Introduction to

Neural Ordinary Differential Equations

Alireza Afzal Aghaei

Ph.D. Student

Shahid Beheshti University

Contents

  • Differential Equations
  • Residual Networks
  • Neural ODEs
    • Adjoint sensetivity method
    • Benchmarks
  • Augmented Neural ODEs
    • Benchmarks
  • Implementation
  • References

History

Mathematical Modeling of engineering problems leads to

  • Ordinary differential equations

  • Partial differential equations

  • Integral equations

  • Optimal control

Ordinary differential equations

$$y''(x) + \frac{2}{x} y'(x) + y^m(x)=0$$

$$y(0)=1\\y'(0)=0$$

  • Lane-Emden equation
  • Describes the temperature variation of a spherical gas cloud under the mutual attraction of its molecules
  • Exact solution only for \(m=0,1,5\).

Ordinary differential equations

A linear first order differential is defined as

with the exact solution

$$z(t) = z(t_0) + \int_{t_0}^{t_1} f(z(t),t)\ dt$$

$$\frac{{dz}}{{dt}} = f\left( {z(t),t} \right),\ \ \ z \left( {{t_0}} \right) = {z_0},$$

Solving strategies for ODEs

  • Analytical Methods

    • Separation of variables

    • Laplace transform

  • Numerical Methods

    • Finite differences

      • ​Euler method

      • Runge-kutta

      • Adams–Bashforth

Euler method for ODEs

  • Introduced at 1880s.
  • The most basic method for approximating ODEs
  • An explicit method
  • A single-step method

Euler method for ODEs

can be  approximated by

Theorem. The solution to the following IVP

where \(\Delta t = t_n- t_{n-1}\) is an small step-size.

$$\frac{{dz}}{{dt}} = f\left( {z(t),t} \right),\ \ \ z \left( {{t_0}} \right) = {z_0},$$

$${z_{n + 1}} = {z_n} + \Delta t\,{f(z_n, t_n)},\quad n=1,2,\ldots$$

Modern ODE solvers

Euler method vs. modern solvers

Deep Neural Networks

Training error (left) and test error (right) on CIFAR-10 with 20-layer and 56-layer “plain” networks.

Residual Neural Networks

  • Overcome vanishing gradient by skip connections
  • Learn the residual function
  • Much more powerful than traditional networks in most cases
He, Kaiming, Xiangyu Zhang, Shaoqing Ren, and Jian Sun. "Deep residual learning for image recognition." In Proceedings of the IEEE conference on computer vision and pattern recognition, pp. 770-778. 2016.

Skip connection

Traditional networks vs Resnets

Residual Neural Networks

In a general form, ResNets can be formulated as

\begin{aligned} y_t &= h(z_t) + \mathcal{F}(z_t,\theta_t)\\ z_{t+1} &= f(y_t) \end{aligned}
  • \(\mathcal{F}(.)\) is a simple neural network (Residual block )
  • \(f, h\) are element wise functions such as ReLU
  • \(\theta_t\) is the unknown weight for layer \(t\)
  • \(z_t\) is the output of layer \(t\)

Residual Neural Networks

By setting functions \(f,h\) as identity mappings

$$z_{t+1} = z_t + \mathcal{F}(z_t, \theta_t)\\$$

Residual Neural Networks

A chain of residual blocks in a neural network is basically a solution of the ODE with the Euler method!

NNs as ODE solvers

Network Fixed-step Numerical Scheme
ResNet, RevNet, ResNeXt, etc. Forward Euler
PolyNet Approximation to Backward Euler
FractalNet Runge-Kutta
DenseNet Runge-Kutta

New Idea

Let’s replace ResNet / EulerSolverNet with some abstract concept as ODESolveNet with much better accuracy than Euler’s method

Neural Ordinary Differential Equations

Chen, Tian Qi, Yulia Rubanova, Jesse Bettencourt, and David K. Duvenaud. "Neural ordinary differential equations." In Advances in neural information processing systems, pp. 6571-6583. 2018.
  • One of the best research papers of NeurIPS 2018
  • Presents a continuous model
  • Solves the ODE with a black-box ODE solver

Neural Ordinary Differential Equations

Predict the output value for input \(x\) by solving $$\frac{{dz}}{{dt}} = \mathcal{F}\left( {z(t),t,\theta} \right)$$ w.r.t initial condition $$z \left( {{0}} \right) = {x},$$ by a black-box ODE solver where $$t \in [0, T].$$

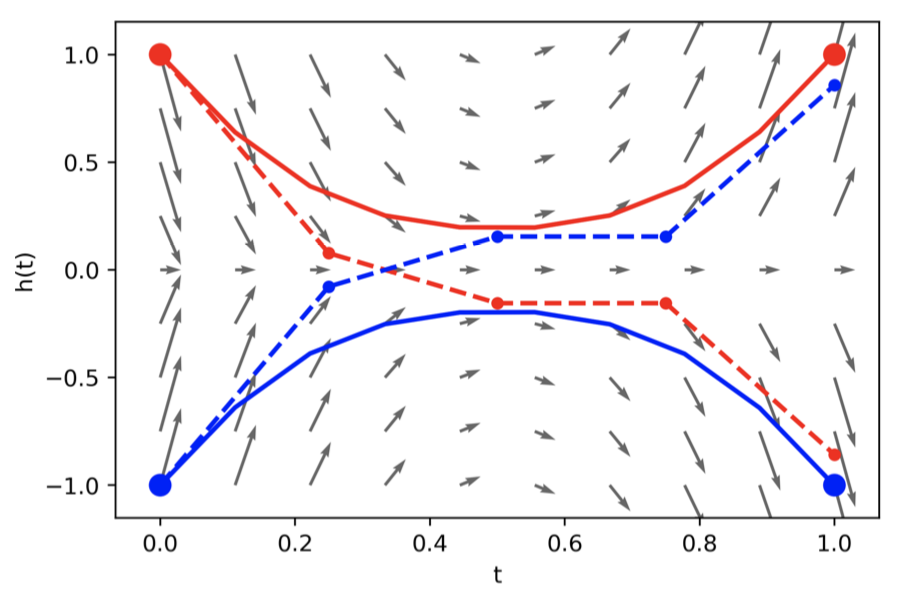
Neural Ordinary Differential Equations

  • Left: A Residual network defines a discrete sequence of finite transformations.
  • Right: A ODE network defines a vector field, which continuously transforms the state.
  • Circles represent function evaluation locations.

The effect of adaptive solver

NODE: Benefits

  • Adaptive computation
  • Memory efficiency
  • Parameter efficiency
  • Continuous time-series models
  • Error Control

NODE: Continuous model

def F(z, t, θ):
    return nnet([z,t], θ)

def FixedNODE(z):
    for t in [1:T]:
        z = z + F(z, t, θ)
    return z
def F(z, t, θ):
    return nnet([z,t], θ)

def AdaptiveNODE(z):
    z = ODESolve(F, z, 0, T, θ)
    return z
  
def F(z, t, θ):
    return nnet(z, θ[t])

def resnet(z):
    for t in [1:T]:
        z = z + F(z, t, θ)
    return z
def F(z, t, θ):
    return nnet[t](z, θ[t])

def resnet(z):
    for t in [1:T]:
        z = z + F(z, t, θ)
    return z

Different Res Blocks for each time step

Different weights for similar Res Blocks

Shared weights, continuous model

Replace Euler with adaptive solver

NODE: Optimizing the model

$$L(z(t_n)) = L(\ z(t_0) + \int_{t_0}^{t_n} \mathcal{F}(z(t),t, \theta)dt\ )$$

$$=L(ODESolve(\mathcal{F},z(t_0),t_0,t_n,\theta))$$

$$\frac{\partial L}{\partial z(t)},\frac{\partial L}{\partial \theta}=??$$

NODE: Error Backpropagation

Naive approach: Backprop through the solver

  • Memory-intensive
  • Numerical Error

New approach: Adjoint sensitivity analysis

  • Approximate the derivative, don’t differentiate the approximation!
  • O(1) memory in backward pass!
  • Needs some function evaluations in backward pass

Adjoint method: linear case

  • Given matrices \(A,C\) and vector \(u\)
  • compute \(u^TB\) such that \(AB=C\)
  • Instead solve \(v^TC\) such that \(A^Tv = u\)
  • proof:

$$v^TC=v^TAB=(A^Tv)^TB=u^TB$$

Adjoint sensitivity method

 Reverse-mode differentiation of an ODE solution

Adjoint sensitivity method

Theorem. By defining adjoint state $$a(t) = \frac{\partial L}{\partial z(t)},$$ its dynamics are given by ODE

$$\frac{\text{d}a(t)}{\text{d}t} = - a(t)^T \frac{\partial \mathcal{F}(z(t),t,\theta)}{\partial z}.$$

A simple proof is available in Appendix B.

Adjoint sensitivity method

$$\frac{\partial L}{\partial t_n} = a(t_n)^T\mathcal{F}(z(t),t,\theta)$$

$$\frac{\partial L}{\partial \theta} = -\int_{t_n}^{t_0} a(t)^T \frac{\partial \mathcal{F}(z(t),t,\theta)}{\partial \theta}dt$$

$$\frac{\partial L}{\partial t_0} = a(t_n)-\int_{t_n}^{t_0} a(t)^T \frac{\partial \mathcal{F}(z(t),t,\theta)}{\partial t}dt$$

$$\frac{\partial L}{\partial z(t_0)} = a(t_n) -\int_{t_n}^{t_0} a(t)^T \frac{\partial \mathcal{F}(z(t),t,\theta)}{\partial z(t)}dt$$

  • All of integrals can be computed by solving an augmented ODE

Adjoint sensitivity method

  • In English: Solve the original ODE and the accumulated gradients backward through time.

 

Adjoint sensitivity method

\(a = \frac{\partial L}{\partial z_t}\)

\(z_{t+h} = z_t + h \mathcal{F}(z_t)\)

\(a_t = a_{t+h} + h a_{t+h} \frac{\partial \mathcal{F}(z_t)}{\partial z_t}\)

\(\frac{\partial L}{\partial \theta} = h a_{t+h} \frac{\partial \mathcal{F}(z(t),\theta)}{\partial \theta}\)

\(a(t) = \frac{\partial L}{\partial z(t)}\)

\(z(t+h) = z(t) + \int_t^{t+h}\mathcal{F}(z(t))dt\)

\(a(t) = a(t+h) + \int_{t+h}^t a(t)^T \frac{\partial \mathcal{F}(z(t))}{\partial z(t)}dt\)

\(\frac{\partial L}{\partial \theta} = \int_t^{t+h} a(t)^T \frac{\partial \mathcal{F}(z(t),\theta)}{\partial \theta}dt\)

Define

Forward

Backward

Params

ResNet

NODE

How deep are NODEs?

  • No fixed number of layers
  • Number of evaluations in NODEs ≈ Depth in ResNets
  • Dynamics become more demanding to compute during training
  • Regularization

Reverse versus Forward Cost

NFE = Number of Function Evaluations

  • Empirically, reverse pass roughly half as expensive as forward pass!
  • NFE can be viewed as number of layers in neural nets

NODE: implementation

nn = Network(
  Dense(...), # making some primary embedding
  ODESolve(...), # "infinite-layer neural network"
  Dense(...) # output layer
)

Pseudocode of NODE usage

Benchmarks

Performance on the MNIST dataset

ResNet vs NODE

Benchmarks

Model Test score # Params Time (sec)
Resnet(6) 85.43% 0.6M 3700
Resnet(1) 83.62% 0.22M 1500
NODE 83.90% 0.22M 11000

Results on CIFAR-10 dataset

Benchmarks

Limitations

  • Mini-batching
  • Uniqueness
  • Setting tolerances
  • Slower than ResNets

Augmented NODEs

what if the map we are trying to model cannot be described by a vector field?

Ideal mapping

ResNet vs NODE

Augmented NODEs

what if the map we are trying to model cannot be described by a vector field?

Augmented NODEs

  • Idea: solve the problem in higher dimensional space
  • If our hidden state is a vector in \(\mathbb{R}^n\), we can add on \(d\) extra dimensions and solve the ODE in \(\mathbb{R}^{n+d}\)

ANODEs: Computational Cost

  • NFEs increase much faster for NODEs than ANODEs, presumably because ANODEs learn simpler flows

ANODEs: Image datasets

MNIST (top row) and CIFAR10 (bottom row). p indicates the size of the augmented dimension

ANODEs: Image datasets

Accuracy

ANODEs: Stability

Instabilities in the loss (left) and NFEs (right) on MNIST

Implementation

$ pip install torchdiffeq
$ git clone https://github.com/EmilienDupont/augmented-neural-odes
  • Install the packages
import torch
import seaborn
import matplotlib.pyplot as plt

from torchvision import datasets
from torchvision import transforms
from torch.utils.data import TensorDataset, DataLoader

from anode.conv_models import ConvODENet
from anode.models import ODENet
from anode.training import Trainer

from sklearn.datasets import load_iris
  • Import required packages

Implementation

hidden_dim = 10
augment_dim = 10
epochs = 20

device = torch.device('cpu')
  • Set some variables
  • Load the IRIS dataset
features, labels = load_iris(return_X_y=True)

iris = TensorDataset(torch.FloatTensor(features),
                     torch.LongTensor(labels))

train_loader = DataLoader(iris, shuffle=True, batch_size=16)

Implementation

node = ODENet(device,
              data_dim=4, 
              hidden_dim=hidden_dim,
              output_dim=3,
              augment_dim=0)

optimizer = torch.optim.Adam(node.parameters(), lr=1e-3)

trainer = Trainer(node, optimizer, device,
                  classification=True, verbose=False)

trainer.train(train_loader, num_epochs=epochs)
  • Train a Neural ODE

Implementation

node = ODENet(device,
              data_dim=4, 
              hidden_dim=hidden_dim,
              output_dim=3,
              augment_dim=0,
              time_dependent=True)

optimizer = torch.optim.Adam(node.parameters(), lr=1e-3)

trainer = Trainer(node, optimizer, device,
                  classification=True, verbose=False)

trainer.train(train_loader, num_epochs=epochs)
  • Train a time-dependent Neural ODE

Implementation

anode = ODENet(device,
              data_dim=4, 
              hidden_dim=hidden_dim,
              output_dim=3,
              augment_dim=augment_dim
             )

optimizer = torch.optim.Adam(anode.parameters(), lr=1e-3)

trainer = Trainer(anode, optimizer, device,
                  classification=True, verbose=False)

trainer.train(train_loader, num_epochs=epochs)
  • Train an Augmented Neural ODE

Implementation

anode = ODENet(device,
              data_dim=4, 
              hidden_dim=hidden_dim,
              output_dim=3,
              augment_dim=augment_dim,
              time_dependent=True
             )

optimizer = torch.optim.Adam(anode.parameters(), lr=1e-3)

trainer = Trainer(anode, optimizer, device,
                  classification=True, verbose=False)

trainer.train(train_loader, num_epochs=epochs)
  • Train a time-dependent Augmented Neural ODE

Implementation

Comparison of models

Implementation: ConvNet

batch_size = 256
n_classes = 10
train_loader = DataLoader(datasets.MNIST('.', train=True,
                          download=True,
                          transform=transforms.Compose([transforms.ToTensor(),
                          transforms.Normalize((0.0, ), (1.0, ))])),
                          batch_size=batch_size, shuffle=True)
test_loader = DataLoader(datasets.MNIST('.', train=False,
                         transform=transforms.Compose([transforms.ToTensor(),
                         transforms.Normalize((0.0, ), (1.0, ))])),
                         batch_size=batch_size, shuffle=True)


anode = ConvODENet(device, img_size=(1, 28, 28), num_filters=16,
                   output_dim=n_classes, augment_dim=5)
optimizer = torch.optim.Adam(anode.parameters(), lr=0.001)
trainer = Trainer(anode, optimizer, device, classification=True)
trainer.train(train_loader, num_epochs=50)

What’s next?

  • Graph Neural Ordinary Differential Equations

  • Deep Neural Networks Motivated by Partial Differential Equations

  • PDE-Net 2.0: Learning PDEs from data with a numeric-symbolic hybrid deep network

  • A mean-field optimal control formulation of deep learning

  • Deep learning theory review: An optimal control and dynamical systems perspective

  • Convolutional neural networks combined with runge-kutta methods
  • Neupde: Neural network based ordinary and partial differential equations for modeling time-dependent data

  • SNODE: Spectral Discretization of Neural ODEs for System Identification

What’s next?

  • FFJORD: Free-form Continuous Dynamics for Scalable Reversible Generative Models

  • Differential equations as models of deep neural networks

  • Approximation Capabilities of Neural Ordinary Differential Equations

  • Neural SDE: Stabilizing Neural ODE Networks with Stochastic Noise

  • Latent Ordinary Differential Equations for Irregularly-Sampled Time Series

  • ODE-Inspired Network Design for Single Image Super-Resolution

  • Neural ODEs with stochastic vector field mixtures

  • ODE2VAE: Deep generative second order ODEs with Bayesian neural networks

  • Accelerating Neural ODEs with Spectral Elements

References

References

Useful links

The fully explained article is available at

alirezaafzalaghaei.github.io

Any Question?

Thanks

Neural ODEs

By Alireza Afzal Aghaei

Neural ODEs

  • 2,910