Redshift surveys in a nutshell
Learning optimal summaries with machine learning
Carolina Cuesta-Lazaro
16th December 2021 - CCA

Collaborators: Cheng-Zong Ruan, Yosuke Kobayashi, Alexander Eggemeier, Pauline Zarrouk, Sownak Bose, Takahiro Nishimichi, Baojiu Li, Carlton Baugh


Medical Imaging
Epidemiology: Agent Based simulations
Natural Language Processing
OBSERVED
SIMULATED

Cosmology


















Two representative MG models f(R) and nDGP:
- The background expansion is the same as LCDM
- One parameter to describe deviations from LCDM
(same large scale real space clustering)

Cosmology =

Neural Network Emulator
Galaxy =



WORK IN PROGRESS
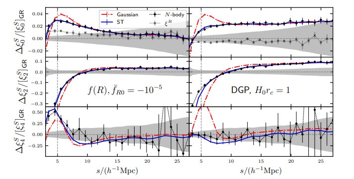
But... We know the late time galaxy field is non-Gaussian. How much information are we throwing away?
Voids
Clusters

How much information is still missing??
Input
x
Neural network
f
Representation
(Summary statistic)
r = f(x)
Output
o = g(r)


Invariance to known unknowns
Increased interpretability through structured inputs
Modelling cross-correlations
CCA
By carol cuesta
CCA
- 620