Table of contents

  • Introduction
    • What is Tensorflow
  • TF for Neural Networks
    • Regression
    • Classification
  • TF for Function Approximation
  • TF for Ordinary Differential Equations
  • Keras for model definition
  • DeepXDE

Introduction

Basics

  • A high-performance numerical computation library.
  • Tensorflow supports
    • Multidimensional-array based numeric computation
    • CPU/GPU/TPU and distributed processing
    • Automatic differentiation
    • Model construction, training, and export

Basics

  • In TensorFlow, computations are represented as computational graphs.
  • Graphs are data structures that contain a set of operation objects, and tensor objects
    • Operators represent units of computation
    • Tensors represent the units of data that flow between operations.

Basics

Tensorflow

For Regression

A simple example

  • Goal: Regression
  • Model: Multi-Layer Perceptron
  • Dataset: Boston Housing
    • Samples: 506

    • Dimensionality: 13

    • Features: real, positive

A simple example

import tensorflow as tf

tf.random.set_seed(0)          # reproducible results

n_input = 13                   # number of features
n_hidden = 10                  # hidden layer size
n_output = 1                   # output layer size
w1 = tf.Variable(tf.random.normal([n_input, n_hidden]))
w2 = tf.Variable(tf.random.normal([n_hidden, n_output]))

b1 = tf.Variable(tf.random.normal([n_hidden]))
b2 = tf.Variable(tf.random.normal([n_output]))

optimizer = tf.optimizers.Adam()

A simple example

def forward(x):
  hidden = x @ w1 + b1
  hidden = tf.nn.tanh(hidden)
  prediction = hidden @ w2 + b2
  return prediction
@tf.function
def step(X, y):
  with tf.GradientTape() as tape:
    prediction = forward(X)
    loss = tf.losses.mean_squared_error(y_true=y, y_pred=prediction)
    loss = tf.reduce_mean(loss)

  weights = [w1, b1, w2, b2]
  grads = tape.gradient(loss , weights)
  optimizer.apply_gradients(zip(grads, weights))
  return loss

A simple example

from sklearn.datasets import load_boston

X, Y = load_boston(return_X_y = True)
X = X.astype('float32')
y = Y.reshape(-1,1)
losses = []
for i in range(5000):
  loss = step(X, y)
  losses.append(loss.numpy())
import matplotlib.pyplot as plt

plt.plot(losses)

Tensorflow

For Classification

A simple example

  • Goal: Binary Classification
  • Model: Multi-Layer Perceptron
  • Dataset: Breast Cancer
    • Samples: 569

    • Dimensionality: 30

    • Features: real, positive

A simple example

import tensorflow as tf

tf.random.set_seed(0)          # reproducible results

n_input = 30                   # number of features
n_hidden = 10                  # hidden layer size
n_output = 1                   # output layer size
w1 = tf.Variable(tf.random.normal([n_input, n_hidden]))
w2 = tf.Variable(tf.random.normal([n_hidden, n_output]))

b1 = tf.Variable(tf.random.normal([n_hidden]))
b2 = tf.Variable(tf.random.normal([n_output]))

optimizer = tf.optimizers.Adam()

A simple example

def forward(x):
  hidden = x @ w1 + b1
  hidden = tf.nn.tanh(hidden)
  logits = hidden @ w2 + b2
  prediction = tf.nn.sigmoid(logits)
  return prediction
@tf.function
def step(X, y):
  with tf.GradientTape() as tape:
    prediction = forward(X)
    loss = tf.losses.binary_crossentropy(y_true=y, y_pred=prediction)
    loss = tf.reduce_mean(loss)

  weights = [w1, b1, w2, b2]  
  grads = tape.gradient(loss , weights)
  optimizer.apply_gradients(zip(grads, weights))
  return loss

A simple example

from sklearn.datasets import load_breast_cancer

X, Y = load_breast_cancer(return_X_y = True)
X = X.astype('float32')
y = Y.reshape(-1,1)
losses = []
for i in range(2000):
  loss = step(X, y)
  losses.append(loss.numpy())
import matplotlib.pyplot as plt

plt.plot(losses)

Tensorflow

For Function Approximation

A simple example

  • Goal: Function Approximation
  • Model: Multi-Layer Perceptron
  • Function: \(y(x)=e^x\)
  • Domain:  \(x=[0,1]\)

A simple example

import tensorflow as tf

tf.random.set_seed(0)          # reproducible results

n_input = 1                    # domain dimension
n_hidden = 5                   # hidden layer size
n_output = 1                   # range dimension
w1 = tf.Variable(tf.random.normal([n_input, n_hidden]))
w2 = tf.Variable(tf.random.normal([n_hidden, n_output]))

b1 = tf.Variable(tf.random.normal([n_hidden]))
b2 = tf.Variable(tf.random.normal([n_output]))

optimizer = tf.optimizers.Adam()

A simple example

def forward(x):
  hidden = x @ w1 + b1
  hidden = tf.nn.tanh(hidden)
  prediction = hidden @ w2 + b2
  return prediction
@tf.function
def step(X, y):
  with tf.GradientTape() as tape:
    prediction = forward(X)
    loss = tf.losses.mean_squared_error(y_true=y, y_pred=prediction)
    loss = tf.reduce_mean(loss)

  weights = [w1, b1, w2, b2]
  grads = tape.gradient(loss , weights)
  optimizer.apply_gradients(zip(grads, weights))
  return loss

A simple example

x = tf.linspace(0.0, 1.0, 100)

X = tf.reshape(x, (-1, 1))

y = tf.exp(X)
losses = []
for i in range(500):
  loss = step(X, y)
  losses.append(loss.numpy())
import matplotlib.pyplot as plt

plt.plot(losses)

A simple example

import matplotlib.pyplot as plt
fig, axs = plt.subplots(1,2, figsize=(18,5))

domain = x.numpy()
exact = y.numpy().flatten()
predict = forward(X).numpy().flatten()

axs[0].plot(domain, exact, label='exact')
axs[0].plot(domain, predict, label='predict')
axs[0].legend()
axs[1].plot(domain, exact - predict, label='residual')
axs[1].legend()

Tensorflow

For Ordinary Differential Equations

A simple example

  • Goal: Approximate the solution of

$$y'(x) = y(x)$$

  • Model: Multi-Layer Perceptron
  • Domain: \(x=[0,1]\)
  • Exact Solution: \(y(x) = e^x\)

The Idea

  • Approximate the solution of ODEs using a neural network.
  • Approximated solution: \(\hat y(x)\)
  • We already know:

$$\begin{aligned} y'(x) = y(x), \quad &\forall x\in [0,1]\Rightarrow \\ y'(x) - y(x) = 0, \quad &\forall x\in [0,1] \Rightarrow\\ y'(x_i) - y(x_i) = 0, \quad &x_i \in [0,1], i=1,2,\ldots,n. \end{aligned}$$

  • What if \(\hat y(x)\) was not the exact solution?

The Idea

  • Define the residual function as
    $$Res(x; \hat y) = \hat y'(x) - \hat y(x)$$
  • The residual function equals zero if and only if the approximated function \(\hat y\) is \(e^x\).
  • Define the total error over all innerpoints, in a Mean Square Error (MSE) sense:

$$MSE = \frac{1}{n}\sum_{i=1}^n [Res(x_i; \hat y) - 0]^2$$

The Idea

  • Is this methodology Supervised or Unsupervised?
    • The target variable (Residual) must be Zero.
    • The target variable is Zero for all inputs!
    • \(MSE_{Res}\) can be interpreted as a complex loss function for a simple unsupervised network!

The Idea

  • Do not forget the initial condition!
    • Force the model to predict desired values.

$$Loss = \frac{1}{n}\sum_{i=1}^n Res(x_i; \hat y)^2 + [\hat y(0) - 1]^2$$

A simple example

import tensorflow as tf

tf.random.set_seed(0)          # reproducible results

n_input = 1                    # domain dimension
n_hidden = 10                  # hidden layer size
n_output = 1                   # range dimension
w1 = tf.Variable(tf.random.normal([n_input, n_hidden]))
w2 = tf.Variable(tf.random.normal([n_hidden, n_output]))

b1 = tf.Variable(tf.random.normal([n_hidden]))
b2 = tf.Variable(tf.random.normal([n_output]))

optimizer = tf.optimizers.Adam()

A simple example

def forward(x):
  hidden = x @ w1 + b1
  hidden = tf.nn.tanh(hidden)
  y = hidden @ w2 + b2
  return y
@tf.function
def step(x):
  weights = [w1, b1, w2, b2]
  with tf.GradientTape() as tape:      
      y = forward(x)
      dy_dx = tf.gradients(y, x)[0]
      residual = dy_dx - y
      boundary = y[0] - 1
      loss = residual**2 + boundary**2
      loss = tf.reduce_mean(loss)

  grads = tape.gradient(loss, weights)
  optimizer.apply_gradients(zip(grads, weights))

  return loss

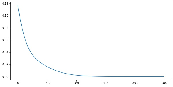
A simple example

x = tf.linspace(0.0, 1.0, 100)
X = tf.reshape(x, (-1, 1))
losses = []
for i in range(100):
  loss = step(X, y)
  losses.append(loss.numpy())
import matplotlib.pyplot as plt

plt.plot(losses)

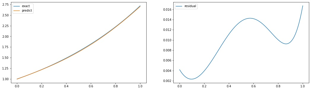
A simple example

import matplotlib.pyplot as plt
fig, axs = plt.subplots(1,2, figsize=(18,5))

domain = x.numpy()
exact = tf.exp(domain).numpy()
predict = forward(X).numpy().flatten()

axs[0].plot(domain, exact, label='exact')
axs[0].plot(domain, predict, label='predict')
axs[0].legend()

axs[1].plot(domain, exact - predict, label='residual')
axs[1].legend()
  • Most used deep learning framework among top-5 winning teams on Kaggle.
  • An industry-strength framework that can scale to large clusters of GPUs or an entire TPU pod.
  • Take advantage of the full deployment capabilities of the TensorFlow platform.
  • Keras is used by CERN, NASA, NIH, and many more scientific organizations around the world.

Basics

model = tf.keras.models.Sequential()
model.add(tf.keras.layers.Dense(10,input_shape=(1,),activation='tanh'))
model.add(tf.keras.layers.Dense(1, activation='linear'))

A simple example

Replace the weight/bias definitions and the forward function, with a sequential model!

@tf.function
def step(X, y):
  with tf.GradientTape() as tape:
    prediction = model(X)
    loss = tf.losses.mean_squared_error(y_true=y, y_pred=prediction)
    loss = tf.reduce_mean(loss)
    
  weights = model.trainable_weights
  grads = tape.gradient(loss , weights)
  optimizer.apply_gradients(zip(grads, weights))
  return loss

A simple example

  • Call the sequential model, instead of forward function
  • Use trainable weights for obtaining model weights

DeepXDE

For Ordinary/Partial Differential Equations

  • A library for scientific machine learning, especially physics-informed learning algorithms, including:
    • Physics-informed neural networks
    • Deep operator networks
    • Multifidelity neural networks
  • Install it by:

Basics

pip install deepxde

A Simple Example

Import the required modules

Define the residual function

import deepxde as dde
import numpy as np
def residual(x, y):    
    y = y[:, 0:1]
    dy_x = dde.grad.jacobian(y, x, i=0)
    return [dy_x - y]

A Simple Example

The boundary conditions

Define the exact solution for verification

def boundary(_, on_initial):
    return on_initial

geom = dde.geometry.TimeDomain(0, 1)
ic = dde.icbc.IC(geom, lambda x: 1, boundary)
def exact(x):
    return np.hstack((np.exp(x), ))

A Simple Example

Define the PDE system:

Define the neural network (function approximator)

data = dde.data.PDE(geom, residual, [ic],
                    num_boundary=2, solution=exact,
                    num_domain=10, num_test=100)
layer_size = [1] + [10] + [1]
activation = "tanh"
initializer = "Glorot uniform"
net = dde.nn.FNN(layer_size, activation, initializer)

A Simple Example

Finally, connect the PDE system to the neural network

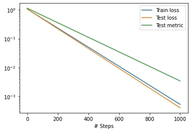
model = dde.Model(data, net)
model.compile("adam", lr=0.1, metrics=["l2 relative error"])
losshistory, train_state = model.train(epochs=1000)

A Simple Example

Tensorflow

By Alireza Afzal Aghaei

Tensorflow

  • 1,063