MATLAB Basics

Alireza Afzal Aghaei

Maryam Babaei

Table of contents

  • Introduction
    • What is MATLAB?
    • Layout, Scripts
    • Toolboxes
  • Syntax
    • Variables, Matrices, Symbols
    • Functions
    • Plots
    • Conditional Statements & Loops
  • Linear Algebra

Introduction

What is MATLAB?

  • An abbreviation of "matrix laboratory"

  • Invented by Cleve Moler in the 1970s

  • It is a proprietary numeric computing environment 

  • Developed and supported by MathWorks

What is MATLAB?

  • It's a multi-paradigm interpreted programming language

  • Its kernel is written in C/C++ programming languages

  • Matrix operations in MATLAB are built on LAPACK

  • MATLAB GUI is written in the Java programming language

Alternatives

  • GNU Octave

    • Free - Open Source

    • Based on Python

    • online version: octave-online.net, tutorialspoint, etc.

  • Mathematica, Maple

    • Proprietary

    • Computer Algebra System (CAS)

  • Julia

    • Free - Open Source

  • SageMath, Scilab, Maxima, etc.

Popularity over years

Connect to other languages

  • C, FORTRAN
    • MEX files
  • Python
    • Jupyter notebook Matlab Kernel
  • Perl, Java, .NET framework
  • Maple, Mathematica

Layout & Scripts

Layout & Scripts

  • Command window
    • Prompt indicator: \(>>\)
  • Current folder
  • Workspace
  • Editor

Layout & Scripts

  • Scripts
    • .m Files
    • Functions
  • Data
    • .mat Files
    • .fig Files

Toolboxes

  • A toolbox is a package of functions and/or classes
  • It provides various tools, generally for a specific topic
  • Examples
    • Signal analysis
    • Image processing
    • Parallel computing
    • Deep learning
    • Optimization
    • Curve fitting

Syntax

Basic Syntax

  • Comments
    • Use the percent \(\%\) symbol for one-line comments
    • For multiple lines of code, use block comment operators, \(\%\{\) and \(\%\}\)
    • Double Percent symbol \(\%\%\) is used for code sections.
  • Semicolon
    • The semicolon (;) indicates the end of the statement.
    • To suppress the output for an expression, add a semicolon after the expression.

Variables & Matrices

  • In Matlab, the matrix is chosen as a basic data element

    • A scaler value is a \(1\times 1\) matrix

    • A vector is a \(1\times N\) or \(N\times 1\) matrix

    • A string is a vector of characters

  • Column-major layout for storing arrays

    • The elements of the columns are contiguous in memory

Data Types

  • Numeric

    • int8, int16, int32, int64

    • uint8, uint16, uint32, uint64,

    • single, double

  • String

  • Cell-Array

    • Arrays that can contain data of varying types and sizes

  • Struct

    • Arrays with named fields that can contain data of varying types and sizes

Variable Definition

>> x = 10; % data assignment for a scaler
>> x = [10]; % data assignment for a scaler

>> vec = [1 2 3]; % data assignment for a row vector
>> vec = [1, 2, 3]; % data for assignment for a row vector 

>> vec = [1; 2; 3]; % data for assignment for a column vector

>> mat = [1, 2, 3; 4, 5, 6]; % data for assignment for a matrix

>> mat = [1 2 3; 4 5 6]; % data for assignment for a matrix

>> str = 'Hello world!'

Output Display Format 

>> format long
>> pi
	3.141592653589793

>> format short
>> pi
    3.1416
    
>> format shortE
>> pi
   3.1416e+00

>> format rat
>> pi
     355/113 

Display Variables

>> x = 10;
>> y = [pi -2 11];

>> disp(x)
	10

>> fprintf('%d \n', x)
	10

>> fprintf('%.2f \n', x)
	10.00

>> disp(v)
    3.1416   -2.0000   11.0000
    
>> fprintf('%.2f ', v)
3.14 -2.00 11.00

>> fprintf('%.2f  #  ', v)
3.14  #  -2.00  #  11.00  #  

Operators

>> a = [1  2  3];
>> b = [2  5  8];

>> a + b
	3  7  11

>> b - a
	1  3  5

>> a * 9 % If the multiplier is a scalar
	9  18  27

>> a + 1 % If the adder is a scalar
	2  3  4

Operators

>> a = [1 2; 3 4];
>> b = [1 5; 2 7];

>> a * b
    5   19
    11   43

>> a * a % matrix power
    7   10
   15   22
   
>> a ^ 2 % matrix power
    7   10
   15   22
   
>> a .^ 2 % elementwise power
    1    4
    9   16

Operators

>> a = [1 2; 3 4];
>> b = [10, 20, 30];
>> c = [10; 20; 30];

>> a' % transpose of a
    1  3
    2  4

>> b'
   10
   20
   30
   
>> c'
	10   20   30

Operators

>> a = [1  2  3];
>> b = [2  5  8];

>> a .* b % Hadamard product
	2  10  24

>> dot(a, b) % inner product (dot product)
	36
    
>> a * b' % inner product
    36
    
>> a' * b % outer product
    2    5    8
    4   10   16
    6   15   24

Vector Indexing

>> v = [16 5 9 4 2 11 7 14];

>> v(3)  % Extract the third element
	9
    
>> v(3:7)  % Extract the third through the seventh elements
	9   4   2   11   7
    
>> v([1:3 5:8]) % Extract halves of v
   16    5    9    2   11    7   14

>> v([5:8 1:3])     % Extract and swap the halves of v
	2   11   7   14   16   5   9

>> v(end) % Extract the last element
	14
    
>> v(5:end)     % Extract the fifth through the last elements   
	2   11   7   14

Vector Indexing

>> v = [16 5 9 4 2 11 7 14];

>> v(1:2:end)   % Extract all the odd elements
	16   9   2   7

>> v(end:-1:1)   % Reverse the order of elements
      14   7   11   2   4   9   5   16
      
>> v([2 3 4]) = [10 15 20]   % Replace some elements of v
      16   10   15   20   2   11   7   14

>> v([2 3]) = 30   % Replace second and third elements by 30
      16   30   30   20   2   11   7   14

Matrix Indexing

>> A = [16, 2, 3, 13;
	5, 11, 10, 8;
	9, 7,  6, 12;
	4, 14, 15, 1];

>> A(2,4)   % Extract the element in row 2, column 4
	8

>> A(2:4, 1:2)  
    5          11
    9           7
    4          14
    
>> A(3, :)   % Extract third row
	9   7   6   12

>> A(:, end)   % Extract last column  
    13
    8
    12
    1

Linear Indexing

>> A = [16, 2, 3, 13;
	5, 11, 10, 8;
	9, 7,  6, 12;
	4, 14, 15, 1];

>> A([6 12 15])
      11   15   12
      
>> B = [1 3; 7 5];

>> A(B)
     16    9
      7    2
      
>> A(:)' % reshape matrix to a column, then transpose it
  16  5  9  4  2  11  7  14  3  10  6  15  13  8  12  1

Column-major layout

Creating Vectors

>> v = 1:5  %staring from 1 upto 5
    1  2  3  4  5

>> v = 1:2:11  %staring from 1 with an increment 2 and upto 11
    1  3  5  7  9  11
    
>> v = 6:-1:1
    6   5   4   3   2   1
   
>> v = -1:-1:-6
   -1  -2  -3  -4  -5  -6
  
>> v = -1:-2:-10
   -1  -3  -5  -7  -9

Creating Matrices

>> A = ones(3, 2)
    1  1
    1  1
    1  1

>> A = zeros(1, 5)
	0  0  0  0  0

>> A = eye(3)
    1   0   0
    0   1   0
    0   0   1

>> A = magic(3)
    8   1   6
    3   5   7
    4   9   2

Random Number Generation

>> rng(n) % sets the random seed to n

>> r = rand % returns a single uniformly distributed random number in the interval (0,1).

>> r = rand(n) % returns an n-by-n matrix of random numbers.

>> X = randn % returns a random scalar drawn from the standard normal distribution.

>> X = randn(n) % returns an n-by-n matrix of normally distributed random numbers.

>> X = randi(imax) % returns a pseudorandom scalar integer between 1 and imax.

>> X = randi(imax, n) %returns an n-by-n matrix of pseudorandom integers drawn from the discrete uniform distribution on the interval [1, imax].

Random Number Generation

>> r = rand(3)
    0.8147    0.0975    0.1576
    0.9058    0.2785    0.9706
    0.1270    0.5469    0.9572

>> r = randn(3)
    0.5377   -1.3077   -1.3499
    1.8339   -0.4336    3.0349
   -2.2588    0.3426    0.7254 

>> r = randi(10, 5)
     9     1     2     2     7
    10     3    10     5     1
     2     6    10    10     9
    10    10     5     8    10
     7    10     9    10     7

Working with Arrays

>> A = [1  3; 6  9; 6 11];
>> B = [3  3 5; 9  9 7; 11 4 -1];

>> size(A)
   3   2

>> size(B)
   3   3

>> size(A, 1)
	3
    
>> size(A, 2)
	2
    
>> numel(A)
	6
    
>> numel(B)
	9

Working with Arrays

>> A = [1  3; 6  9; 6 11];
>> B = [3  3; 9  9; 4 -1];

>> C = cat(2, A, B)
    1    3    3    3
    6    9    9    9
    6   11    4   -1
    
>> D = cat(1, A, B)
    1    3
    6    9
    6   11
    3    3
    9    9
    4   -1
    
>> reshape(C, 2, 6)
    1    6    9    3    4    9
    6    3   11    9    3   -1

Built-in Functions

>> A = [1 4 -3 2];
>> B = [1 4 -11; 7 -3 2];

>> sum(A)  % sum of all elements
	4

>> sum(B) % sum of each column
	8   1  -9
    
>> sum(sum(B))
	0

>> sum(B(:))
	0
    
>> mean(A) % average of all elements
	1

>> mean(B) % average of each column
   4.0000   0.5000  -4.5000

Built-in Functions

>> A = [1 0 -3 2 0 4 3.3 5.7];

>> round(A)  % rounds the elements to nearest integer 
	1   0  -3   2   0   4   3   6

>> sort(A, 'ascend')  % for sorting, 'ascend' or 'descend'
    -3.000    0    0    1.000   2.000   3.300   4.000   5.700

>> find(A)  % returns the linear indices corresponding to non-zero entries of the array 
   1   3   4   6   7   8
   

Built-in Functions

>> v = [2, 8, -3];

>> p = poly2sym(v)
       2          
    2⋅x  + 8⋅x - 3

>> subs(p, 3)
	39

>> polyval(v, 3)
	39
    
>> roots(v)
  -4.3452
   0.3452

Symbolic Computations

>> x = sym('x');  % or for simplicity "syms x"
>> y = sym('y','real');
>> z = sym('z','positive');
>> t = sym('t',{'positive','integer'});

>> x ^ 2 + 3 * x
     2      
    x  + 3⋅x
  
>> a = sym('a',[1 4])
    [a1, a2, a3, a4]
    
>> sqrt(sym(1234567))
    √1234567
    
>> exp(sym(pi))
     π
    ℯ 

Symbolic Computations

>> syms x
>>> y = sin(x + 1) + x ^ 2;

>> subs(y, x, 1)
    sin(2) + 1

>> diff(y,x) % differentiate symbolic expression
    2⋅x + cos(x + 1)

>> int(y) % integrate symbolic expression
     3             
    x              
    ── - cos(x + 1)
    3              

>> z = int(y, x, 0, 2) % definite integral
	cos(1) - cos(3) + 8/3
    
>> double(z)
	4.1970

Scripts: m-file

x = 1
A = rand(2, 3)
% etc.

The Matlab scripts are stored in .m files:

The scripts usually start with these commands

clear % clear workspace variables
close % close all figure windows
clc % clear screen

Functions: m-file

function [y, z] = my_func(x1, x2)
  y = sin(x1);
  z = cos(x2);
end

Save the function in a .m file, named my_func.

Now, in the same directory, call the function:

>> my_func(1, 2)
	0.8415
    
>> [a, b] = my_func(1, 2)
	0.8415   -0.4161

Functions: Function Handle

  • A function handle is a MATLAB data type
  • Stores an association to a function
  • Applications
    • Passing a function to another function
    • Specifying callback functions
    • anonymous functions
>> f = @my_func % function handle

>> f(1, 2)
	0.8415
    
>> [a, b] = f(1, 2)
	0.8415   -0.4161

Functions: Anonymous

>> f = @(x) sin(x) + sqrt(x);  % anonymous function

>> f(1)
	1.8415
    
>> quad(f, 0, 2) % numerical integration
	3.3018
    
>> syms x;

>> double(int(f(x), x, 0, 2));
	3.3018

Plots

>> syms x;

>> y = x ^ 2 + 2 * x;

>> ezplot(y)

Plots

x = 0: .1 : 2 * pi; % Creates a vector that starts at 0 and ends at 2*pi with increments of .1
y = sin(x);
plot(x,y)

xlabel('x axis')
ylabel('y axis')
title('Plot of y = sin(x)')
axis([0 2*pi -1 1]) 

Plots

x = linspace(0, 10);
y = sin(x);
plot(x,y)

xlim([0 5]) % sets the x-axis limits for the current axes or chart. Specify limits as a two-element vector of the form [xmin xmax], where xmax is greater than xmin.

3D Plots

[X, Y] = meshgrid(1:0.5:10,1:20);
Z = sin(X) + cos(Y);

surf(X,Y,Z) %creates a three-dimensional surface plot, which is a three-dimensional surface that has solid edge colors and solid face colors. The function plots the values in matrix Z as heights above a grid in the x-y plane defined by X and Y. The color of the surface varies according to the heights specified by Z.

Logical Operators

1 > 5 % ans = 0
10 >= 10 % ans = 1
3 ~= 4 % Not equal to -> ans = 1
3 == 3 % equal to -> ans = 1
3 > 1 && 4 > 1 % AND -> ans = 1
3 > 1 || 4 > 1 % OR -> ans = 1
~1 % NOT -> ans = 0

Logical Operators & Matrix indices

>> A = magic(5);
   17   24    1    8   15
   23    5    7   14   16
    4    6   13   20   22
   10   12   19   21    3
   11   18   25    2    9

>> B = A > 18
  0  1  0  0  0
  1  0  0  0  0
  0  0  0  1  1
  0  0  1  1  0
  0  0  1  0  0

>> C = A(B)
   23
   24
   19
   25
   20
   21
   22

Conditional Statements

a = input('Enter the value: ')

if (a > 23)
    disp('Greater than 23')
elseif (a == 23)
    disp('a is 23')
else
    disp('neither condition met')
end
  • input function prompts a number from the user
  • disp function displays the value on the command window
    • use fprintf to have more control.
n = input('Enter a number: ');

switch n
    case -1
        disp('negative one')
    case 0
        disp('zero')
    case 1
        disp('positive one')
    otherwise
        disp('other value')
end

Conditional Statements

Loops

% for loop
for k = 1:5
    disp(k)
end


% while loop

k = 0;
while (k < 5)
    k = k + 1;
end

Exception Handling

% Execute statements and catch resulting errors

a = ones(4);  
b = zeros(3);  

try  
    c = [a; b];  
catch ME  
    disp(ME)  
end 


%  MException with properties:
%    identifier: 'MATLAB:catenate:dimensionMismatch'
%       message: 'Dimensions of arrays being concatenated are not consistent.'
%         cause: {0×1 cell}
%         stack: [0×1 struct]

Cell-Array & Structures

%% cell arrays

>> syms x
>> a = {'one', zeros(3), sin(x)};
>> a(1)
	'one'


%% structures

>> A.b = {'one','two'};
>> A.c = [1 2];
>> A.d.e = false;

>> A.c
	[1 2]

Object-Oriented programming

classdef WaypointClass % The class name.
  properties % The properties of the class behave like Structures
    latitude 
    longitude 
  end
  methods 
    % This method that has the same name of the class is the constructor. 
    function obj = WaypointClass(lat, lon)
      obj.latitude = lat;
      obj.longitude = lon;
    end
    % Other functions that use the Waypoint object
    function r = multiplyLatBy(obj, n)
      r = n*[obj.latitude];
    end
    % If we want to add two Waypoint objects together without calling
    % a special function we can overload Matlab's arithmetic like so:
    function r = plus(o1,o2)
      r = WaypointClass([o1.latitude] +[o2.latitude], ...
                        [o1.longitude]+[o2.longitude]);
    end
  end
end
% We can create an object of the class using the constructor
a = WaypointClass(45.0, 45.0)

% Class properties behave exactly like Matlab Structures.
a.latitude = 70.0
a.longitude = 25.0

% Methods can be called in the same way as functions
ans = multiplyLatBy(a,3)

% The method can also be called using dot notation. In this case, the object 
% does not need to be passed to the method.
ans = a.multiplyLatBy(1/3)

% Matlab functions can be overloaded to handle objects. 
% In the method above, we have overloaded how Matlab handles 
% the addition of two Waypoint objects.
b = WaypointClass(15.0, 32.0)
c = a + b

Object-Oriented programming

Linear Algebra

Vector Norms

  • A norm is a function from a real vector space to the  nonnegative real numbers
  • It behaves in certain ways like the distance from the origin
  • p-norm definition: $$\|\mathrm{x}\|_{p}:=\left(\sum_{i=1}^{n} | x_{i}|{ }^{p}\right)^{1 / p}$$

Matrix Norms

  • p-norm definition: $$\|A\|_{p}=\sup _{x\neq 0}{\frac {\|Ax\|_{p}}{\|x\|_{p}}}$$
  • Special Cases
    • $$\|A\|_{1}=\max _{1\leq j\leq n}\sum _{i=1}^{m}|a_{ij}|$$
    • $$\|A\|_{\infty }=\max _{1\leq i\leq m}\sum _{j=1}^{n}|a_{ij}|$$
    • $$\|A\|_{2}={\sqrt {\lambda _{\max }\left(A^{*}A\right)}}$$
    • $$\|A\|_{\text{F}}={\sqrt {\sum _{i=1}^{m}\sum _{j=1}^{n}|a_{ij}|^{2}}}$$
  • In mathematics, a matrix norm is a vector norm in a vector space whose elements (vectors) are matrices.
  • The norm of a matrix is a measure of how large its elements are.

Norms

>> v = [1 -2 3];
>> norm(v,1)
    6
>> norm(v,2)
    3.7417
>> norm(v,'inf')
    3

>> X = [2 0 1;
       -1 1 0;
       -3 3 0];
>> norm(X,1)
    6
>> norm(X,2)
    4.7234
>> norm(X,'inf')
    6
>> norm(X,'fro')
    5

Condition Number

  • The condition number of an invertible matrix A is defined to be $$\kappa(A) = \|A\| \|A^{-1}\| $$
  • If the condition number is very large, then the matrix is said to be ill-conditioned.
  • A matrix is ill-conditioned if relatively small changes in the input can cause a large change in the output (the solution of \(Ax = b\))
  • If the matrix is well-conditioned, the solution is accurate if the input matrix is rounded

Condition Number

>> cond(magic(3))
	4.3301
>> cond(magic(11))
	11.102
>> cond(ones(11))
	Inf
>> cond(eye(11))
	1
>> hilb(sym(4))
  ⎡ 1   1/2  1/3  1/4⎤
  ⎢                  ⎥
  ⎢1/2  1/3  1/4  1/5⎥
  ⎢                  ⎥
  ⎢1/3  1/4  1/5  1/6⎥
  ⎢                  ⎥
  ⎣1/4  1/5  1/6  1/7⎦
  
>> cond(hilb(4))
	1.5514e+04
>> cond(hilb(5))
	4.7661e+05
>> cond(hilb(6))
	1.4951e+07

Null Spcae of Matrix

  • The kernel or the null space of a linear map is the linear subspace of the domain of the map which is mapped to the zero vector: $$\ker(\mathbf {A})=\left\{\mathbf {v} \in V\mid \mathbf {Av}=\mathbf {0} \right\}$$ Where \(V\) is a vector space.

Null Spcae of Matrix

>> A = [1 1;
        1 1];
        
>> B = [-1 1;
        1 -1];
        
>> null(A)'
	0.7071    -0.7071
    
>> null(A, 'r')'
	-1     1
    
>> null(B)
	0.7071    0.7071
    
>> null(B, 'r')'
	 1     1

Symmetric Matrices

>> A = [4 11 14;
        8 7 -2];

>> size(A)
	2   3
>> issymmetric(A)
	0
>> A * A'
   333    81
    81   117
>> size(A * A')
	2	2
>> issymmetric(A * A')
	1
>> A' * A
    80   100    40
   100   170   140
    40   140   200
>> size(A' * A)
	3	3
>> issymmetric(A' * A)
	1

Symmetric Matrices

>> B = [3 2 15;
        4 7 11;
        5 6 -3];
>> issymmetric(B)
	0
>> B' * B
    50    64    74
    64    89    89
    74    89   355
>> issymmetric(B' * B)
	1
>> B * B'
   238   191   -18
   191   186    29
   -18    29    70
>> issymmetric(B * B')
	1
>> B + B'
    6    6   20
    6   14   17
   20   17   -6   
>> issymmetric(B + B')
	1

Matrix Determinant

>> A = [1 -2 4;
        -5 2 0;
        1 0 3]
>> d = det(A) % returns the determinant of square matrix A.
	-32
    
>> B = rand(2,3);

>> det(B)
% error: det: A must be a square matrix
\begin{aligned} |A|=\left|\begin{array}{lll} a & b & c \\ d & e & f \\ g & h & i \end{array}\right| &=a\left|\begin{array}{ll} e & f \\ h & i \end{array}\right|-b\left|\begin{array}{ll} d & f \\ g & i \end{array}\right|+c\left|\begin{array}{ll} d & e \\ g & h \end{array}\right| \\ &=a e i+b f g+c d h-c e g-b d i-a f h \end{aligned}

Matrix Rank

>> A = [1 2 3;
        2 4 6;
        7 -1 11]
>> B = [-4 3 2;
        1 11 9;
        2 4 7]

>> rank(A)
	2

>> det(A)
	0
    
>> rank(B)
    3
>> det(B)
	-167

 The rank of a matrix A is the dimension of the vector space spanned by its columns.

Adjugate matrix

  • The adjugate or classical adjoint of a square matrix is the transpose of its cofactor matrix $$\operatorname{adj}(\mathbf{A})=\mathbf{C}^{\top} \\ \mathbf{C}=\left((-1)^{i+j} \mathbf{M}_{i j}\right)_{1 \leq i, j \leq n} \\$$
  • Minor of a matrix \(A\) is the determinant of some smaller square matrix, cut down from A by removing one or more of its rows and columns: $$M_{i,j} = det(A_{\sim_i,\sim_j})$$

Adjugate matrix

>> A = [1 2 1;
       -1 -2 5;
        3 1 -1]

>> M11 = det(A(2:end, 2:end))
	-3

>> M23 = det(A([1,3], [1, 2]))
	-5

>> % Chat = [M11, M12, M13; M21, M22, M23; M31, M32, M33];

>> % C = -1 ^ (i+j) Chat(i, j)

>> adjoint(A); % C'
   -3.0000    3.0000   12.0000
   14.0000   -4.0000   -6.0000
    5.0000    5.0000    0.0000
\begin{array}{l} \operatorname{adj}(\mathbf{A})=\mathbf{C}^{\top} \\ \\ \mathbf{C}=\left((-1)^{i+j} \mathbf{M}_{i j}\right)_{1 \leq i, j \leq n} \cdot \\ \\ \operatorname{adj}(\mathbf{A})=\mathbf{C}^{\top}=\left((-1)^{i+j} \mathbf{M}_{j i}\right)_{1 \leq i, j \leq n} \end{array}

Matrix Inverse

\begin{array}{l} A^{-1}=\frac{1}{\operatorname{det}(A)} \operatorname{adj}(A) \\ \mathbf{A A^{-1}}=\mathbf{I} \end{array}
>> A = [1 2 1;
       -1 -2 5;
        3 1 -1]

>> det(A)
	30

>> adjoint(A);
   -3.0000    3.0000   12.0000
   14.0000   -4.0000   -6.0000
    5.0000    5.0000    0.0000
    
>> B = inv(A)
    -0.1000   0.1000   0.4000
    0.4667  -0.1333  -0.2000
    0.1667   0.1667        0
    
>> B * A % or A * B
   1.0000        0  -0.0000
   0.0000   1.0000   0.0000
        0        0   1.0000

Matrix Pseudo-Inverse

  • A generalization of the inverse matrix

  • If the columns of a matrix \(A\) are linearly independent

    • \(A^T A\)  is invertible:

      $$A^\dagger = (A^T A)^{-1} A^T$$

    •  \(A^\dagger\)  is a left inverse of  \(A\) , what means:  \(A^\dagger A = I\) .

  • If the rows of the matrix are linearly independent: $$A^\dagger = A^T (A A^T)^{ -1}$$

    • This is a right inverse of  \(A\) , what means:  \(A  A^\dagger = I\)

Matrix Pseudo-Inverse

>> A = randn(3,2)
   0.3649   1.6099
   0.4730  -1.2022
   0.6131   0.3984
   
>> B = pinv(A)

  0.368501   0.765524   0.821077
  0.360588  -0.334517   0.043466

>> C = inv(A' * A) * A'
   0.368517   0.765591   0.821079
   0.360589  -0.334527   0.043472

>> B * A
   1.0000e+00  -5.3536e-17
   7.3552e-17   1.0000e+00

Eigenvalues & Eigenvectors

  • Eigenvalues are a special set of scalars associated with a linear system of equations
  • For a square matrix A, an Eigenvector and Eigenvalue make this equation true:  $$Ax = \lambda x$$
  • This equation can be rewritten as $$(A - \lambda I)x = 0$$
  • If \(x\) is non-zero, this equation will only have a solution if $$det(A-\lambda I) = 0$$

Eigenvalues & Eigenvectors

syms lambda;

A = [80, 100, 40;
     100, 170, 140;
     40, 140, 200];

N = size(A); % 3   3

char_poly = det( A - lambda * eye(N));

%           31200⋅λ + (80 - λ)⋅(170 - λ)⋅(200 - λ) - 2720000

expand(char_poly)
%               3        2          
%            - λ  + 450⋅λ  - 32400⋅λ

coeffs = sym2poly(char_poly);

%        -1     450  -32400       0

eig_vals = roots(coeffs);

%          360    90    0

Eigenvalues & Eigenvectors

syms lambda;

A =[-0.365671   0.220302   0.030732;
    -1.632830   1.207995   2.139820;
     0.044537   0.616437   0.158060]


N = size(A); % 3   3

char_poly = det( A - lambda * eye(N));

coeffs = sym2poly(char_poly);

%        -1.0000   1.0004   1.2693   0.4578

eig_vals = roots(coeffs);

%           1.8305 +      0i
%          -0.4150 + 0.2790i
%          -0.4150 - 0.2790i

Eigenvalues & Eigenvectors

syms lambda;
A = [80, 100, 40;
     100, 170, 140;
     40, 140, 200];
     
N = size(A);
char_poly = det( A - lambda * eye(N));
coeffs = sym2poly(char_poly);
eig_vals = roots(coeffs);
%    0    360    90
    
eig_vecs = zeros(N, N);
for i=1:size(eig_vals,1)   
    B = A - eig_vals(i) * eye(N);
    eig_vec = null(B);
    eig_vecs(:,i) = eig_vec;
end

%{    
    0.6667   -0.3333    0.6667
   -0.6667   -0.6667    0.3333
    0.3333   -0.6667   -0.6667
%}

Eigenvalues & Eigenvectors

>> e = eig(A) % returns a column vector containing the eigenvalues of square matrix A.

>> [V, D] = eig(A) % returns diagonal matrix D of eigenvalues and matrix V whose columns are the corresponding right eigenvectors, so that A*V = V*D.

>> [V, D, W] = eig(A) % also returns full matrix W whose columns are the corresponding left eigenvectors, so that W'*A = D*W'.

>> e = eig(A, B) % eturns a column vector containing the generalized eigenvalues of square matrices A and B.

Eigenvalues & Eigenvectors

>> A = [80, 100, 40;
        100, 170, 140;
        40, 140, 200];

>> [v, d] = eig(A);
%{
v =
    0.6667   0.6667   0.3333
   -0.6667   0.3333   0.6667
    0.3333  -0.6667   0.6667

d =
   -2.3143e-14            0            0
             0   9.0000e+01            0
             0            0   3.6000e+02
%}

Eigenvalues & Eigenvectors

>> B = [-0.365671   0.220302   0.030732;
        -1.632830   1.207995   2.139820;
         0.044537   0.616437   0.158060];

>> [v, d] = eig(B);
%{
v =
   0.0984 +      0i   0.1030 + 0.4305i   0.1030 - 0.4305i
   0.9329 +      0i  -0.6478 +      0i  -0.6478 -      0i
   0.3465 +      0i   0.5700 + 0.2440i   0.5700 - 0.2440i

d =
   1.8305 +      0i                  0                  0
                  0  -0.4150 + 0.2790i                  0
                  0                  0  -0.4150 - 0.2790i
%}

Eigenvalues & Eigenvectors

>> A = [1 7 3; 2 9 12; 5 22 7];
>> e = eig(A);
   25.5548
   -0.5789
   -7.9759
>> [V, D, W] = eig(A)

V =
   -0.2610   -0.9734    0.1891
   -0.5870    0.2281   -0.5816
   -0.7663   -0.0198    0.7912

D =
   25.5548         0         0
         0   -0.5789         0
         0         0   -7.9759

W =

   -0.1791   -0.9587   -0.1881
   -0.8127    0.0649   -0.7477
   -0.5545    0.2768    0.6368

Subset of Eigenvalues & Eigenvectors

>> d = eigs(A) % returns a vector of the six largest magnitude eigenvalues of matrix A. 

>> d = eigs(A, k) %returns the k largest magnitude eigenvalues.

>> [V, D] = eigs(___) % returns diagonal matrix D containing the eigenvalues on the main diagonal, and matrix V whose columns are the corresponding eigenvectors.

>> [V, D, flag] = eigs(___) %also returns a convergence flag. If flag is 0, then all the eigenvalues converged.
  • Compute only a limited subset of the eigenvalues/vectors
  • The matrix may be stored in sparse format

Trace & Determinant

  • The trace operator is the sum of elements on the main diagonal
  • The trace can be expressed as the summation of eigenvalues: $$\operatorname {tr} (\mathbf {A} )=\sum _{i=1}^{n}a_{ii}=\sum _{i}\lambda _{i}$$
  • The determinant of \(A\) is the product of eigenvalues: $$\det(\mathbf {A} )=\prod _{i}\lambda _{i}$$
>> A = rand(3, 3);
>> e = eig(A);

>> [trace(A), sum(e)]
   1.9038   1.9038
   
>> [det(A), prod(e)]
  -0.1270  -0.1270

Cayley–Hamilton Theorem

Every square matrix over a commutative ring (such as the real or complex field) satisfies its own characteristic equation.

>> syms lambda;
>> A = [7, 10, 7; 7, 1, 6; 3, 4, 7]
>> N = size(A);
>> char_poly = det( A - lambda * eye(N));
               3       2             
            - λ  + 15⋅λ  + 52⋅λ - 254

>> - A ^ 3 + 15 * A ^ 2 + 52 * A - 254 * eye(N)
    0   0   0
    0   0   0
    0   0   0

>> coeffs = sym2poly(char_poly);
>> polyvalm(coeffs, A);
    0   0   0
    0   0   0
    0   0   0

Definite Matrix

An \(n \times n\) symmetric real matrix \(M\) is said to be positive-definite if \(x^T M x > 0\) for all non-zero \(x\) in \(\mathbb{R}^n\).

  • $$M{\text{ positive-definite}}\quad \iff \quad \mathbf {x} ^{\textsf {T}}M\mathbf {x} >0{\text{ for all }}\mathbf {x} \in \mathbb {R} ^{n}\setminus \{\mathbf {0} \}$$
  • $$M{\text{ positive semi-definite}}\quad \iff \quad \mathbf {x} ^{\textsf {T}}M\mathbf {x} \geq 0{\text{ for all }}\mathbf {x} \in \mathbb {R} ^{n}$$
  • $$M{\text{ negative-definite}}\quad \iff \quad \mathbf {x} ^{\textsf {T}}M\mathbf {x} <0{\text{ for all }}\mathbf {x} \in \mathbb {R} ^{n}\setminus \{\mathbf {0} \}$$
  • $$M{\text{ negative semi-definite}}\quad \iff \quad \mathbf {x} ^{\textsf {T}}M\mathbf {x} \leq 0{\text{ for all }}\mathbf {x} \in \mathbb {R} ^{n}$$

Positive Definite Matrix

>> A = [1 -1 0; -1 5 0; 0 0 7];
>> B = [1 -1 0; -1 5 0; 0 0 -1];

try
    chol(A)
    disp('Matrix is symmetric positive definite.')
catch ME
    disp('Matrix is not symmetric positive definite')
end

%    1.0000  -1.0000        0
%         0   2.0000        0
%         0        0   2.6458
% Matrix is symmetric positive definite.


try
    chol(B)
    disp('Matrix is symmetric positive definite.')
catch ME
    disp('Matrix is not symmetric positive definite')
end

% Matrix is not symmetric positive definite

Positive Definite Matrix

>> A = [1 -1 0; -1 5 0; 0 0 7];
>> B = [1 -1 0; -1 5 0; 0 0 -1];

e = eig(A);
isposdef = all(e > 0);

if isposdef
    disp('Matrix is symmetric positive definite.')
else
    disp('Matrix is not symmetric positive definite')
end
% Matrix is symmetric positive definite.


e = eig(B);
isposdef = all(e > 0);

if isposdef
    disp('Matrix is symmetric positive definite.')
else
    disp('Matrix is not symmetric positive definite')
end
% Matrix is not symmetric positive definite

Companion matrix

The Frobenius companion matrix of the monic polynomial

$$p(t)=c_{0}+c_{1}t+\cdots +c_{{n-1}}t^{{n-1}}+t^{n}$$ is the square matrix defined as

$$C(p)={\begin{bmatrix}0&1&0&\cdots &0\\0&0&1&\cdots &0\\\vdots &\vdots &\vdots &\ddots &\vdots \\0&0&0&\cdots &1\\-c_{0}&-c_{1}&-c_{2}&\cdots &-c_{{n-1}}\end{bmatrix}}$$

Companion matrix

>> u = [1 0 -7 6];

>> A = compan(u);
     0     7    -6
     1     0     0
     0     1     0
     
>> eig(A)
   -3.0000
    2.0000
    1.0000

$$\begin{array}{ll}p(x) &= (x−1)(x−2)(x+3) \\ &=x^3 −7x+6\end{array}$$

Singular Value Decomposition

  • Singular Value Decomposition (SVD) matrix factorization
  • It Generalizes the eigendecomposition of a square normal matrix
  • A normal matrix is defined $$A{\text{ is normal}}\quad \iff \quad A^{*}A=AA^{*}$$
  • It decomposes \(A_{m \times n}\) to $$A = U \Sigma V^T$$ where $$\begin{array}{l} U &\in \mathbb{R}^{m\times m}\\ \Sigma &\in \mathbb{R}^{m\times n}\\ V &\in \mathbb{R}^{n\times n} \end{array}$$

Singular Value Decomposition

  • \(\Sigma\) is a rectangular diagonal matrix
  • \(\sigma_i = \Sigma_{ii}\) are known as the singular values of \(A\)
  • The number of non-zero singular values is equal to the rank of \(A\)
  • The columns of \(U\) are called the left-singular vectors of \(A\)
  • The columns of \(V\) and right-singular vectors of \(A\)

Singular Value Decomposition

>> S = [4, 11, 14;
        8, 7, -2];

>> A = S' * S
    80   100    40
   100   170   140
    40   140   200
    
>> [v, e] = eig(A);

>> sigma = sqrt(e)
         0 +  0.0000i
    9.4868 +       0i
   18.9737 +       0i
   
>>  V = v
     0.6667   0.6667   0.3333
    -0.6667   0.3333   0.6667
     0.3333  -0.6667   0.6667

Singular Value Decomposition

>> S = [4, 11, 14;
        8, 7, -2];

>> [u, sigma, v] = svd(S)
%{
u =

  -0.9487  -0.3162
  -0.3162   0.9487

sigma =

   18.9737         0         0
         0    9.4868         0

v =

  -0.3333   0.6667  -0.6667
  -0.6667   0.3333   0.6667
  -0.6667  -0.6667  -0.3333
%}

Singular Value Decomposition

>> S = [4, 11, 14;
        8, 7, -2];

>> [u, sigma, v] = svd(S)

>> u' * u
   1.0000e+00  -9.3142e-17
  -9.3142e-17   1.0000e+00
  
>> v' * v
   1.0000e+00   3.0840e-16  -2.6214e-16
   3.0840e-16   1.0000e+00   3.1148e-16
  -2.6214e-16   3.1148e-16   1.0000e+00

Singular Value Decomposition

>> S = [4, 11, 14;
        8, 7, -2];

>> [u, sigma, v] = svd(S)

for i=1:size(S, 1)
    normSVi = norm(S * v(:, i));    
    fprintf('%.6f \t %.6f \n', normSVi, sigma(i,i))
end

%{
 || S v_i ||       sigma_i
  18.973666 	  18.973666 
   9.486833 	   9.486833 
%}

Subset of Singular Values & Vectors

>> s = svds(A) % returns a vector of the six largest singular values of matrix A. 

>> s = svds(A, k) % returns the k largest singular values.

>> s = svds(A, k, sigma) % returns k singular values based on the value of sigma.

>> [U, S, V] = svds(___) % returns the left singular vectors U, diagonal matrix S of singular values, and right singular vectors V.

>> [U, S, V, flag] = svds(___) % also returns a convergence flag. If flag is 0, then all the singular values converged.

Compact SVD

  • In this form \(\Sigma\) is square diagonal of size \(r\times r\), where \(r\leq \min\{m,n\}\)
  • It usually has only the non-zero singular values
  • \(U\) is an \(m\times r\) semi-unitary matrix
  • \(V\) is an \(n\times r\) semi-unitary matrix $$U^{T}U =V^{T}V =I_{r}$$

Image Compression

  • Reduce the cost for storage or transmission
  • Types
    • Lossless
      • PNG
    • Lossy
      • JPG

Image Compression using SVD

% reading and converting the image
inImage = imread('pout.tif');
inImage = rgb2gray(inImage);

% since image data type is uint8
inImageD = double(inImage);

% decomposing the image using singular value decomposition
[U, S, V] = svd(inImageD);

% Using largest singular values to reconstruct the image
N = 10;

% Construct the Image using the selected singular values
D = U(:,1:N) * S(1:N, 1:N) * V(:, 1:N)';

ImageNew = uint8(D);

imshow(inImage)
imshow(ImageNew)

Image Compression using SVD

Image Compression using SVD

Image Compression using SVD

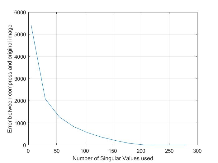
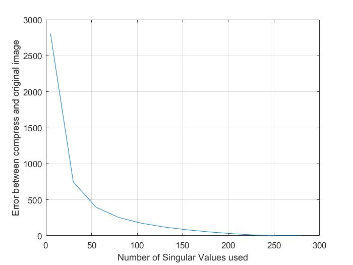
$$\text{Error =}\| img_{new} - img_{real} \|_F$$

autumn.tif

pout.tif

Image Compression using SVD

  • The number of different pixel values in the original image: $$m\times n$$
  • After compact-SVD: $$ m\times r + r + r \times n$$ Where \(r\) is the number of non-zero singular values
  • Compression ratio: $$ratio = \frac{m\times n}{r \times(m + n + 1)}$$

Solving System of Linear Equations

  • A system of linear equations (or linear system) is a collection of one or more linear equations involving the same set of variables.
\begin{array}{c} a_{11} x_{1}+&a_{12} x_{2}+&a_{13} x_{3}+&\ldots+&a_{1 n} x_{n}= & b_{1} \\ a_{21} x_{1}+&a_{22} x_{2}+&a_{23} x_{3}+&\ldots+&a_{2 n} x_{n}= & b_{2} \\ a_{31} x_{1}+ & a_{32} x_{2}+& a_{33} x_{3}+&\ldots+&a_{3 n} x_{n}= & b_{3} \\ \vdots & \vdots & \vdots && \vdots \\ a_{m 1} x_{1}+&a_{m 2} x_{2}+&a_{m 3} x_{3}+&\ldots+&a_{m n} x_{n}= & b_{m} \end{array}

Solving System of Linear Equations

  • These systems can be written in a matrix form $$Ax=b$$
\left[\begin{array}{cccc} a_{11} & a_{12} & a_{13} & \cdots & a_{1 n} \\ a_{21} & a_{22} & a_{23} & \cdots & a_{2 n} \\ a_{31} & a_{32} & a_{33} & \cdots & a_{3 n} \\ \vdots & \vdots & \vdots & \vdots & \vdots \\ a_{m 1} & a_{m 2} & a_{m 3} & \cdots & a_{m n} \end{array}\right] \left[\begin{array}{l} x_{1} \\ x_{2} \\ x_{3} \\ \vdots \\ x_{n} \end{array}\right] = \left[\begin{array}{c} b_{1} \\ b_{2} \\ b_{3} \\ \vdots \\ b_{m} \end{array}\right]

Solving System of Linear Equations

  • In the case of full rank square matrix \(A\), the system has a unique solution given by $$x =A^{-1}b$$

  • In the case of general rectangular matrix \(A\) we have: $$x = A^{\dagger}b$$ where \(A^{\dagger}\) is pseudo inverse of \(A\)

  • The numerical methods can also be employed to these systems

    • Direct methods

      • LU, Cholesky, QR

    • Iterative methods

      • Gauss seidel, Jacobi, Conjugate Gradient, GMRES

Solving System of Linear Equations

\begin{array}{r} 1x+2y-3z=5\\ -3x-1y+1z=-8\\ 1x-1y+1z=0 \end{array}
>>> A = [1 2 -3;
        -3 -1 1;
         1 -1 1]

>> b = [5; -8; 0];

>> x = inv(A) * b

   2.0000
   3.0000
   1.0000
   
>> x = A \ b % more efficient than inv(A) * b

   2.0000
   3.0000
   1.0000

Kronecker Product

  • If \(A\) is an \(m \times n\) matrix and \(B\) is a \(p \times q\) matrix, then the Kronecker product \(A \otimes B\) is the \(pm \times qn\) block matrix:
{\displaystyle \mathbf {A} \otimes \mathbf {B} ={\begin{bmatrix}a_{11}\mathbf {B} &\cdots &a_{1n}\mathbf {B} \\\vdots &\ddots &\vdots \\a_{m1}\mathbf {B} &\cdots &a_{mn}\mathbf {B} \end{bmatrix}}}

Kronecker Product

{\mathbf{A}\otimes\mathbf{B}} = \begin{bmatrix} a_{11} b_{11} & a_{11} b_{12} & \cdots & a_{11} b_{1q} & \cdots & \cdots & a_{1n} b_{11} & a_{1n} b_{12} & \cdots & a_{1n} b_{1q} \\ a_{11} b_{21} & a_{11} b_{22} & \cdots & a_{11} b_{2q} & \cdots & \cdots & a_{1n} b_{21} & a_{1n} b_{22} & \cdots & a_{1n} b_{2q} \\ \vdots & \vdots & \ddots & \vdots & & & \vdots & \vdots & \ddots & \vdots \\ a_{11} b_{p1} & a_{11} b_{p2} & \cdots & a_{11} b_{pq} & \cdots & \cdots & a_{1n} b_{p1} & a_{1n} b_{p2} & \cdots & a_{1n} b_{pq} \\ \vdots & \vdots & & \vdots & \ddots & & \vdots & \vdots & & \vdots \\ \vdots & \vdots & & \vdots & & \ddots & \vdots & \vdots & & \vdots \\ a_{m1} b_{11} & a_{m1} b_{12} & \cdots & a_{m1} b_{1q} & \cdots & \cdots & a_{mn} b_{11} & a_{mn} b_{12} & \cdots & a_{mn} b_{1q} \\ a_{m1} b_{21} & a_{m1} b_{22} & \cdots & a_{m1} b_{2q} & \cdots & \cdots & a_{mn} b_{21} & a_{mn} b_{22} & \cdots & a_{mn} b_{2q} \\ \vdots & \vdots & \ddots & \vdots & & & \vdots & \vdots & \ddots & \vdots \\ a_{m1} b_{p1} & a_{m1} b_{p2} & \cdots & a_{m1} b_{pq} & \cdots & \cdots & a_{mn} b_{p1} & a_{mn} b_{p2} & \cdots & a_{mn} b_{pq} \end{bmatrix}

MATLAB Basics

By Alireza Afzal Aghaei

MATLAB Basics

  • 948