206neutrinos

Epitech Lyon - Math tek2

Disclaimer

  • Ca parle principalement du projet.
  • Ca ne donne aucune solution.
  • Ca contient une très rapide introduction au cours.
  • On passe aux statistiques !

Le voyage dans le temps

La VRAIE problématique...

... stockage et performance

Les maths

Les statistiques

Population

Echantillon

Caractère

Mesure des tendances

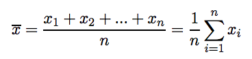
Moyenne arithmétique

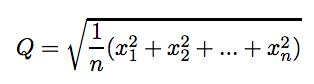
Moyenne quadratique

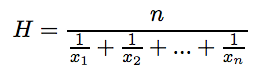
Moyenne harmonique

Mediane et mode

Variance et écart-type

Le point König-Huygens

Synopsis

Exemple

Bonus Time !

Owi, il a encore pensé à mettre un slide pour ça !

Quelqu'un ?

Idées bonus

  • Langage : Erlang
  • Une implémentation d'un voyage dans le temps ? :D

Mentions légales

  • Aucune image ne m'appartient
  • Merci Wikipédia
  • Excellente soirée à vous !

Epitech Lyon - Math - 206neutrinos

By emerick42

Epitech Lyon - Math - 206neutrinos

  • 1,495