\(H_0\) from strong lensing time delay

(Based on Wong et al. 2019 and Kochanek 2020)

Wei Zhu (祝伟)

2020-04-30

\(H_0\) Lenses in COSMOGRAIL's Wellspring (H0LiCOW )

  • 2.4% error on \(H_0\);
  • 5.3\(\sigma\) tension with CMB \(H_0\).

How to measure \(H_0\) from strong lensing (1)

\(D_S\)

\(D_L\)

\(D_{LS}\)

\(\beta\)

\(\alpha\)

\(\hat{\alpha}\)

\(r_{\perp}\)

Source

Image

Lens

  • Lens equation

$$ \vec{\beta} =\vec{\theta} - \vec{\alpha} = \vec{\theta} - \frac{D_{LS}}{D_S} \vec{\hat{\alpha}} $$

  • Deflection angle

$$ \hat{\alpha} = \frac{4GM(<r_\perp)}{c^2 r_\perp};\quad r_\perp=D_L\theta $$

  • Perfect alignment \(\vec{\beta}=\vec{\theta_E} - \vec{\alpha}(\vec{\theta_E})=0\)
    • Einstein radius \(\theta_E\)
    • Critical surface density \(\Sigma_{\rm crit} \equiv \frac{M(<r_\perp)}{\pi r_\perp^2}\)
    • Convergence \(\kappa \equiv \frac{\Sigma}{\Sigma_{\rm crit}} \)

\(\theta\)

Lensing geometry alone does not provide a distance scale (L=VT).

How to measure \(H_0\) from strong lensing (2)

\(D_S\)

\(D_L\)

\(D_{LS}\)

\(\beta\)

\(\alpha\)

\(\hat{\alpha}\)

\(r_{\perp}\)

Source

Image

Lens

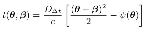
  • Lensing time delay

 

 

  • Time delay distance

$$ D_{\Delta t} \equiv (1+z_L) \frac{D_L D_S}{D_{LS}} $$

  • Lensing potential

$$\nabla_{\theta} \psi(\theta) = \vec{\alpha} $$

$$\nabla^2_{\theta} \psi(\theta) = 2\kappa(\theta) $$

  • Time delay between two images

$$ \Delta t \propto H_0^{-1} (1-\langle \kappa \rangle ) $$

  • Usually, \(\langle \kappa\rangle \approx \kappa (\theta_E) \equiv \kappa_E\).

\(\theta\)

Without information about the lens density distribution (\(\kappa\)), time delay itself does not measure \(H_0\).

H0LiCOW

  • Spectroscopy to get kinematics of the lens galaxy.
  • Assuming certain density profile, extrapolate to the lensing region (i.e., Einstein radius).

If uncertainty is dominated by kinematics, \(\sigma(H_0) = \sigma(\kappa) \approx \sigma(\sigma_\star^2) =2\sigma(\sigma_\star) \).

Why H0LiCOW \(H_0\) is so "precise"

\(D_S\)

\(D_L\)

\(D_{LS}\)

\(\beta\)

\(\alpha\)

\(\hat{\alpha}\)

\(r_{\perp}\)

Source

Image

Lens

\(\theta\)

  • Lens has a simple power-law density profile \(\rho \propto r^{-n} \).
  • Image offset \( \alpha = \theta_E^{n-1} \theta^{2-n} \).
  • Surface density \( \Sigma(r_\perp) \propto r_\perp^{1-n} \).
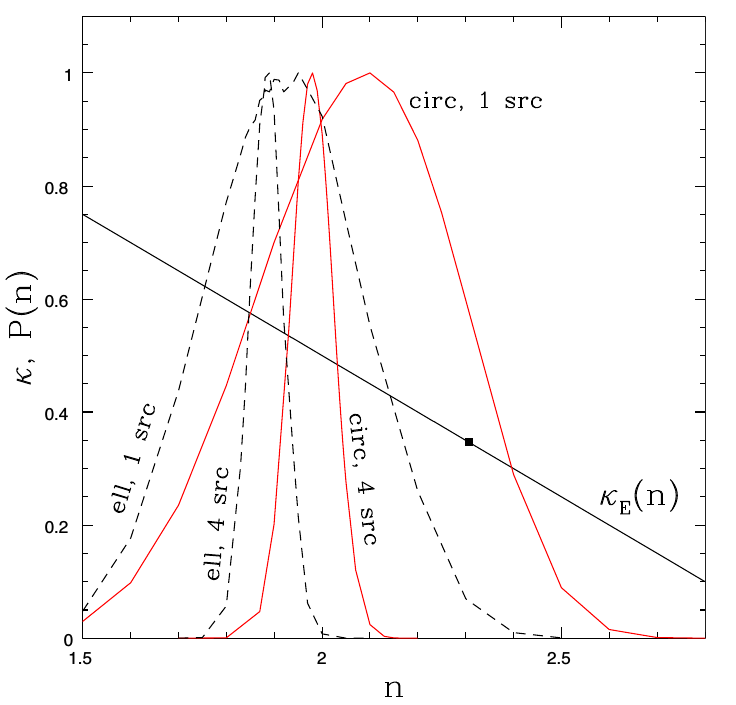
  • Convergence \(\kappa_E = (3-n)/2 \).

For each pair of images

  • Lens equation$$ \theta_1 - \alpha_1 = \theta_2 - \alpha_2 $$
  • $$ \theta_E^{n-1} = \frac{\theta_1+\theta_2}{\theta_1^{2-n} + \theta_2^{2-n}} $$
  • With \(>2\) images, the problem is over constrained.

\(\theta_1\)

\(\theta_2\)

Simulations

Lensing data alone

Lensing data & kinematics (10% uncertainty)

Simulations

No less than ~10% uncertainty on \(H_0\). Adding more lenses does not reduce the uncertainty.

Summary

  • H0LiCOW reported a 2.4% \(H_0\) measurement.
  • Combining lensing information and lens galaxy kinematics, in order to break the \(H_0-\kappa\) degeneracy.
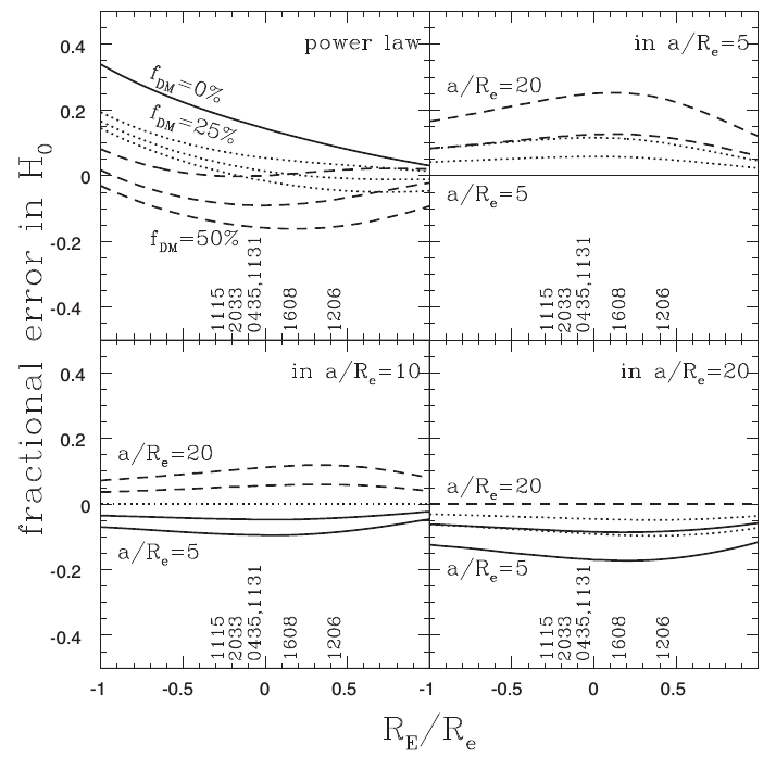
  • Kochanek (2020) argues the lens model is overly simplified, leading to very precise and inaccurate \(H_0\).
  • Kochanek (2020): "It is unlikely that any current estimates of \(H_0\) from gravitational lens time delays are more accurate than ∼10 per cent, regardless of the reported precision."

H0 from lensing

By Wei Zhu(祝伟)

H0 from lensing

A paper discussion of Kochanek (2020) on group meeting

  • 1,113