Polarimetry of the eclipsing pulsar PSR J1748−2446A
Almog Yalinewich
19.10.18
Schematic
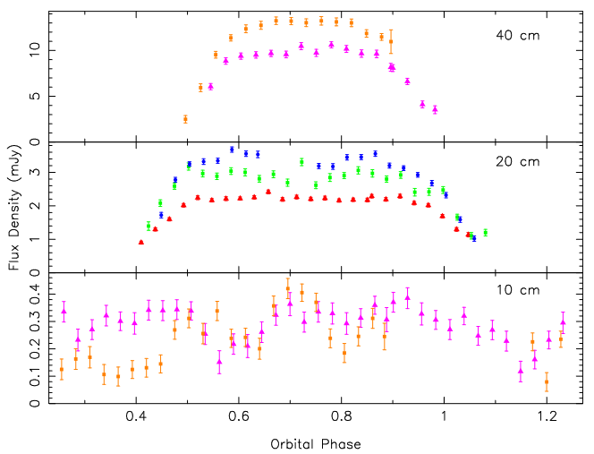
Eclipse at different frequencies

Constraint from constant pulse width at different frequencies
Free Free Absorption
Emissivity
Blackbody
Absorption

Temperature constraint
Absorption
Temperature less than 80K!
Gas will not be ionised
Apologetics

Arabian Nights
Large neutral density?
Ionisation fraction
Absorption will heat up plasma to
Cooling through charge exchange?
Polarisation outside Eclipse



Depolarisation during Eclipse

Minimum magnetic field from RM
Magnetic field configuarations
B
l
Random magnetic field, same path
B
l
Multipath in random magnetic field
B
l
Frequency dependence
Rotation angle decreases with wavelength
Power law distribution of magnetic field domains?
Lower wavelengths sensitive to smaller, stronger domains
polarimetry of an eclipsing binary
By almog yalinewich
polarimetry of an eclipsing binary
- 357

