Проектування технологічних процесів

Проектування ВПВ-1
Проєктування технологічних процесів
Тема 2
Лекція 5
Оцінка, оптимізація
та особливості проєктування
технологічних процесів
1. Оцінка ефективності проєктних рішень
2. Оптимізація технологічних процесів
3. Особливості проєктування залежено від типу продукції
1. Оцінка ефективності проєктних рішень
Порівняння технологічних процесів
є доволі ефективним інструментом для обгрунтування та вибору більш раціонального рішення для того чи іншого процесу
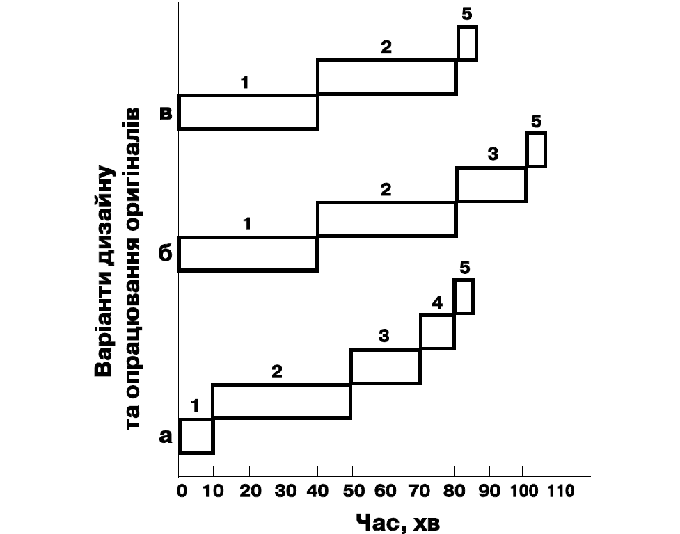
Циклограми
Циклограмами технологічних процесів

1 варіант
Циклограмами технологічних процесів
2 варіант

Для кращого підтвердження раціональності вибору варіантів технологічного процесу наводяться розрахунки рівня автоматизації, рівня
комп’ютеризації, коефіцієнту технологічності системи, коефіцієнта використання формату друкарської машини тощо .
Рівень автоматизації
відношення числа автоматизованих операцій до числа всіх операцій технологічного циклу.
Рівень комп’ютеризації
відношення числа комп’ютеризованих операцій до числа всіх операцій технологічного циклу.
Коефіцієнт технологічності системи
визначається на підставі аналізу й порівняння трудомісткості виконання операцій, циклограм технологічних процесів, кількості обладнання.


Наприклад, ефективність застосування друкарських машин з прямим приводом
Порівняння за формулою:

Пелюсткові діаграми
Приклад порівняння технологічних процесів плоского офсетного та флексографічного друку газет за променевою діаграмою

Гістограми
Підсумкова діаграма витрат часу

Багатоальтернативний вибір
Багатоальтернативний вибір технологічного процесу епредбачає такі етапи:
- розроблення альтернативних варіантів;
- розроблення або вибір з існуючих факторів оцінки;
- підготовка опитувального тесту;
- експертна оцінка запропонованих варіантів;
- статистична обробка результатів.
Eкспертам пропуються, наприклад, чотири варіанти технології (умовно позначені як A; B; C; D)
Можлив іваріанти факторів оцінки:
- використання попереднього технологічного процесу;
- доступність матеріалів;
- наявність патенту чи ліцензії;
- пристосованість технології до місцевих умов;
- безпека і екологія;
- капітальні витрати тощо.
Далі кожний фактор оцінюється за десятибальною
чи іншою шкалою.
Потім розраховується узагальнений критерій Кузаг. за формулою:

Приклад, експертний вибору найкращого варіанту технологічного процесу

Найкращим вважається технологічний процес, що має найбільше значення узагальненого (зваженого) критерію. У наведеному прикладі технічні альтернативи А і С майже однакові, а віддати перевагу можна технологічному процесові D, котрий має найвищий узагальнений критерій.
Абстрактне моделювання функціональної системи
При проєктуванні виробничих процесів ВПК доцільно використовувати метод абстрактного моделювання функціональної системи «чорна скринька».
У методі «чорної скриньки» визначаються:
- вхідні та вихідні параметри;
- фактори впливу зовнішнього середовища;
- нормовані умови роботи.
Вхідними та вихідні параметрами можуть бути будь-які важливі параметри, зазвичай про проєктуванні ВПК використовують такі:
- інформація, що вводитьcя (І) та виводиться (І1) системою, метод та вигляд її подання;
- енергія, яка необхідна для здійснення процесу (Е) та втрачена (Е1);
- матеріали до переробки (М) та після (М1) здійснення технологічного процесу.

Факторами впливу зовнішнього середовища слугують зовнішні фактори, що мають суттєвий вплив на систему (тех. процес), що проєктується, наприклад, для процесу друку це може бути: температура, вологість, чистота повітря в зоні контакту, вібрація тощо.

Під нормативними умовами роботи системи слід розуміти різноманітні стандарти та інші нормативні документи, наприклад, ДСТУ, ГСТУ, галузеві чи виробничі нормативні документи.
Відтак, при проєктуванні процесу друку плоского офсетного друку із зволоженням це може бути ISO 12647-2:2004 "Процеси офсетного плоского друкування" тощо.

А сама система комплектується у цьому випадку з чотирьох головних блоків:
- технології;
- устаткування;
- матеріали;
- режими.
У кожному блоці системи «чорна скринька» обов’язкові варіанти технологічних процесів (1), устаткування (2), матеріалів (3), режимів (4), які одержують власні коди. Наприклад:
Технологія — Т1.1, Т1.2, Т1.3 ...;
Устаткування — У2.1, У2.2, У2.3 ...;
Матеріали — М3.1, М3.2, М3.3 ...;
Режими — Р4.1, Р4.2, Р4.3 ... і т.д.

Це необхідно для індексації остаточно обраних із технологічної системи для даного конкретного виробу у відповідній послідовності
та вигляді: процесу, устаткування, матеріалів і режимів.

Наприклад, якщо вказано, що обрано варіант реалізації технологічного процесу за схемою:
Т1.2 — У2.3 — М3.1 — Р4.4,
це означає, що запроєктовано із можливих варіантів для цього конкретного об’єкта (видання, паковання) саме ці необхідні, найбільш раціональні: технологія, устаткування, матеріали, режими.
Далі у результаті аналізу варіантів окремих технологічних процесів та операцій (методів друку, складання тексту, виготовлення друкарських форм, фальцювання, скріплення блоку тощо) визначається обраний варіант загальної технологічної схеми виготовлення видання чи продукту, який остаточно формується у блок-схему комплексного технологічного процесу.
2. Оптимізація технологічних процесів
Оптимізація
процес надання будь-чому більш вигідних характеристик, співвідношень (наприклад, оптимізація технологічних чи виробничих процесів тощо).
Задача оптимізації вважається сформульована,
якщо задані:
- критерій оптимальності;
- параметри, що варіюються;
- математична модель процесу;
- обмеження.
Критерій оптимальності - це основний показник якості роботи системи.
Це кількісна міра за допомогою якої визначають ступінь близькості стану системи до оптимального стану. Критерій оптимальності має бути єдиним і вимірюваним.
Він може бути економічний — собівартість; технологічні вимоги — термін виготовлення продукту тощо).
Параметри, що варіюються - це параметри зміна яких дозволяє впливати на ефективність процесу, що оптимізується.
Наприклад, швидкість, температура, тиск, величини вхідних потоків у процесах тощо.
Математична модель процесу - система математичних співвідношень, які описують досліджуваний процес або явище.
Для створення математичних моделей можна застосовувати широкий спектр математичних засобів — диференціальні або інтегральні рівняння, теорію множин, абстрактну алгебру, математичну логіку, теорію ймовірностей, графи та ін.
Обмеження - це певні особливості, які слід враховувати у процесі оптимізації. Наприклад вони можуть бути пов'язані з економічними та конструктивними умовами, можливостями обладнання, іншими вимогами тощо.
Методи оптимізації:
- методи оптимізації технологічних процесів;
- графічні та аналітичні представлення результатів.
Методи оптимізації
Першим кроком при оптимізації є встановлення параметру оптимізації відповідно до технологічного процесу
Параметр оптимізації
це ознака, по якій оптимізують процес. Він повинен бути кількісним, задаватися числом, його необхідно вимірювати при будь-якій можливій комбінації обраних рівнів факторів.
Безліч значень, які може приймати параметр оптимізації називають областю його визначення.
Наприклад, при виводі ДФ:
- густина в світах і тінях;
- відносна площа растрових елементів;
- інтервал або розподіл градацій;
при опрацюванні тексту:
- некоректне розпізнавання знаків;
при верстанні:
- кількість коректних переносів;
- щільність рядків (наявність коридорів) тощо.
Методи оптимізації технологічних процесів:
- Гауса-Зейделя;
- крутого сходження;
- симплекс-метод.
Метод Гауса-Зейделя використовується для ітераційного вирішення системи лінійних рівнянь.
Зазвичай він реалізується так:
- маємо систему рівнянь або задачу оптимізації.
- починаємо з припущення (приблизного рішення).
- далі по черзі оновлюємо кожну змінну, використовуючи вже оновлені значення для наступних розрахунків.
- повторюємо цей процес багато разів, поки рішення не стабілізується (тобто зміни стають дуже маленькими).
Приклад оптимізації технологічних процесів:
Припустимо, що нам треба налаштувати кілька параметрів виробництва, щоб мінімізувати витрати.
Ми змінюємо перший параметр так, щоб зменшити витрати, потім другий — з урахуванням вже зміненого першого, і так далі.
Коли все пройшли — починаємо знову з першого, але тепер з новими значеннями.
Так продовжуємо, доки зміни в параметрах і витратах стають майже нульовими.
Головна ідея:
не намагаємося знайти ідеальне рішення одразу,
а крок за кроком його вдосконалюємо.
Детальний приклад наведено у публікації:
Оптимізація тоно- і кольоропередачі чорно-білої ілюстрації, проведеної в роботах О. О. Гайдучені під керівництвом професора Розума О. Ф.
Детальніше — збірник наукових праць: Технологія і техніка друкарства. — Київ: ВПІ НТУУ “КПІ”. —
—2003. — № 2. — С. 8-20

Градаційна передача фотоформ:
сканування оригіналів за різними режимами
Градаційна передача фотоформ:
різні режими кольороподілу

Тонопередача в системі
“оригінал—відбиток”

Колірні відмінності ΔΕ

Колірні відмінності ΔΕ

Метод крутого сходження - метод оптимізації активного експерименту шляхом крутого сходження поверхнею відгуку (параметрів оптимізації) до оптимуму.
Простіше)
Уявіть, що ви стоїте на схилі гори і хочете якнайшвидше спуститися вниз.
Найлогічніше — йти в напрямку, де нахил найкрутіший.
У математиці цей "найкрутіший" напрямок визначається за допомогою градієнта — це вектор, який показує, куди функція росте найшвидше.
А щоб зменшити значення функції, ми йдемо проти градієнта.
Отже, суть методу полягає в наступному:
рух у напрямі градієнта за наявності лінійного рівняння моделі здійснюється із центра експерименту послідовними кроками, які пропорційні добутку коефіцієнта регресії кожного фактора на значення його інтервалу зміни.
Кроки методу крутого сходження:
1. Розпочинаємо з обраної початкової точки.
2. Обчислюємо градієнт функції в цій точці.
3. Робимо крок у протилежний бік градієнта (бо ми хочемо спускатися).
4. Повторюємо ці кроки багато разів, поки не дійдемо до мінімуму.
Приклад оптимізації методом крутого сходження:
Наприклад, ми хочемо мінімізувати витрати на друк накладу книги. І в нашому випадку (спрощено) витрати залежать від:
- кількості фарби (x1),
- продуктивності друку (x2),
- кваліфікації працівників (x3),
- кількості паперу певної якості (x4),
- енергоносії (х5),
- оренда вироб. площ (х6) тощо.
Тоді
Функція витрат виглядає приблизно так 𝐹 (х1, х2, х3, х4, хn)
Стартова точка
Починаємо з певних стандартних налаштувань тех. процесу: норм витрати фарби, швидкості машини, кваліфікації працівників, норм та характеристик паперу,
витрат енергоносіїв, тощо.
Обчислюємо градієнт
Аналізуємо у який бік кожен параметр збільшує витрати найсильніше: що впливає більше фарба, папір, продуктивність тощо?
Рухаємося проти градієнта
Змінюємо параметри трохи так, щоб витрати зменшувалися: наприклад, зменшуємо кількість фарби на 2%, збільшуємо швидкість на 5%, переходимо на трохи дешевший тип паперу тощо.
Оновлюємо налаштування і знову прораховуємо
Знову дивимося, у який бік йти далі, і робимо ще один крок.
Зупинка
Коли витрати перестають суттєво зменшуватися — знайдено майже оптимальні параметри.
Симплекс-метод - це спосіб знаходити найкраще (оптимальне) рішення для задач, де треба максимізувати або мінімізувати деяку цільову функцію при певних обмеженнях.
Це одна з основних технік лінійного програмування.
Основна ідея полягає у представленні, що всі
допустимі рішення задачі утворюють певний багатокутник (область, обмежена прямими), де найкраще рішення завжди буде десь на вершині цього багатокутника.
Тому рухаємось від вершини до вершини, кожен раз вибираючи ту, де значення цільової функції краще (вище або нижче — залежить від задачі).
Сам рух триває, поки не знайдемо вершину, де вже не можна покращити результат.
Процес симплекс-методу зазвичай такий:
1. Починаємо з якоїсь простої "базової" вершини (припустиме рішення).
2. Шукаємо сусідні вершини і обираємо ту, яка найбільше покращує цільову функцію.
3. Переходимо в цю нову вершину.
4. Повторюємо кроки 2–3, поки більше немає кращих сусідів.
5. Отримуємо оптимальне рішення.
Приклад із ВПВ
Наприклад, ми можемо виготовляти як плакати так і книги, однак маємо певні обмеження: папір, фарба, час тощо.
Тому наша задача буде полягати у визначенні яка кількість цієї продукції принесе нам найбільше прибутку за наявних умов.
Приклад із ВПВ
Тоді:
Кожен варіант кількості книг і плакатів — це точка в просторі.
Всі обмеження утворюють полігон можливих варіантів.
Симплекс-метод буде шукати вершину цього полігону,
яка дає найбільший прибуток.
Головна ідея симплекс-методу:
шукати оптимум не всюди, а тільки на межах можливостей — і рухатись від кращого рішення до ще кращого.
Приклад оптимізації див. статтю Степанець (Хохлової) Р. А. у збірнику Технологія і техніка друкарства. — Київ: ВПІ НТУУ “КПІ”. — 2003. — № 2. — С. 59-65.

Верстання багатомовних видань див. детально статтю Неліної Г. Є. у збірнику
Технологія і техніка друкарства. — Київ: ВПІ НТУУ “КПІ”. —2005. — № 3-4. — С. 14-27


МД Дарико В. Г. "Студія розробки мобільних додатків з дослідженням процесу проєктування UX/UI дизайну"
Метод спостережень (управління технологічними процесами)

Контрольні карти - відхилення параметру
Аналіз проб

Метод прогнозування
Під методом прогнозування розуміють сукупність способів і принципів мислення, які на основі респективних даних дозволяють вивести судження відносно майбутнього стану і розвитку об’єкта прогнозування.
Метод прогнозування розвитку технології шляхом оцінки інженерно-технічної значимості винаходів:
- оцінка одиночного патенту на новизну;
- виділення конкуруючих груп патентних рішень і визначення перспективності кожної;
- оцінка рівня патентів у певних видах техніки.
Метод визначення рівня науково-технічних розробок і тенденцій їх розвитку:
- вивченні кількості винаходів з урахуванням їх якісних характеристик.
Кількість патентів (заявок), поданих і отриманих фірмами (країнами) впродовж року з певного напряму технології

Фактографічна матриця для аналізу патентної інформації

Динаміка патентування по роках технології CtF (1) і CtP (2)

Територіально-кількісна залежність винаходів за напрямками вдосконалення систем зволоження у цілому (1) та покриття зволожувальних валиків (2) для плоского офсетного друку

Завдання на СРС:
1. Принципи і методи оптимізації тех. процесів.
2.Методи системного аналізу.
Література
1.Величко О. М. Видавничо-поліграфічна справа. Практикум з проектування і розрахунку технологічних і виробничих процесів. — К.: ВПЦ „Київський університет”, 2009.
2.Палмер М., Синклер Р. Б. Проектирование и внедрение компьютерных сетей: Учеб. кур. Изд-е 2-е / Майкл Палмэр, Роберт Брюс Синклер; Пер. с англ. — СПб.: БХВ-Петербург, 2004.
3.Грундиг К.-Г. Проектирование промышленных предприятий. Принципы, методы, практика / Клаус-Герольд Грундиг; Пер. с нем. — М.: Альпина Бизнес Букс, 2007.
4. Предко Л. С. Проектування та розрахунок додрукарських процесів: Навч. посіб. — Львів: УАД, 2009
5.Величко О. М. Проектування технологічних процесів поліграфічного виробництва / О. М. Величко, А. В. Шангін, В. М. Скиба. — К.: НТУУ «КПІ», 2014. — http://ela.kpi.ua/handle/123456789/8538.
Дякую за увагу!
Lec-5
By wassky
Lec-5
- 369