208dowels
Epitech Lyon - Math tek2

Disclaimer
- Ca parle principalement du projet.
- Ca ne donne aucune solution.
- Ca contient une très rapide introduction au cours.
- Des statistiques appliquées aux probabilités.
Lois de probabilité



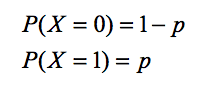
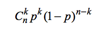
Bernoulli
Poisson
Binomiale
Passer d'une statistique...

... à une probabilité !

Des idées ?
Hey les gars ! Et si on essayait d'appliquer toutes les lois de probabilité qu'on connait, qu'on mesurait la différence entre les résultats théoriques et les valeurs réelles, ça pourrait permettre de trouver la loi la plus proche de notre expérience, non ??
Steven, le gars de la cantine


(Parenthèse définitions)
Tentative de loi uniforme

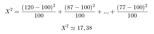
Test du Khi2

Si X^2 = 0, les effectifs observés et théoriques sont identiques.
Si X^2 > 0, ils ne sont pas exactement identiques.
Plus la valeur de X^2 est grande, plus les écarts entre les effectifs observés et théoriques sont grands.
Avec notre exemple


Plus qu'à lire la table...

C'est quoi ce "v" ???
Le paramètre v est le nombre de valeurs des effectifs théoriques indépendantes lorsque l'on applique la loi de probabilité.
Pour finir notre exemple

Le projet !


Ce qu'on doit faire

Synopsis

Exemple

Idées bonus
- Langage : Go (pour le plaisir)
- Des tests avec d'autres lois de probabilité

Mentions légales
- Aucune image ne m'appartient
- Merci Wikipédia
- Excellente soirée à vous !
Epitech Lyon - Math - 208dowels
By emerick42
Epitech Lyon - Math - 208dowels
- 1,940