207demography

Epitech Lyon - Math tek2

Disclaimer

  • Ca parle principalement du projet.
  • Ca ne donne aucune solution.
  • Ca contient une très rapide introduction au cours.
  • Toujours des statistiques.

Le principe de Corrélation

Très souvent, il existe en pratique une relation entre deux variables ou plus. Il est souvent utile de pouvoir exprimer cette relation sous la forme d'une formule mathématique.

Etude démographique

Ce qu'on doit faire

"Lest-squares regression line"

droite

régression

carrés

moindre

Relation entre variables

Représentation graphique

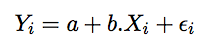
Equation d'ajustement

Terme d'erreur

Méthode des moindres carrés

Droite des moindres carrés 

Exemple

Synopsis

Idées bonus

  • Langage : Ti Basic (original ou émulateur)
  • Des graphiques, tout plein de graphiques !

Mentions légales

  • Aucune image ne m'appartient
  • Merci Wikipédia
  • Excellente soirée à vous !

Epitech Lyon - Math - 207demography

By emerick42

Epitech Lyon - Math - 207demography

  • 2,591