Toisen asteen polynomifunktio

Piirrä Geogebrassa toisen asteen polynomifunktion kuvaaja \(f(x)=ax^2+bx+c\) ja kokeile liukusäätimistä, miten vakiot \(a\), \(b\) ja \(c\) vaikuttavat kuvaajaan

Ylöspäin aukeava paraabeli
\(a>0\)

Alaspäin aukeava paraabeli
\(a<0\)

Kaksi nollakohtaa

Yksi nollakohta

Ei yhtään nollakohtaa

Toisen asteen funktion suurin (kun \(a<0\)) tai pienin (kun \(a>0\)) arvo saavutetaan paraabelin huippukohdassa

Jos funktiolla on kaksi nollakohtaa, huippukohta saadaan nollakohtien keskiarvona

Myöhemmin kurssilla opitaan löytämään huippukohta myös muissa tapauksissa

-3

5

\(x=1\)

\(\dfrac{-3+5}{2}=1\)

Huippupiste:
\((1,f(1))\)

Symmetria-akseli

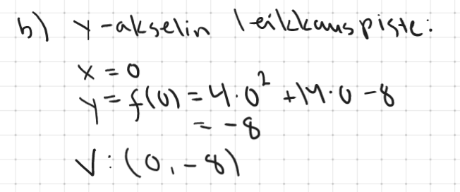
Olkoon \(f(x)=4x^2+14x-8\).

Määritä funktion \(f\) kuvaajan
a) aukeamissuunta
b) koordinaattiakselien leikkauspisteet
c) symmetria-akseli ja huippupiste. Onko huippupisteen

y-koordinaatti funktion \(f\) suurin vai pienin arvo?

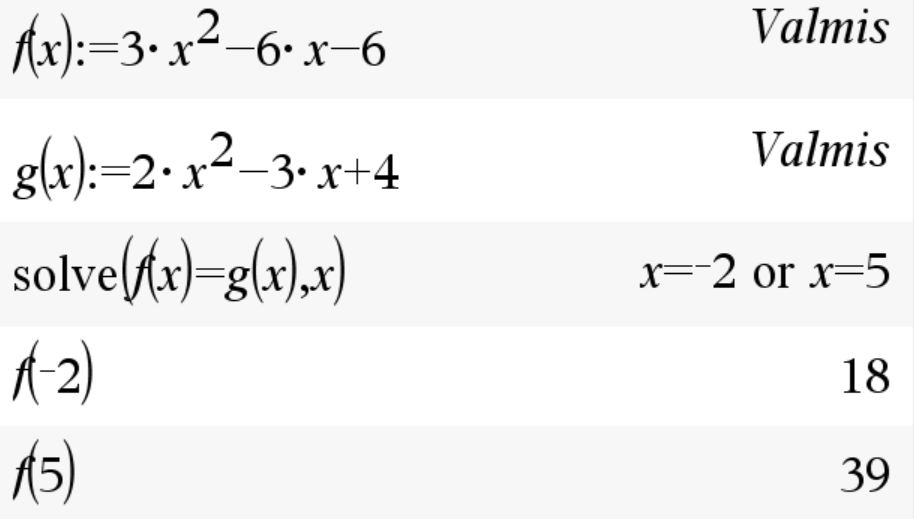
Määritä funktioiden \(f(x)=3x^2-6x-6\) ja \(g(x)=2x^2-3x+4\) leikkaupisteet.

V: (-2,18) ja (5,39)

02 Toisen asteen polynomifunktio

By Timo Pelkola

02 Toisen asteen polynomifunktio

  • 28