. Assumptions bumped into
5. Relevance to other approaches
Citations in the blogosphere

This crisis did not develop overnight and it will not be solved overnight
Nov 13, 2008 — telegraph.co.uk
Nov 15, 2008 — bbc.co.uk
MemeTracker dataset (now Nifty)
This problem did not develop overnight and it will not be solved overnight
frequency
age of acquisition
#phonemes
#synonyms
polysemy
Leskovec et al., 2009
Simmons et al., 2011
orthographical neighbourhood density

Inferring source-destination links


Substitution model




Time: continuous / discrete
Source: all / majority
Past: all / last bin
Destination: all / exclude past
Time: continuous / discrete
Source: all / majority
Past: all / last bin
Destination: all / exclude past

Results
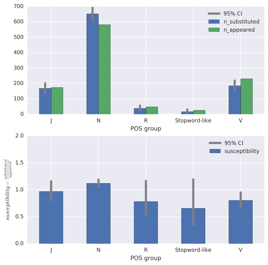
POS
Results
Feature values

Susceptibility to substitution in the sentence
Variation upon substitution


Recap






?

?
Semantics?
Word measures
1. Epidemiology of Representations
2. Citations in the blogosphere
3. Short sentences in a web experiment
4. Assumptions bumped into
5. Relevance to other approaches


1
2


Claidière, Kirby, Fagot (2014): Cultural evolution of systematically structured behaviour in a non-human primate
Moussaïd, Brighton, Gaissmaier (2015): The amplification of risk in experimental diffusion chains
Gistr
Launch


- 57 subjects
- ages 18-61
- 22 women, 35 men
- 50 trees filled
- 22,4% spam
- 3,5% badly positioned
⇒ 2745 sentences
⇒ 2034 good sentences
Generated trees
Analysis tools
Immediately after I become president I will confront this economic challenge head-on by taking all necessary steps
immediately after I become a president I will confront this economic challenge
Immediately after I become president, I will tackle this economic challenge head-on by taking all the necessary steps
This crisis did not develop overnight and it will not be solved overnight
the crisis did not developed overnight, and it will be not solved overnight
original
This, crisis, did, not, develop, overnight, and, it, will, not, be, solved, overnight
this, crisis, did, not, develop, overnight, and, it, will, not, be, solved, overnight
this, crisis, did, not, develop, overnight, and, it, will, not, be, solved, overnight
crisi, develop, overnight, solv, overnight
tokenize
lowercase & length > 2
stopwords
stem
The crisis didn't happen today won't be solved by midnight.
crisi, happen, today, solv, midnight
d = 0,6
Distance between sentences
Analysis tools
1 – Trajectories



Multidimensional scaling
Cumulated transformation ~ depth
Multidimensional scaling ~ depth
Analysis tools
2 – Variability




Variability at the leaves, per tree
Variability at the leaves ~ root length
Variability ~ depth (per tree)
Variability ~ depth (all trees)
Analysis tools
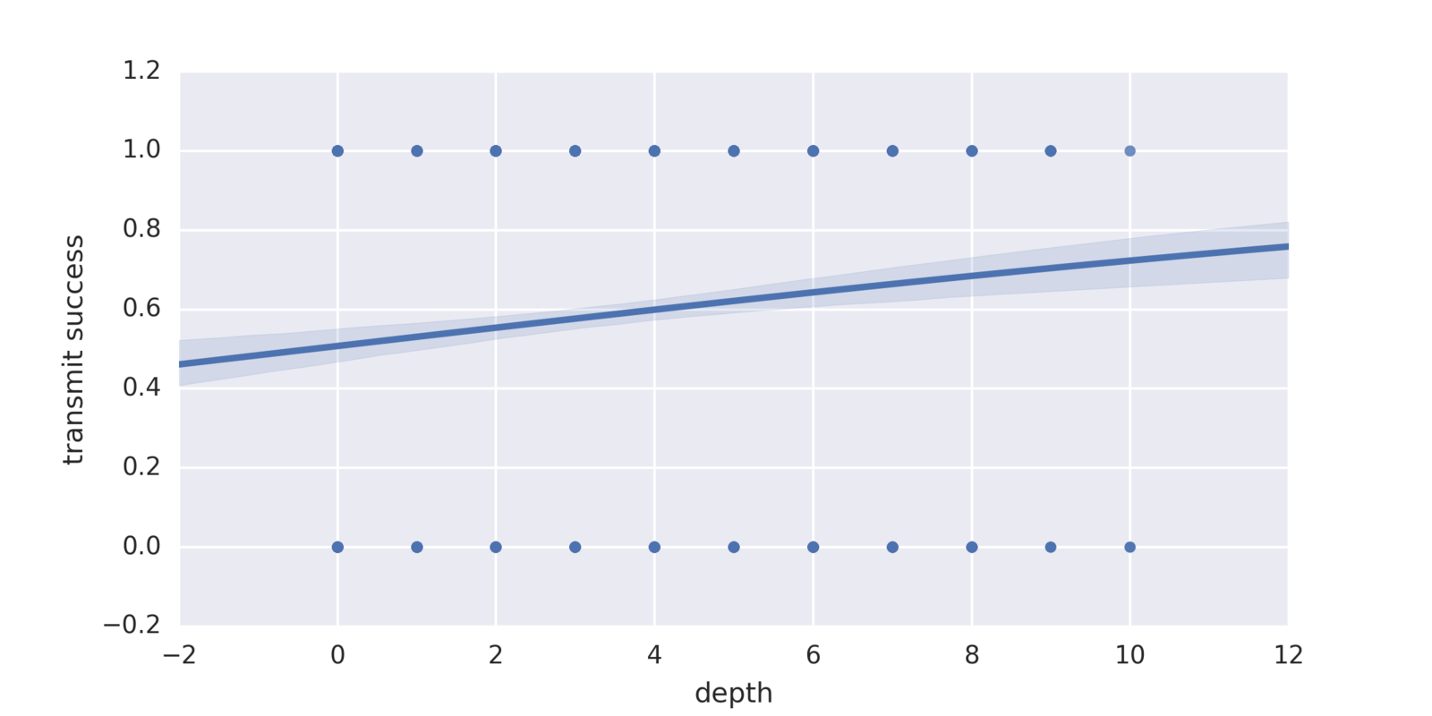
3 – Transmissibility



Transmissibility ~ depth (all trees)
Transmissibility ~ depth (per tree)
Transmissibility ~ depth (per length)
Caveats
- 22,4% spam
- Reading time decided by the subjects
- Distance has some problems
Will you investigate the gravest crimes of the Bush administration, including torture and warrantless wiretapping?
Will you investigate the gravest crimes of the bush administration
Don't forget to leave the door open when you leave the office
d = 1
d = 1
Will you research the worst problems of the Bush mandate, like its surveillance?
d = 1
1. Epidemiology of Representations
2. Citations in the blogosphere
3. Short sentences in a web experiment
4. Assumptions bumped into
5. Relevance to other approaches
Ingold (2001), From the transmission of representations to the education of attention
neo-darwinian synthesis
representational cognitive sciences
culture theory

⇝
⇝
⇝
specification | realisation
⇜
⇜
⇜
FR
EN
ES
⇝
⇝
⇝
⇝
⇝
⇝
⇝
⇝
⇝
⇝
developmental biology, evo-devo
4Es
"savoir pratique"
biology
psychology
social
or, "Ingold on Sperber"
The problem of interpretation
Still from Ingold, 2001


Read



1
2
3
4
5
6
7
8
Sperber, 1996
Ingold, 2001

mais être moche c'est quand même la base ahah
(twitter.com/raaannnia/status/585130263606390785)

Obama, 4/11/2008
Because of what we did on this day, in this election, at this defining moment, change has come to America




Different tools surface different problems
or, "Can we interpret on the Web?"
1. Epidemiology of Representations
2. Citations in the blogosphere
3. Short sentences in a web experiment
4. Assumptions bumped into
5. Relevance to other approaches
Minimal interaction setups, through the browser

Auvray, Lenay, Stewart, 2009
De Jaegher, Di Paolo, Gallagher, 2010

Complex lab-like designs
High-level programming (JavaScript)
Scale with many interactions
Cuffari, Di Paolo, De Jaegher, 2014
Web / Smartphone experiments
Technical challenges
Spam control
Recruitment
Participatory sense-making → languaging
in a community of minimally-interacting users
Thanks
questions & discussion
making possible
direction
You!
Ezequiel Di Paolo & Álvaro Moreno
Camille Roth & Jean-Pierre Nadal
The Epidemiology of Representations paradigm for the enquiry of cognition-with-culture: how online experiments surface problematic assumptions
By Sébastien Lerique
The Epidemiology of Representations paradigm for the enquiry of cognition-with-culture: how online experiments surface problematic assumptions
Presentation to Ezequiel Di Paolo and Álvaro Moreno's team at Ikerbasque on 7 June 2016.
- 1,248