Secular dynamics of binaries in stellar clusters I: general
formulation and dependence on cluster potentia


Almog Yalinewich
X ray binaries

Gravitational waves

Progenitors could not have formed that close
Gravitational waves - derivation
Schwartzschild radius
size of the universe
Binary in a Cluster

Tidal Field
gauge
centre of mass motion

Secular approximation
Binary period << Barycentre period
Orbits -> hoops
Hoop Energy
Inertia tensor
For Keplerian Binary Orbits
Keplerian Inertia Tensor
Solution of the Integral
Second Averaging

Keplerian Orbit
Almost any other potential

1D curve
2D surface
Convergence

Convergence 2

Convergence 3

Integration Variable
Integration Limits
Cylindrical Coordinates
Secular Hamiltonian
Axisymmetry
Spherical Symmetry
Kozai Lidov Mechanism
Keplerian potential
Vertical motion more important than horizontal

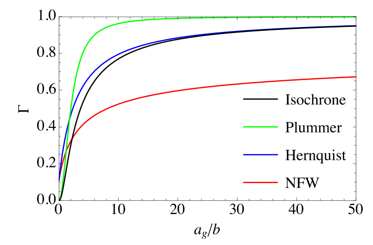
Anisotropy Parameter

weak dependence on eccentricity
Anisotropy Parameter

Coupling Constant

Almost indepedent of eccentricity
Coupling Constant

Dimensionless Hamiltonian
Integral of the motion
Time Evolution
Hamilton's Equations
Non Trivival Fixed Points
By definition
Condition for existance of fixed points
Libration vs Circulation


Can you reach the top?
Libration vs Circulation
Unstable fixed point @
Recalling that
Condition for circulation
Extremal Eccentricities
occur at fixed points
Extremal Eccentricities

Timescale for Change in Eccentricity
Oscillation timescale
Order of magnitude estimate
Phase Space Portraits

Phase Space Portraits

Phase Space Portraits

Phase Space Portraits

Phase Space Portraits

reversed separatrices for
Phase Space Portraits

Verification

Isochrone Potential
Verification
Miamoto Nagai Potential

time for neck stretches
Verification
Fit is not always that good for triaxial potentials

General Relativistic Potential
Paczynski Wiita potential
Orbital Averaging
remains a constant
Dimensionless Form
GR potential
tidal potential
Relativistic Precession
Compared with tidal precession
Extremal Eccentricities
GR tends to make orbits less eccentric
Epilogue


secular evolution of binaries in clusters
By almog yalinewich
secular evolution of binaries in clusters
- 520