dr.federica bianco | fbb.space |    fedhere |    fedhere 

Artifiacial Neural networks

 

data science for

(physical) scientists 10

 

this slide deck:

 
  • Machine Learning basic concepts
    • interpretability
    • parameters vs hyperparameters
    • supervised/unsupervised


  • CART methods
  • Clustering methods
  • Neural Networks
  • Neural Networks
    • the brain connection
    • perceptron
    • learning
    • activation functions
    • shallow nets
    • deep nets architecture
    • back-propagation
    • preprocessing and whitening (minibatch)

 

Recap: Data Science

0

DSPS

 

Data Science

The discipline that deals with extraction of information from data in a specific domain context, from data collection through inference

                (Problem Identification and Planning)

  • Data Collection
  • Data Exploration
  • Data Preparation
  • Model Identification
  • Model Building
  • Model Evaluation
  • Model Deployment.

Data Science

The discipline that deals with extraction of information from data in a specific domain context, from data collection through inference

                (Problem Identification and Planning)

  • Data Collection
  • Data Exploration
  • Data Preparation
  • Model Identification
  • Model Building
  • Model Evaluation
  • Model Deployment.

remote sensing

 

survey science

 

instrumental design and development

 

data retrieval

...

Data Science

The discipline that deals with extraction of information from data in a specific domain context, from data collection through inference

                (Problem Identification and Planning)

  • Data Collection
  • Data Exploration
  • Data Preparation
  • Model Identification
  • Model Building
  • Model Evaluation
  • Model Deployment.

data types

identify correlation

missing variable

...

Data Science

The discipline that deals with extraction of information from data in a specific domain context, from data collection through inference

                (Problem Identification and Planning)

  • Data Collection
  • Data Exploration
  • Data Preparation
  • Model Identification
  • Model Building
  • Model Evaluation
  • Model Deployment.

Imputation

 

Scaling and

whitening

 

tokenizing

...

 

 

Data Science

The discipline that deals with extraction of information from data in a specific domain context, from data collection through inference

                (Problem Identification and Planning)

  • Data Collection
  • Data Exploration
  • Data Preparation
  • Model Identification
  • Model Building
  • Model Evaluation
  • Model Deployment.

what is the goal:

statistical analysis

anomaly detection

prediction

structure identification

....

 

what is the task:

regression

classification

 

 

Data Science

The discipline that deals with extraction of information from data in a specific domain context, from data collection through inference

                (Problem Identification and Planning)

  • Data Collection
  • Data Exploration
  • Data Preparation
  • Model Identification
  • Model Building
  • Model Evaluation
  • Model Deployment.

SciPy

Data Science

The discipline that deals with extraction of information from data in a specific domain context, from data collection through inference

                (Problem Identification and Planning)

  • Data Collection
  • Data Exploration
  • Data Preparation
  • Model Identification
  • Model Building
  • Model Evaluation
  • Model Deployment.

Data driven models for exploration of structure and prediction that learn parameters from data.

Machine Learning

y

x

x

y

Reinforcement Learning

Active Learning

unupervised learning                      supervised learning

Data driven models for exploration of structure, prediction that learn parameters from data.

unupervised            ------            supervised

set up: All features known for all observations

Goal: explore structure in the data

- data compression

- understanding structure

- anomaly detection

Algorithms: kMeans clustering, DBSCAN, Agglomerative clustering

x

y

Machine Learning

Data driven models for exploration of structure, prediction that learn parameters from data.

unupervised            ------            supervised

set up: All features known for a sunbset of the data; one feature cannot be observed for the rest of the data

Goal: predicting missing feature

-  classification

- regression

Algorithms: regression, (SVM), Classification and Regression Tree  methods, k-nearest neighbors,            neural networks, (...)

x

y

Machine Learning

unupervised            ------            supervised

unupervised            ------            supervised

Machine Learning

set up: All features known for a sunbset of the data; one feature cannot be observed for the rest of the data

Goal: predicting missing feature

-  classification

- regression

Algorithms: regression, (SVM), Classification and Regression Tree  methods, k-nearest neighbors,            neural networks, (...)

set up: All features known for all observations

Goal: explore structure in the data

- data compression

- understanding structure

- anomaly detection

Algorithms: kMeans clustering, DBSCAN, Agglomerative clustering

Learning relies on the definition of a loss function

learning type loss / target
unsupervised intra-cluster variance / inter cluster distance
supervised distance between prediction and truth

Machine Learning

model parameters are learned by calculating a loss function for diferent parameter sets and trying to minimize loss (or a target function and trying to maximize)


e.g. supervised

L1  = |target - prediction|

Learning relies on the definition of a loss function

Machine Learning

supervised and unsupervised

e.g. unsupervised

Inertia =                                     

 

 

\sum_j \sum_i x_{i\in j} - \bar{x_j}

model parameters are learned by calculating a loss function for diferent parameter sets and trying to minimize loss (or a target function and trying to maximize)

e.g.

L1  = |target - prediction|

Learning relies on the definition of a loss function

Machine Learning

Supervised Learning tasks

regression                 ------                 classification

Target Variable: CONTINUOUS

(age, income, temperature...)

Target Variable: Categorical

(color, shape, income class...)

Interaction with the environment builds a reward function

Machine Learning

reinforcement

The goal of the agent is to maximize a cumulative reward signal over time

The objective is not to predict a specific output but to learn a policy or strategy that maximizes the cumulative reward over time.

 

Minkowski distance

 

 

                                            Jaccard similarity

 

 

                                            Great circle distance

B
{A\cap B}
A

The definition of a loss function requires the definition of distance or similarity

Machine Learning

mean square error

Distances are at the heart of ML

mean absolute error

L_1 = \Sigma \left| y_{true} - y_{predicted}\right|
L_2= \Sigma \left( y_{true} - y_{predicted}\right)^2

mean square error

hyperparameters

mean absolute error

L_1 = \Sigma \left| y_{true} - y_{predicted}\right|
L_2= \Sigma \left( y_{true} - y_{predicted}\right)^2

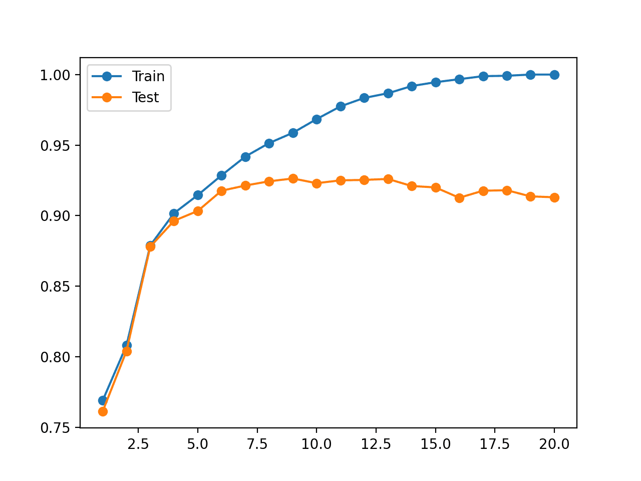
Overfitting

What are the symptoms

How can we fix it?

model performance (accuracy)

tree depth

tree depth

Overfitting

What are the symptoms

How can we fix it?

model performance (accuracy)

model performance (accuracy)

tree depth

tree depth

ANN training epochs

what is the simplest classifier you can build for this dataset that is better than random guessing? 

what is the accuracy?

x

y

Class Imbalance

If your dataset is imbalanced (more of one class than the other)

your model will learn that it is better to guess the most common class

this will contaminate the prediction

neural networks

NN are a vast topics and we only have 2 weeks!

Some FREE references!

 

michael nielsen

better pedagogical approach, more basic, more clear

ian goodfellow

mathematical approach,  more advanced, unfinished

michael nielsen

better pedagogical approach, more basic, more clear

NN:

 

Neural Networks

1

origins

the      brain

1943

M-P Neuron McCulloch & Pitts 1943

In 1943, neurophysiologist Warren McCulloch and mathematician Walter Pitts wrote a paper on how neurons might work. In order to describe how neurons in the brain might work, they modeled a simple neural network using electrical circuits.

 

Neurons (nerve cells) are connected into a network: dendrites receive incoming messages from other nerve cells; axons carry outgoing signals,

Neurons communicates with other cells through electrical impulses releasing chemicals that pass through the synapse, the gap between two nerve cells, and attach to receptors on the receiving cell. 

1943

M-P Neuron McCulloch & Pitts 1943

1943

M-P Neuron McCulloch & Pitts 1943

M-P Neuron

1943

M-P Neuron

its a classifier

M-P Neuron McCulloch & Pitts 1943

M-P Neuron

1943

1 ~\mathrm{if} ~\sum_{i=1}^3x_i \geq\theta ~\mathrm{else}~ 0

M-P Neuron McCulloch & Pitts 1943

\sum_{i=1}^3x_i

M-P Neuron

θ is a threshold 

1943

1 ~\mathrm{if} ~\sum_{i=1}^3x_i \geq\theta ~\mathrm{else}~ 0

M-P Neuron McCulloch & Pitts 1943

\sum_{i=1}^3x_i

M-P Neuron

θ is called "bias"

y= \begin{cases} 1~ if~ \sum_i(x_i w_i) + \theta~\geq0\\ 0 ~if~ \sum_i(x_i w_i) + \theta ~<~0 \end{cases}

1943

if     is Bool (True/False)

what value of

corresponds to logical AND?

x_i
\theta

M-P Neuron McCulloch & Pitts 1943

1 ~\mathrm{if} ~\sum_{i=1}^3x_i \geq\theta ~\mathrm{else}~ 0

if x1 and x2 and x3

The perceptron algorithm : 1958, Frank Rosenblatt

1958

Perceptron

The perceptron algorithm : 1958, Frank Rosenblatt

1958

Perceptron

The perceptron algorithm : 1958, Frank Rosenblatt

1958

Perceptron

The perceptron algorithm : 1958, Frank Rosenblatt

.

.

.

 

x_1
x_2
x_N
+b

output

weights

w_i

bias

b

linear regression:

w_2
w_1
w_N

1958

Perceptron

1 ~\mathrm{if} ~\sum_{i=1}^Nw_ix_i \geq b ~\mathrm{else}~ 0

Perceptrons are linear classifiers: makes its predictions based on a linear predictor function

combining a set of weights (=parameters) with the feature vector.

The perceptron algorithm : 1958, Frank Rosenblatt

x

y

1958

y ~= ~\sum_i w_ix_i ~+~ b

.

.

.

 

x_1
x_2
x_N
+b
w_2
w_1
w_N

output

weights

bias

b
y ~= ~\sum_i w_ix_i ~+~ b

M-P Neuron (McCulloch & Pitts 1943)

y= \begin{cases} 1~ \mathrm{if}~ \sum_i(x_i w_i) + \theta~\geq0\\ 0 ~\mathrm{if}~ \sum_i(x_i w_i) + \theta ~<~0 \end{cases}
w_i

PERCEPTRON : 1958, Frank Rosenblatt

+b
f
w_2
w_1
w_N

output

f

activation function

weights

w_i

bias

b

.

.

.

 

x_1
x_2
x_N
y ~= f(~\sum_i w_ix_i ~+~ b)
f( ~~~~~~~~~~~~~~~~~~~~~~~ )
y= \begin{cases} 1~ \mathrm{if}~ f(\sum_i(x_i w_i) + \theta)~\geq0\\ 0 ~\mathrm{if}~ f(\sum_i(x_i w_i) + \theta) ~<~0 \end{cases}

PERCEPTRON : 1958, Frank Rosenblatt

+b
f
w_2
w_1
w_N

output

f

activation function

weights

w_i

bias

b

sigmoid

f
\sigma = \frac{1}{1 + e^{-z}}

.

.

.

 

x_1
x_2
x_N
y ~= f(~\sum_i w_ix_i ~+~ b)
f( ~~~~~~~~~~~~~~~~~~~~~~~ )
y= \begin{cases} 1~ \mathrm{if}~ f(\sum_i(x_i w_i) + \theta)~\geq0\\ 0 ~\mathrm{if}~ f(\sum_i(x_i w_i) + \theta) ~<~0 \end{cases}

activation functions

2

common in Multilayer Perceptrons

common in Convolutional Neural Networks

common in Multilayer Perceptrons

Common in Recurent Neural Networks and "Long Short Term Memory" NN

The perceptron algorithm : 1958, Frank Rosenblatt

+b
f
w_2
w_1
w_N

output

f

activation function

weights

w_i

bias

b

.

.

.

 

x_1
x_2
x_N

Perceptron

The perceptron algorithm : 1958, Frank Rosenblatt

Perceptron

The Navy revealed the embryo of an electronic computer today that it expects will be able to walk, talk, see, write, reproduce itself and be conscious of its existence.

The embryo - the Weather Buerau's $2,000,000 "704" computer - learned to differentiate between left and right after 50 attempts in the Navy demonstration

NEW NAVY DEVICE LEARNS BY DOING; Psychologist Shows Embryo of Computer Designed to Read and Grow Wiser

July 8, 1958

The perceptron algorithm : 1958, Frank Rosenblatt

Perceptron

July 8, 1958

...2020

https://www.nature.com/articles/s41599-025-05868-8

ADELINE and MADELINE 1962 - B. Widrow & M. Hoff

learning

3

widrow-hoff rule

 Weight Change = (Pre-Weight line value)(Error / (Number of Inputs)).

widrow-hoff rule

how do you choose the parameters?

The perceptron algorithm : 1958, Frank Rosenblatt

+b
f
w_2
w_1
w_N

output

sigmoid

f
\sigma = \frac{1}{1 + e^{-z}}

.

.

.

 

x_1
x_2
x_N
y ~= f(~\sum_i w_ix_i ~+~ b)

learning from here

ADELINE and MADELINE 1962 - B. Widrow & M. Hoff

learning from here

Perceptrons are linear classifiers: makes its predictions based on a linear predictor function

combining a set of weights (=parameters) with the feature vector.

x

y

Problem:

can only learn linearlyseparate patterns

...   time went by... 2+ DECADES

ADELINE and MADELINE 1962 - B. Widrow & M. Hoff

2

Problem:

Single-layer perceptrons are only capable of learning linearly separable patterns.

1943

AND

OR

XOR

M-P Neuron McCulloch & Pitts 1943

1 ~\mathrm{if} ~\sum_{i=1}^3x_i \geq\theta ~\mathrm{else}~ 0

if x1 and x2 and x3

Deep Learning

3

DNN:

 

multilayer perceptron

x_2
x_3

output

x_1

layer of perceptrons

b_1
b_2
b_3
b_4
b

multilayer perceptron

x_2
x_3

output

input layer

hidden layer

output layer

1970: multilayer perceptron architecture

x_1

Fully connected: all nodes go to all nodes of the next layer.

b_1
b_2
b_3
b_4

multilayer perceptron

x_2
x_3

output

x_1

layer of perceptrons

b_1
b_2
b_3
b_4
b
w_{11}
w_{12}
w_{13}
w_{14}

multilayer perceptron

x_2
x_3

output

x_1

layer of perceptrons

b_1
b_2
b_3
b_4
b
w_{21}
w_{22}
w_{23}
w_{24}

multilayer perceptron

layer of perceptrons

x_2
x_3

output

x_1

layer of perceptrons

b_1
b_2
b_3
b_4
b
w_{31}
w_{32}
w_{33}
w_{34}

multilayer perceptron

x_2
x_3

output

Fully connected: all nodes go to all nodes of the next layer.

layer of perceptrons

x_1
w_{11}x_1 + w_{12}x_2 + w_{13}x_3 + w_{14}x_4 + b1

multilayer perceptron

x_2
x_3

output

Fully connected: all nodes go to all nodes of the next layer.

layer of perceptrons

w_{11}x_1 + w_{12}x_2 + w_{13}x_3 + b1
w_{21}x_1 + w_{22}x_2 + w_{23}x_3 + b2
w_{31}x_1 + w_{32}x_2 + w_{33}x_3 + b3
w_{41}x_1 + w_{42}x_2 + w_{43}x_3 + b4
x_1

w: weight

sets the sensitivity of a neuron

 

b: bias:

up-down weights a neuron

 

 

learned parameters

multilayer perceptron

x_2
x_3

output

Fully connected: all nodes go to all nodes of the next layer.

layer of perceptrons

f(w_{11}x_1 + w_{12}x_2 + w_{13}x_3 + b1)
f(w_{21}x_1 + w_{22}x_2 + w_{23}x_3 + b1)
f(w_{31}x_1 + w_{32}x_2 + w_{33}x_3 + b1)
f(w_{41}x_1 + w_{42}x_2 + w_{43}x_3 + b1)
x_1

w: weight

sets the sensitivity of a neuron

 

b: bias:

up-down weights a neuron

 

 

f: activation function:

turns neurons on-off

 

multilayer perceptron

what we are doing is exactly a series of matrix multiplictions. 

DNN:

 

hyperparameters of DNN

4

EXERCISE

output

how many parameters?

input layer

hidden layer

output layer

hidden layer

output

input layer

hidden layer

output layer

hidden layer

how many hyperparameters?

EXERCISE

output

input layer

hidden layer

output layer

hidden layer

  1. number of layers-  1
  2. number of neurons/layer-   
  3. activation function/layer-  
  4. layer connectivity-       
N_l
N_l ^ {~??}

how many hyperparameters?

EXERCISE

GREEN: architecture hyperparameters

 

 

N_l

output

input layer

hidden layer

output layer

hidden layer

  1. number of layers-  1
  2. number of neurons/layer-   
  3. activation function/layer-  
  4. layer connectivity-       
  5. optimization metric - 1
  6. optimization method - 1
  7. parameters in optimization- M
N_l
N_l ^ {~??}

how many hyperparameters?

EXERCISE

GREEN: architecture hyperparameters

RED: training hyperparameters

 

N_l

output

input layer

hidden layer

output layer

hidden layer

4x3+3

3x1+1

4

how many parameters?

EXERCISE

3x4+4

output

input layer

hidden layer

output layer

hidden layer

4x3+3

3x1+1

4

how many parameters?

EXERCISE

3x4+4

35

wx27

bx8

EXERCISE

DNN:

 

training DNN

5

deep neural net

Fully connected: all nodes go to all nodes of the next layer.

1986: Deep Neural Nets

\vec{y} = f_N(....(f_1(\vec{x}{ W_i + b_1}...W_N + b_N)))

f: activation function:

turns neurons on-off

 

w: weight

sets the sensitivity of a neuron

 

b: bias:

up-down weights a neuron

 

 

In a CNN these layers would not be fully connected except the last one

 

Seminal paper 

Y. LeCun 1998

.

.

.

 

x_1
x_2
x_N
+b
\vec{y} = \vec{x}W + b

Any linear model: 

w_2
w_1
w_N
y

y : prediction

ytrue : target

Error: e.g.

 

L_2~=~(y - y_\mathrm{true})^2

intercept

slope

L2

x

Find the best parameters by finding the minimum of the L2 hyperplane

 

at every step look around and choose the best direction

 back-propagation

 back-propagation

how does linear descent look when you have a whole network structure with hundreds of weights and biases to optimize??

x_{j}~=~\sum_i y_{i}w_{ji} ~~~~~~ y_j~=\frac{1}{1+e^{-x_j}}

.

.

.

 

x_1
x_N
f
+b
f
w_2

output

\vec{y} = f_N(....(f_1(\vec{x}{ W_i + b_1}...W_N + b_N)))

Training models with this many parameters requires a lot of care:

 

. defining the metric

. optimization schemes

. training/validation/testing sets

 

But just like our simple linear regression case, the fact that small changes in the parameters leads to small changes in the output for the right activation functions.

C=\frac{1}{2}|y−a^L|^2~=~\frac{1}{2}\sum_j(y_j−a^L_j)^2

define a cost function, e.g.

\vec{y} = f_N(....(f_1(\vec{x}{ W_i + b_1}...W_N + b_N)))

Training models with this many parameters requires a lot of care:

. defining the metric

. optimization schemes

. training/validation/testing sets

 

But just like our simple linear regression case, the fact that small changes in the parameters leads to small changes in the output for the right activation functions.

C=\frac{1}{2}|y−a^L|^2~=~\frac{1}{2}\sum_j(y_j−a^L_j)^2

define a cost function, e.g.

Training a DNN

feed data forward through network and calculate cost metric

for each layer, calculate effect of small changes on next layer

\vec{y} = f_N(....(f_1(\vec{x}{ W_i + b_1}...W_N + b_N)))

 back-propagation

how does linear descent look when you have a whole network structure with hundreds of weights and biases to optimize??

think of applying just gradient to a function of a function of a function... use:

1)  partial derivatives, 2)  chain rule

C=\frac{1}{2}|y−a^L|^2~=~\frac{1}{2}\sum_j(y_j−a^L_j)^2

define a cost function, e.g.

Training a DNN

ISSUES TO WATCH FOR

Training a DNN

Exploding Gradient

the gradients of the network's loss with respect to the parameters (weights) become excessively large.

The "explosion" of the gradient can lead to numerical instability and the inability of the network to converge.

Erratic learning, with the loss becoming NaN (not a number) or Inf (infinity)

see link

Vanishing Gradient

when the gradients are very small, they can diminish as they are propagated back through the network, leading to minimal or no updates to the weights in the initial layers.

Activation functions like the sigmoid or hyperbolic tangent (tanh) have gradients that are in the range of 0 to 0.25 for sigmoid and -1 to 1 for tanh: the gradients of the loss function with respect to the parameters can become very small

Slow and stalled learning

see link

Punch Line

Deep Neural Net are not some fancy-pants methods, they are just linear models with a bunch of parameters

Black Box?

Because they have many parameters they are difficult to "interpret" (no easy feature extraction)

 

tha is ok becayse they are prediction machines

deep dreams

@akumadog

Brain Programming and the Random Search in Object Categorization

 

The visual cortex learns hierarchically: first detects simple features, then more complex features and ensembles of features

The visual cortex learns hierarchically: first detects simple features, then more complex features and ensembles of features

The visual cortex learns hierarchically: first detects simple features, then more complex features and ensembles of features

The visual cortex learns hierarchically: first detects simple features, then more complex features and ensembles of features

The visual cortex learns hierarchically: first detects simple features, then more complex features and ensembles of features

The visual cortex learns hierarchically: first detects simple features, then more complex features and ensembles of features

The visual cortex learns hierarchically: first detects simple features, then more complex features and ensembles of features

The visual cortex learns hierarchically: first detects simple features, then more complex features and ensembles of features

deep dreams

deep dreams

what is happening in DeepDream?

Deep Dream (DD) is a google software, a pre-trained NN (originally created on the Cafe architecture, now imported on many other platforms including tensorflow).

 

The high level idea relies on training a convolutional NN to recognize common objects, e.g. dogs, cats, cars, in images. As the network learns to recognize those objects is developes its layers to pick out "features" of the NN, like lines at a cetrain orientations, circles, etc. 

 

The DD software runs this NN on an image you give it, and it loops on some layers, thus "manifesting" the things it knows how to recognize in the image. 

 

 

key concepts

 
  1. Architecture components: perceptron, layers, activation function
  2. Optimization
  3. Single layer NN
  4. Deep NN

resources

 

resources

 

reading

 

homework

 

data science for (physical) scientists 10

By federica bianco

data science for (physical) scientists 10

neural networks

  • 1,153