Machine Learning Foundations

Week 9: Revision

Theorem

Goal :      \(\min \limits_x  f(x)\)

Let \(f\) be a differentiable and convex function from \(\mathbb R^d \rightarrow \mathbb R\), \(x^* \in \mathbb R^d\) is a global minimum of \(f\) if and only if \(\nabla f(x^*) = 0\).

Necessary and sufficient conditions  for optimality of convex functions

Additional Properties of Convex Functions

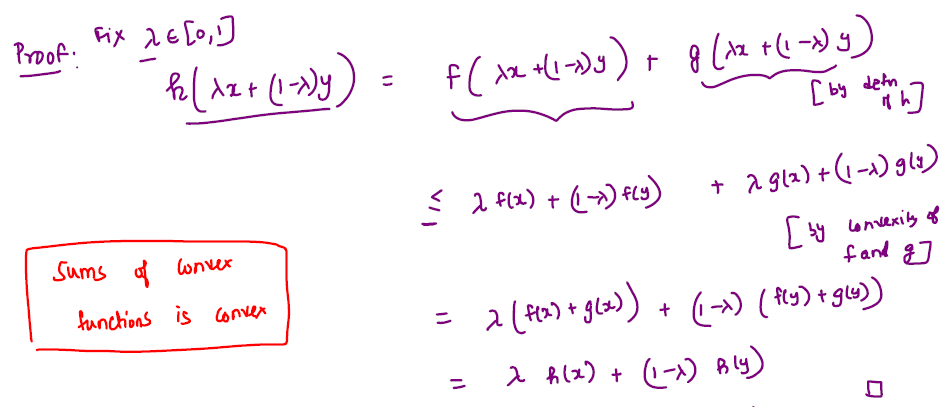
If \( f: \mathbb{R}^d \rightarrow \mathbb{R}, g: \mathbb{R}^d \rightarrow \mathbb{R}\) are both convex functions, then \( f(x) + g(x)\) is a convex function

https://katex.org/docs/supported.html

Additional Properties of Convex Functions

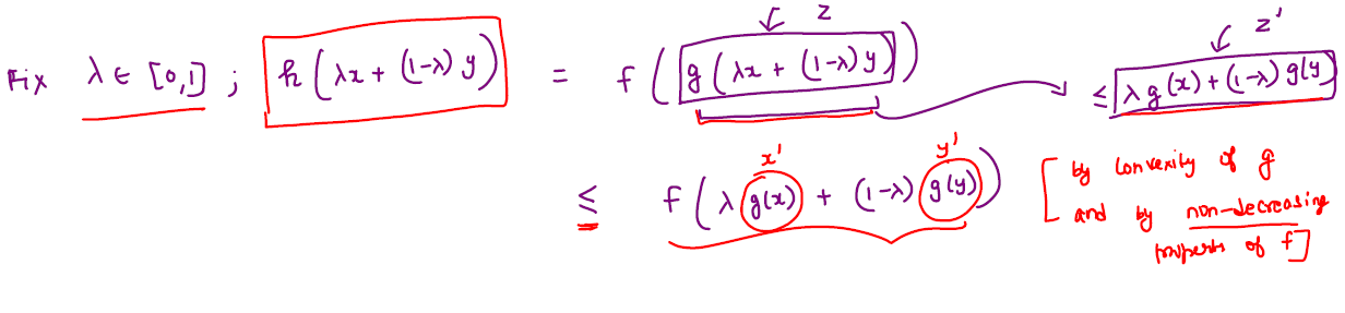
Let \(f: \mathbb{R} \rightarrow \mathbb{R}\) is a convex and non-decreasing function and \(g: \mathbb{R}^d \rightarrow \mathbb{R}\) be a convex function, then their composition \(h = f(g(x))\) is also a convex function.

Additional Properties of Convex Functions

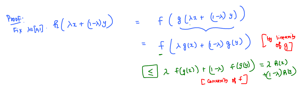
Let \(f: \mathbb{R} \rightarrow \mathbb{R}\) is a convex function and \(g: \mathbb{R}^d \rightarrow \mathbb{R}\) be a linear function, then their composition \( h = f(g(x))\) is also a convex function.

Additional Properties of Convex Functions

In general, if \(f\) and \(g\) are both convex functions, then \(h=fog\) may not be convex function.

Note: \(g\) is concave if and only if \(f=-g\) is convex.

Applications of Optimization in ML

Linear Regression:

Training data \(\rightarrow\) \({X_1,X_2,...,X_n}\) with corresponding outputs \({y_1,y_2,...,y_n}\), where \(X_i \in \mathbb R^d \) and \( y_i \in \mathbb R \), \( \forall i \).

Gradient of the sum of squares error

Analytical or closed form solution of coefficients \(w^*\) of a linear regression model

w^*=(X^TX)^{-1} X^Ty

Applications of Optimization in ML

In linear regression, the gradient descent approach avoids the inverse computation by iteratively updating the weights.

w^{t+1} = w^t - \eta_t \nabla f(w^t)) \\ w^{t+1} = w^t - \eta_t ((X^TX)w^t - X^Ty)

Stochastic gradient descent:

  • Computes approximation of gradient to make gradient computation faster (because in GD \(X^TX\) will use entire dataset).
  • Samples a small set of data points at random for every iteration to compute the gradient.

Constrained Optimization

Consider the constrained optimization problem as follows:

\min \limits_x f(x) \\ \text{subject to } h(x) \leq 0

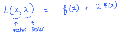
Lagrangian function:

Constrained Optimization

Note: depending upon if \(x\) is inside or outside the constrained set, we will get the objective value to be \(f(x)\) or \(\inf\).

Primal and dual problem

Weak Duality Strong Duality


 
If f and g are convex functions.
g(\lambda^*) \le f(x^*)
g(\lambda^*) = f(x^*)

Karush-Kuhn-Tucker Conditions

Consider the optimization problem with multiple equality and inequality constraints as follows:

\min \limits_x f(x) \\ \text{subject to } \\ h_i(x) \leq 0 \text{, } \forall i=1,...,m \\ l_j(x) = 0 \text{, } \forall j=1,...,n

The Lagrangian function is expressed as follows:

L(x,u,v)= f(x)+\sum_{i=1}^m u_i h_i(x)+\sum_{j=1}^n v_j l_j(x)

Karush-Kuhn-Tucker Conditions:

Example:

minimize 

\(f(x) = 2(x_1+1)^2 + 2(x_2-4)^2\)

subject to

\(x_1^2+x_2^2 \le 9\)

\(x_1+x_2 \ge 2\)

Machine Learning FoundationsWeek 3: Open Session

By Amrutha

Machine Learning FoundationsWeek 3: Open Session

  • 447