egp@vt.edu
Eric Paterson is Professor and Department Head of Aerospace and Ocean Engineering. For Fall 2013, he is teaching AOE 5984, Intro to Parallel Computing Applications with faculty from Virginia Tech's Advanced Research Computing.
# Assignment 8 - Due Friday 8 November 2013
#
# Introduction to OpenFOAM: set-up and tutorials
#
# 1. load the OpenFOAM environment on BlueRidge using the OpenFOAM module
#
# 2. modify your .bashrc so that it is automatically loaded upon login
#
# 3. verify that the OpenFOAM installation is functional
#
# 4. identify the environment variables which are set by the
# OpenFOAM environment. Based on these variables, identify:
# which C++ compiler was used, was OpenFOAM compiled as single- or
# double-precision, which MPI library is OpenFOAM linked to?
#
# 5. identify important OpenFOAM linux aliases. Hint: look in
# $WM_PROJECT_DIR/etc/config/
#
# 6. copy the tutorials in $FOAM_TUTORIALS to your $WORK directory
#
# 7. run the backward-facing-step tutorial,
# $WORK/tutorials/incompressible/simpleFoam/pitzDaily.
#
# 8. run a tutorial of your choice.
#
#
# What to hand in:
#
# 1. A text-file "report" which documents output from parts 2, 3, 4, 5.
#
# 2. Plot the solution residuals from part 7 to document convergence.
# Make an image of the velocity field using ParaView.
#
# 3. Communicate the results from part 8 using a plot and a visualization.
# Make sure to identify the solver and case that you studied.
#
Basic introduction to OpenFOAM
What is OpenFOAM
History
Capabilities
Online resources for help
Set-up on BlueRidge
modules
bashrc
environment variables and aliases
tutorials
OpenFOAM is a free-to-use open-source numerical simulation software with extensive CFD and multi-physics capabilities
Free-to-use means using the software without paying for license and support, including massively parallel computers: free 10,000-CPU CFD license!
Software under active development, capabilities mirror those of commercial CFD
Substantial user base in industry, research labs, and universities
Possibility of extension to non-traditional, complex or coupled physics
Physics model implementation through equation mimicking
Discretization: Polyhedral Finite Volume Method, second order in space and time
Lagrangian particle tracking (discrete element model)
Finite Area Method: 2-D FVM on curved surface in 3-D
Automatic mesh motion, support for topological changes
Parallelism via a domain decomposition model
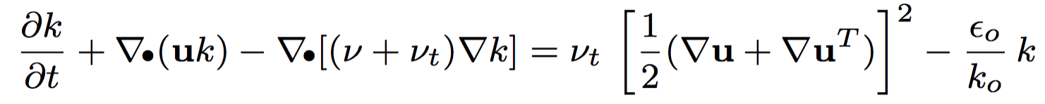
Example: turbulence kinetic energy equation
Objective: Represent differential equations in their natural language

Late 1980’s: Imperial College, Prof. David Gosman’s research group
1996: H. Jasak. PhD Thesis, Imperial College, University of London (1st PhD thesis on OF)
2000-2004: Nabla, Ltd, markets commercial product, FOAM
2004: Nabla makes OpenFOAM GPL
2004: OpenCFD, Ltd (Henry Weller) and Wikki, Ltd (Hrv Jasak)
Jan 2006: 1st OpenFOAM Workshop
Nov 2007: 1st OpenFOAM Conference (Open-source CFD Conference)
2009: FOAM Documentation Project was shut-down
Aug 2011: SGI purchases OpenCFD, Ltd.
Sep 2012: ESI Group purchases OpenCFD from SGI
[19:55:20][egp@egpMBP:utilities]532$ ls mesh parallelProcessingpreProcessing thermophysicalmiscellaneous postProcessingsurface
[20:07:00][egp@egpMBP-2:solvers]554$ ls
DNS compressible financial lagrangian
basic discreteMethods heatTransfer multiphase
combustion electromagnetics incompressible stressAnalysis U [0 1 -1 0 0 0 0] (25.75 3.62 0);
nut [0 2 -1 0 0 0 0] 0.14; RASModel SpalartAllmaras;
transportModel Newtonian;
nu [ 0 2 -1 0 0 0 0 ] 1e-05;



FoamFile { version 2.0;format ascii;class dictionary;object transportProperties;}transportModel Newtonian; nu nu [ 0 2 -1 0 0 0 0 ] 1e-05;
startFrom startTime; // latestTime // firstTimestartTime 0;stopAt endTime; // writeNow // nextWriteendTime 2500;deltaT 1;writeControl timeStep; // runTime // clockTime // cpuTimewriteInterval 50;writeFormat ascii; // binarywritePrecision 6;writeCompression uncompressed; // compressedtimeFormat general; // fixed // scientifictimePrecision 6;runTimeModifiable yes;
ddtSchemes
{
default steadyState;
}
gradSchemes
{
default Gauss linear;
grad(p) Gauss linear;
grad(U) Gauss linear;
}
divSchemes
{
default none;
div(phi,U) bounded Gauss linearUpwind grad(U);
div(phi,nuTilda) bounded Gauss linearUpwind grad(nuTilda);
div((nuEff*dev(T(grad(U))))) Gauss linear;
}
laplacianSchemes
{
default none;
laplacian(nuEff,U) Gauss linear corrected;
laplacian((1|A(U)),p) Gauss linear corrected;
laplacian(DnuTildaEff,nuTilda) Gauss linear corrected;
laplacian(1,p) Gauss linear corrected;
}
interpolationSchemes
{
default linear;
interpolate(U) linear;
}
snGradSchemes
{
default corrected;
}
fluxRequired
{
default no;
p ;
}
solvers
{
p
{
solver GAMG;
tolerance 1e-06;
relTol 0.1;
smoother GaussSeidel;
nPreSweeps 0;
nPostSweeps 2;
cacheAgglomeration true;
nCellsInCoarsestLevel 10;
agglomerator faceAreaPair;
mergeLevels 1;
}
U
{
solver smoothSolver;
smoother GaussSeidel;
nSweeps 2;
tolerance 1e-08;
relTol 0.1;
}
nuTilda
{
solver smoothSolver;
smoother GaussSeidel;
nSweeps 2;
tolerance 1e-08;
relTol 0.1;
}
}
SIMPLE
{
nNonOrthogonalCorrectors 0;
pRefCell 0;
pRefValue 0;
residualControl
{
p 1e-5;
U 1e-5;
nuTilda 1e-5;
}
}
relaxationFactors
{
fields
{
p 0.3;
}
equations
{
U 0.7;
nuTilda 0.7;
}
}
Basic Controls: Structure of Mesh Files
[01:58:35][egp@egpMBP-2:airFoil2D]586$ ls -l constant/polyMesh/
total 4480
-rw-r--r-- 1 egp staff 1202 May 17 09:19 boundary
-rw-r--r-- 1 egp staff 396698 May 17 09:19 cells
-rw-r--r-- 1 egp staff 1075986 May 17 09:19 faces
-rw-r--r-- 1 egp staff 106511 May 17 09:19 neighbour
-rw-r--r-- 1 egp staff 214431 May 17 09:19 owner
-rw-r--r-- 1 egp staff 486720 May 17 09:19 points
Basic Controls: Structure of Mesh Files
4
(
inlet
{
type patch;
physicalType inlet;
nFaces 134;
startFace 21254;
}
outlet
{
type patch;
physicalType outlet;
nFaces 160;
startFace 21388;
}
wall
{
type wall;
physicalType wall;
nFaces 78;
startFace 21548;
}
frontAndBack
{
type empty;
physicalType empty;
nFaces 21440;
startFace 21626;
}
)
dimensions [0 1 -1 0 0 0 0];
internalField uniform (25.75 3.62 0);
boundaryField
{
inlet
{
type freestream;
freestreamValue uniform (25.75 3.62 0);
}
outlet
{
type freestream;
freestreamValue uniform (25.75 3.62 0);
}
wall
{
type fixedValue;
value uniform (0 0 0);
}
frontAndBack
{
type empty;
}
}
2006: University of Zagreb, Croatia, 50
2007: University of Zagreb, Croatia 90
2008: Polytechnique de Milano, Italy, 250
2009: Montreal, Canada, 125
2011: Penn State, 230 (FIRST in USA)
2012: TU Darmstadt, 450
2013: Jeju Island (SNU), S. Korea, 225
2014: University of Zagreb, Croatia, ???
module availmodule listmodule load openmpi gsl OpenFOAMmodule swap gcc/4.7.2 intelmodule show OpenFOAM
module unload mvapich2module load openmpimodule load gslmodule load OpenFOAM. /opt/apps/intel13_1/openmpi1_6/OpenFOAM/2.2.0/OpenFOAM-2.2.0/etc/bashrc
[17:16:16][egp@brlogin1:egp]13015$ env|grep WM
WM_LINK_LANGUAGE=c++
WM_ARCH=linux64
WM_OSTYPE=POSIX
WM_THIRD_PARTY_DIR=/opt/apps/intel13_1/openmpi1_6/OpenFOAM/2.2.0/ThirdParty-2.2.0
WM_CXXFLAGS=-m64 -fPIC
WM_CFLAGS=-m64 -fPIC
WM_PROJECT_VERSION=2.2.0
WM_COMPILER_LIB_ARCH=64
WM_PROJECT_INST_DIR=/opt/apps/intel13_1/openmpi1_6/OpenFOAM/2.2.0
WM_CXX=g++
WM_PROJECT_DIR=/opt/apps/intel13_1/openmpi1_6/OpenFOAM/2.2.0/OpenFOAM-2.2.0
WM_PROJECT=OpenFOAM
WM_LDFLAGS=-m64
WM_COMPILER=Icc
WM_MPLIB=SYSTEMOPENMPI
WM_CC=gcc
WM_COMPILE_OPTION=Opt
WM_DIR=/opt/apps/intel13_1/openmpi1_6/OpenFOAM/2.2.0/OpenFOAM-2.2.0/wmake
WM_PROJECT_USER_DIR=/home/egp/OpenFOAM/egp-2.2.0
WM_OPTIONS=linux64IccDPOpt
WM_PRECISION_OPTION=DP
WM_ARCH_OPTION=64
[17:27:00][egp@brlogin1:egp]13017$ env|grep FOAM_
FOAM_SOLVERS=/opt/apps/intel13_1/openmpi1_6/OpenFOAM/2.2.0/OpenFOAM-2.2.0/applications/solvers
FOAM_EXT_LIBBIN=/opt/apps/intel13_1/openmpi1_6/OpenFOAM/2.2.0/ThirdParty-2.2.0/platforms/linux64IccDPOpt/lib
FOAM_APPBIN=/opt/apps/intel13_1/openmpi1_6/OpenFOAM/2.2.0/OpenFOAM-2.2.0/platforms/linux64IccDPOpt/bin
FOAM_TUTORIALS=/opt/apps/intel13_1/openmpi1_6/OpenFOAM/2.2.0/OpenFOAM-2.2.0/tutorials
FOAM_JOB_DIR=/opt/apps/intel13_1/openmpi1_6/OpenFOAM/2.2.0/jobControl
FOAM_SITE_APPBIN=/opt/apps/intel13_1/openmpi1_6/OpenFOAM/2.2.0/site/2.2.0/platforms/linux64IccDPOpt/bin
FOAM_APP=/opt/apps/intel13_1/openmpi1_6/OpenFOAM/2.2.0/OpenFOAM-2.2.0/applications
FOAM_SITE_LIBBIN=/opt/apps/intel13_1/openmpi1_6/OpenFOAM/2.2.0/site/2.2.0/platforms/linux64IccDPOpt/lib
FOAM_SRC=/opt/apps/intel13_1/openmpi1_6/OpenFOAM/2.2.0/OpenFOAM-2.2.0/src
FOAM_SIGFPE=
FOAM_UTILITIES=/opt/apps/intel13_1/openmpi1_6/OpenFOAM/2.2.0/OpenFOAM-2.2.0/applications/utilities
FOAM_USER_LIBBIN=/home/egp/OpenFOAM/egp-2.2.0/platforms/linux64IccDPOpt/lib
FOAM_INST_DIR=/opt/apps/intel13_1/openmpi1_6/OpenFOAM/2.2.0
OPENFOAM_BIN=/opt/apps/intel13_1/openmpi1_6/OpenFOAM/2.2.0/OpenFOAM-2.2.0/bin
FOAM_MPI=openmpi-system
FOAM_LIBBIN=/opt/apps/intel13_1/openmpi1_6/OpenFOAM/2.2.0/OpenFOAM-2.2.0/platforms/linux64IccDPOpt/lib
FOAM_SETTINGS=
FOAM_RUN=/home/egp/OpenFOAM/egp-2.2.0/run
OPENFOAM_DIR=/opt/apps/intel13_1/openmpi1_6/OpenFOAM/2.2.0
FOAM_USER_APPBIN=/home/egp/OpenFOAM/egp-2.2.0/platforms/linux64IccDPOpt/bin alias h=history
alias ls="ls -G"
alias work="cd $WORK"
alias scr="cd $SCRATCH"
alias pvload="module swap intel gcc/4.7.2 && module load qt python ParaView"
alias ofload="module swap gcc/4.7.2 intel"
alias pv="touch foam.foam && paraview --data=foam.foam"
alias pvs="touch foam.foam && pvserver -ch=localhost -rc" [17:27:03][egp@brlogin1:egp]13018$ echo $FOAM_TUTORIALS/opt/apps/intel13_1/openmpi1_6/OpenFOAM/2.2.0/OpenFOAM-2.2.0/tutorials[17:29:20][egp@brlogin1:egp]13019$ echo $FOAM_RUN/home/egp/OpenFOAM/egp-2.2.0/run[17:29:53][egp@brlogin1:egp]13020$ run[17:31:23][egp@brlogin1:run]13021$ cp $FOAM_TUTORIALS tutorials
[17:31:23][egp@brlogin1:run]13021$ cd tutorials/
[17:35:19][egp@brlogin1:tutorials]13024$ ls -l
total 265
-rwxr-xr-x 1 egp 490 Jun 2 22:00 Allclean
-rwxr-xr-x 1 egp 2857 Jun 2 22:00 Allrun
-rwxr-xr-x 1 egp 5991 Jun 2 22:00 Alltest
drwxr-xr-x 5 egp 99 Jun 2 22:00 basic
drwxr-xr-x 8 egp 159 Jun 2 22:00 combustion
drwxr-xr-x 11 egp 289 Jun 2 22:00 compressible
drwxr-xr-x 4 egp 61 Jun 2 22:00 discreteMethods
drwxr-xr-x 3 egp 25 Jun 2 22:00 DNS
drwxr-xr-x 4 egp 60 Jun 2 22:00 electromagnetics
drwxr-xr-x 3 egp 31 Jun 2 22:00 financial
drwxr-xr-x 8 egp 238 Jun 2 22:00 heatTransfer
drwxr-xr-x 15 egp 423 Jun 2 22:00 incompressible
drwxr-xr-x 9 egp 268 Jun 2 22:00 lagrangian
drwxr-xr-x 4 egp 64 Jun 2 22:00 mesh
drwxr-xr-x 17 egp 522 Jun 2 22:00 multiphase
drwxr-xr-x 3 egp 26 Jun 2 22:00 resources
drwxr-xr-x 4 egp 89 Jun 2 22:00 stressAnalysis [17:46:04][egp@brlogin1:airFoil2D]13046$ cat Allrun
#!/bin/sh
cd ${0%/*} || exit 1 # run from this directory
# Source tutorial run functions
. $WM_PROJECT_DIR/bin/tools/RunFunctions
application=`getApplication`
runApplication $application
# ----------------------------------------------------------------- end-of-file
qsub -I -W group_list=blueridge -q normal_q -l nodes=2:ppn=16 -l walltime=5:00 -A AOE5984 qsub case1.job #!/bin/bash
#PBS -l walltime=24:00:00
#PBS -l nodes=12:ppn=16
#PBS -W group_list=blueridge
#PBS -q normal_q
#PBS -A AOE5984
#PBS -M egp@vt.edu
#PBS -m bea
module purge
module load intel openmpi OpenFOAM
cd $PBS_O_WORKDIR
pwd
# Print a message before running the program
# echo "------------------------------------------"
# echo "Running decomposePar!"
# echo "------------------------------------------"
decomposePar -cellDist 2>&1 | tee log.decomposePar
# Print a message before running the program
echo "------------------------------------------"
echo "Running pisoFOAM!"
echo "Number of processors = " $PBS_NP
echo "------------------------------------------"
mpirun -bind-to-core -np $PBS_NP pisoFOAM -parallel 2>&1 | tee log.pisoFOAM
# Print a message before running the program
echo "------------------------------------------"
echo "Running sample utility!"
echo "Number of processors = " $PBS_NP
echo "------------------------------------------"
mpirun -bind-to-core -np $PBS_NP sample -parallel 2>&1 | tee log.sample
exit; 
By egp@vt.edu
OpenFOAM for AOE 5984, Fall 2013. These lectures will cover the following topics: 1) introduction and set-up on BlueRidge; 2) parallel computing; 3) data analysis and visualization; 4) meshing for OpenFOAM CFD simulations.
Eric Paterson is Professor and Department Head of Aerospace and Ocean Engineering. For Fall 2013, he is teaching AOE 5984, Intro to Parallel Computing Applications with faculty from Virginia Tech's Advanced Research Computing.