104intersection

Epitech Lyon - Math tek1

Disclaimer

  • Ca parle principalement du projet.
  • Ca ne donne aucune solution.
  • Ca contient une rapide introduction au cours.
  • Il y a des maths.

Pourquoi ?

Comment ?

Sérieusement... Comment ?

Synopsis

Sphere

EZPZ

Monsieur, j'ai pas compris ? ...

Un élève au hasard, après avoir suivi ce cours

Systèmes de coordonnées

  • Coordonnées cartésiennes
  • Coordonnées sphériques
  • Coordonnées cylindriques
  • Conversion entre systèmes
  • Peut alléger les équations

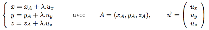
Droite

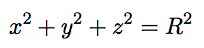
Sphere origine

Intersection

: constante (valeur déjà connue)

Equation du second degré

Mentions légales

  • Aucune image ne m'appartient
  • Merci Wikipédia
  • Excellente soirée à vous !

Epitech Lyon - Math - 104intersection

By emerick42

Epitech Lyon - Math - 104intersection

  • 1,600