110borwein
Epitech Lyon - Math tek1

Disclaimer
- Ca parle principalement du projet.
- Ca ne donne aucune solution.
- Ca contient une très rapide introduction au cours.
- C'est l'inverse du 109.
La famille Borwein

David, le papa

- Mathématicien
- Doctorat avec une thèse intitulée Cesaro Summability of Integrals
- Directeur du département mathématique de l'Université de Western Ontario
Bessie, la maman

- Anatomiste
- Doyenne en médecine de l'Université de Western Ontario
- Membre de Madame Vanier's Children Service
- Membre de Alzheimer's Society of London
- Membre de Ontario Breast Screening Program Research Advisory Committee
- Membre de Foundation for Gene and Celle Therapy
- Membre de Board of Trustees of the National Institute for Nutrition
- Membre de Scientific Advisory Committee for the Youth Science Foundation
Peter, le petit frère

- Mathématicien
- Professeur à l'Université Simon Fraser
- Co-auteur d'un algorithme pour déterminer un MILLIARD de décimales du nombre Pi
- Co-auteur de la formule Bailey-Borwein-Plouffe
Jonathan, le grand frère

- Mathématicien
- Professeur à l'Université de Newcastle (Australie)
- Auteur de plus de 400 articles et une dizaine de livres
- Président de la Société Mathématique du Canada
- Membre de la Société Royale du Canada
Intégrales de Borwein



Les dérivées

Dérivation

Extrait du cours du projet 109
Graphiquement

Mathématiquement

Fin du rappel

Intégration

Graphiquement
Mathématiquement

Ce qu'on demande

Synopsis

Exemple

Algo Time !
G lu atantivemant le sujé... Sa parle 2 rektangle, 2 trapaise, é 2 Simpson. MAI C KOI???
Un 2000
Informatiquement

Méthode des Rectangles


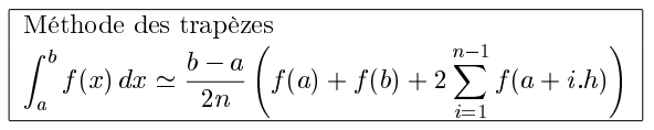
Méthode des Trapèzes


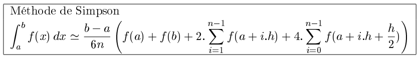
Méthode de Simpson



Mentions légales
- Aucune image ne m'appartient
- Merci Wikipédia
- C'était le dernier cours avec vous

Epitech Lyon - Math - 110borwein
By emerick42
Epitech Lyon - Math - 110borwein
- 1,869