Корни. Степени
10-11 класс
vkrysanov320@gmail.com
version 2.1, 07-11-2024 not fixedАрифметический корень степени n
Неотрицательный корень степени из неотрицательного числа
называют арифметическим корнем степени из числа .
Знак радикала
Подкоренное выражение
Степень
- Если — отрицательное число, а — четное число, то запись не имеет смысла;
При возведении в четную степень не породнится отрицательное значение (но только для действительных чисел)
- Если — положительное число, а — нечетное число, то справедливо следующее равенство:


График арифметического корня степени n
— четно

- возрастает на всей ОДЗ
- непрерывна на всей ОДЗ;
- общего вида;

— нечетно
- возрастает на всей ОДЗ
- непрерывна на всей ОДЗ;
- нечетная;
Свойства арифметических корней
- Для натурального числа и неотрицательных чисел , и
справедливы равенства:
- Для любых двух действительных чисел и неотрицательных чисел и
натурального числа верно утверждение:
Если , то .
- Для любого действительного числа и натуральних чисел
выполнены неравенства:
Если и , то
Если и , то
Очень важное свойство
- Для любого действительного числа и натурального числа выполнены рав-ва:
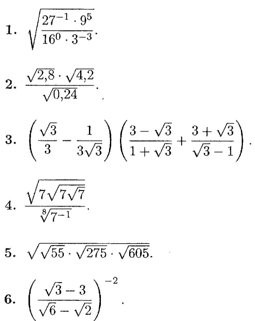
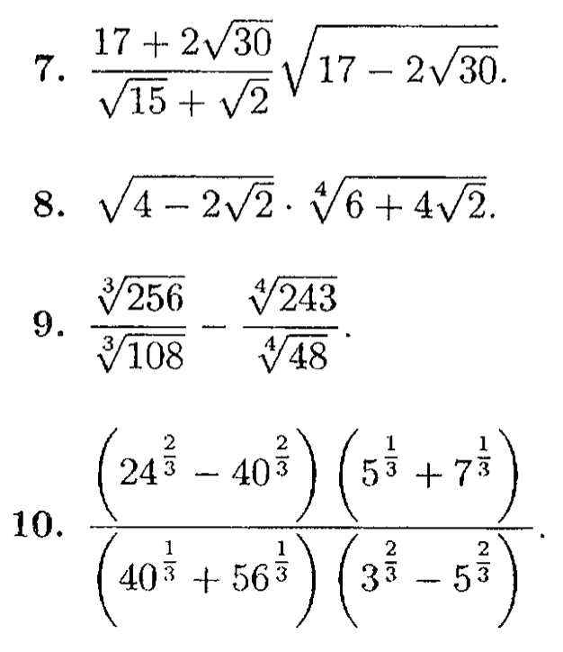
Задачи
1. Вычислить:
2. Вычислить:
3. Вычислить:
а)
б)
в)
г)
а)
б)
в)
г)
д)
е)
ж)
з)
и)
а)
б)
в)
г)
Задачи (2)
4. Найти область определения следующих функций:
а)
б)
е)
в)
г)
д)
ж)
з)
и)
Задачи (3)
5. Найти точку максимума функции .
6. Найти точку минимума функции .
7. Найти наибольшее значение функции .
8. Найти наименьшее значение функции .
9. Избавиться от иррациональности в знаменателе:
а)
б)
в)
г)
д)
е)
ж)
з)
и)
к)
10. Упростить и вычислить значение выр-я: .
Ещё парочка свойств ...
- Для натуральных чисел и неотрицательного числа
справедливы равенства:
- Пусть — положительное число, — целое число и — натуральное
число. Тогда справедливо равенство:
FIX IT!
Задачи
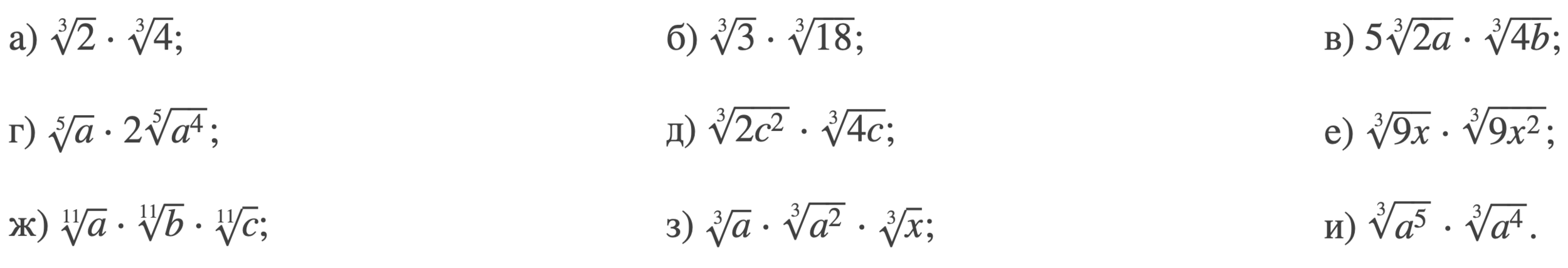
1. Упростить:
2. Упростить:


3. Упростить:

4. Упростить:

FIX IT!
Иррациональные уравнения. Равносильные переходы
I.
II.
III.
IV.
* далее приведены примеры каждого равносильного перехода
Пример I
Решить уравнение:
Решение:
Ответ:


Пример II
Решить уравнение:
Решение:
Ответ:

Пример III
Решить уравнение:
Решение:
Ответ:

Пример IV
Решить уравнение:
Решение:

Ответ:

FIX IT!
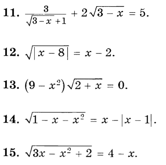
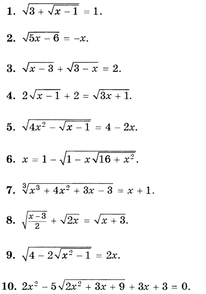
Задачи



Иррациональные неравенства. Равносильные переходы
I(a).
I(b).
II.
IV.
III(a).
III(b).
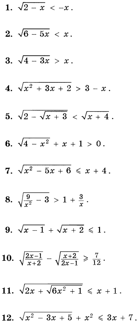
Задачи



Степень с рациональным показателем
Пусть — положительное число, а — рациональное число ( ). По определению число в степени есть арифметический корень степени из в степени :
Если — положительное число, — целое, — натуральные числа (больше или равные двум), тогда справедливы равенства:
Свойства степени с рациональным показателем
Теорема 1: Положительное число в степени с любым рациональным показателем положительно:
Теорема 3: Пусть — положительные числа, a — рациональное число. Тогда справедливы свойства:
Теорема 2: Пусть — положительное число, a , и — рациональные числа. Тогда справедливы свойства:
Задачи
1. Вычислить




А2. Корни. Степени
By vkrysanov320
А2. Корни. Степени
- 627
 
   
   
  