Vera C. Rubin Observatory:

Ushering a New Era of TDA

Federica Bianco

 

University of Delaware

Department of Physics and Astronomy

Biden School of Public Policy and Administration

Data  Science Institute

 

 

Rubin Legacy Survey of Space and Time

Construction Project Deputy Project Scientist

This is a living land acknowledgement developed in consultation with tribal leadership of Poutaxet, what is now known as the “Delaware Bay,” including: the Lenape Indian Tribe of Delaware, the Nanticoke Indian Tribe, and the Nanticoke Lenni-Lenape Tribal Nation in 2021. We thank these leaders for their generosity.

The University of Delaware occupies lands vital to the web of life for Lenni Lenape and Nanticoke, who share their ancestry, history, and future in this region. UD has financially benefited from this regional occupation as well as from Indigenous territories that were expropriated through the United States land grant system. European colonizers and later the United States forced Nanticoke and Lenni Lenape westward and northward, where they formed nations in present-day Oklahoma, Wisconsin, and Ontario, Canada. Others never left their homelands or returned from exile when they could. We express our appreciation for ongoing Indigenous stewardship of the ecologies and traditions of this region. While the harms to Indigenous people and their homelands are beyond repair, we commit to building right relationships going forward by collaborating with tribal leadership on actionable institutional steps.

LSST Science Drivers

Probing Dark Energy and Dark Matter

LSST Science Drivers

Taking an inventory of the solar system

from threatening NEO to the distant Oort Cloud

image credit ESO-Gaia

LSST Science Drivers

Mapping the Milky Way (and Local Volume)

 

LSST Science Drivers

image credit: ESA-Justyn R. Maund 

Exploring the Transients and Variable Universe

10M alerts every night shared with the world

60 seconds after observation

Nicole Oresme (artist unknown) Bibliothèque National de France

From Flammarion's Astronomie Populaire (1880): in Scania, Denmark

Workshop of Diebold Lauber unknown artist, ca.1450

circa 1900

cepheid

cepheid

Rubin LSST Science Collaborations

federica bianco - fbianco@udel.edu

@fedhere​

8 teams

>1500 members

>2000 affiliations

5 continents

Rubin LSST Science Collaborations

federica bianco - fbianco@udel.edu

@fedhere​

Active Galactic Nuclei SC

Dark Energy SC

Informatics and Statistics SC

Galaxies SC

Strong Lensing SC

Stars Milky Way Local Volume  SC

Solar System  SC

Transients and Variable Stars  SC

 

Rubin LSST Science Collaborations

federica bianco - fbianco@udel.edu

@fedhere​

Dark Sector Cosmology

 

Rubin LSST Science Collaborations

federica bianco - fbianco@udel.edu

@fedhere​

Dark Sector Cosmology

Milky Way

Rubin LSST Science Collaborations

federica bianco - fbianco@udel.edu

@fedhere​

Dark Sector Cosmology

Milky Way

Solar System

Rubin LSST Science Collaborations

federica bianco - fbianco@udel.edu

@fedhere​

Dark Sector Cosmology

Milky Way

Solar System

TDA

Rubin LSST Science Collaborations

federica bianco - fbianco@udel.edu

@fedhere​

Dark Sector Cosmology

Milky Way

Solar System

TDA

LSST time domain data products

Data Products

federica bianco - fbianco@udel.edu

@fedhere​

world public!

federica bianco - fbianco@udel.edu

@fedhere​

world public!

Rubin Observatory LSST 

federica bianco - fbianco@udel.edu

@fedhere​

LSST Data Volume: a change of perspective

Rubin will see ~1000 SN every night!

A lot of them will be too faint to study with traditional means, particularly spectra. 

Lots of emphasis in new analysis techniques that rely on "Big Data"

federica bianco fbianco@udel.edu

@fedhere

~1000 images per night

10M alerts per night (5sigma changes)

17B stars Ivezic+18

~10 million QSO Mary Loli+21

200 quadruply-lensed quasars Minghao+19

~50 kilonovae Setzer+19, Andreoni+19   (+ ToO)

~1000 SNe every night in the LSST sky

(10K/year) LSST SCs 2009





Rubin Transients by the number

Credit: Leanne Guy

~1000 images per night

10M alerts per night (5sigma changes)

17B stars Ivezic+18

~10 million QSO Mary Loli+21

200 quadruply-lensed quasars Minghao+19

~50 kilonovae Setzer+19, Andreoni+19   (+ ToO)

~1000 SNe every night in the LSST sky

(10K/year) LSST SCs 2009





Rubin Transients by the number

~1000 images per night

10M alerts per night (5sigma changes)

17B stars Ivezic+18

~10 million QSO Mary Loli+21

200 quadruply-lensed quasars Minghao+19

~50 kilonovae Setzer+19, Andreoni+19   (+ ToO)

~1000 SNe every night in the LSST sky

(10K/year) LSST SCs 2009





Rubin Transients by the number

~1000 images per night

10M alerts per night (5sigma changes)

17B stars Ivezic+18

~10 million QSO Mary Loli+21

200 quadruply-lensed quasars Minghao+19

~50 kilonovae Setzer+19, Andreoni+19   (+ ToO)

~1000 SNe every night in the LSST sky

(10K/year) LSST SCs 2009





Rubin Transients by the number

~1000 images per night

10M alerts per night (5sigma changes)

17B stars Ivezic+19

~10 million QSO Mary Loli+21

200 quadruply-lensed quasars Minghao+19

~50 kilonovae Setzer+19, Andreoni+19   (+ ToO)

~1000 SNe every night in the LSST sky

(10K/year) LSST SCs 2009

 

 

 

 

Rubin Transients by the number

~1000 images per night

10M alerts per night (5sigma changes)

17B stars Ivezic+19

~10 million QSO Mary Loli+21

200 quadruply-lensed quasars Minghao+19

~50 kilonovae Setzer+19, Andreoni+19   (+ ToO)

~10k SuperLuminous Supernovae Villar+ 2018

 

Rubin Transients by the number

~1000 images per night

10M alerts per night (5sigma changes)

17B stars Ivezic+19

~10 million QSO Mary Loli+21

200 quadruply-lensed quasars Minghao+19

~50 kilonovae Setzer+19, Andreoni+19   (+ ToO)

~10k SuperLuminous Supernovae Villar+ 2018

~ 50k Tidal Disruption Events Brickman+ 2020

 

 

 

Rubin Transients by the number

~1000 images per night

10M alerts per night (5sigma changes)

17B stars Ivezic+19

~10 million QSO Mary Loli+21

200 quadruply-lensed quasars Minghao+19

~50 kilonovae Setzer+19, Andreoni+19   (+ ToO)

~10k SuperLuminous Supernovae Villar+ 2018

~ 50k Tidal Disruption Events Brickman+ 2020

~1000 SNe every night in the LSST sky

 

 

 

Rubin Transients by the number

~1000 images per night

10M alerts per night (5sigma changes)

17B stars Ivezic+19

~10 million QSO Mary Loli+21

200 quadruply-lensed quasars Minghao+19

~50 kilonovae Setzer+19, Andreoni+19   (+ ToO)

~10k SuperLuminous Supernovae Villar+ 2018

~ 50k Tidal Disruption Events Brickman+ 2020

> 10 Interstellar Objects (aliens?)

 

 

 

 

Rubin Transients by the number

~1000 images per night

10M alerts per night (5sigma changes)

17B stars Ivezic+19

~10 million QSO Mary Loli+21

200 quadruply-lensed quasars Minghao+19

~50 kilonovae Setzer+19, Andreoni+19   (+ ToO)

~10k SuperLuminous Supernovae Villar+ 2018

~ 50k Tidal Disruption Events Brickman+ 2020

> 10 Interstellar Objects (aliens?)

~1000 SNe every night in the LSST sky

 

 

 

Rubin Transients by the number

Rubin Observatory LSST 

federica bianco - fbianco@udel.edu

@fedhere​

Rubin will see ~1000 SN every night!

A lot of them will be too faint to study with traditional means, particularly spectra. 

Lots of emphasis in new analysis techniques that rely on "Big Data"

Rubin LSST = Astro + DataScience

federica bianco - fbianco@udel.edu

@fedhere

At this level of precision,everything is variable, everything is blended, everything is moving.

u,g,r,i,z,y
Photometric precision
Photometric accuracy
Astrometric precision
Astrometric accuracy
# visits
Single image 5σ depths
10-year stack 5σ depth
5 mmag
10 mmag
10 mas
50 mas
56, 80, 184, 184, 160, 160
23.9, 25.0, 24.7, 24.0, 23.3, 22.1
26.1, 27.4, 27.5, 26.8, 26.1, 24.9

LSST

number of SNe discovered in 5 years

federica bianco - fbianco@udel.edu

@fedhere​

Rubin will see ~1000 SN every night!

Credit: Alex Gagliano University of Illinois

To this day, transient astronomy heavily relies on spectra

Superluminous Supernovae

today ~ 10/year

LSST: ≈10,000 SLSNe per year with >10 data points will be discovered in the Wide-Fast-Deep (WFD) survey at z ≲ 3.0, (Villar+ 2018)

 

Tidal Disruption Events

today ~10/year

35,000 and 80,000 over 10 years of observations (Brickman+ 2020)

 

KILONOVAE:

today ??

2-32 in similar to GW170817 to be recognizable as fast-evolving transients in the WFD (Andreoni+ 2021)

LSST has profoundly changed the TDA infrastructure

Photometric Classification

federica bianco - fbianco@udel.edu

@fedhere​

Dark Energy Science Collaboration

(DESC) 

Transients and Variable

Science Collaboration

(TVS SC)

Deep Drilling Fields

Kaggle PLAsTiCC challenge

AVOCADO classifier

https://arxiv.org/abs/1907.04690

Deep Drilling Fields

Kaggle PLAsTiCC challenge

AVOCADO classifier

https://arxiv.org/abs/1907.04690

Wide Fast Deep

Discovery Engine

10M alerts/night

Community Brokers

target observation managers

the astronomy discovery chain

federica bianco - fbianco@udel.edu

Pitt-Google

Broker

BABAMUL

LSST survey strategy optimization

Rubin LSST survey design

distributions of time gaps

in 76 LSST simulations (2018)

Rubin LSST survey design

Rubin LSST survey design

Bianco et al. 2021

Because the Rubin LSST data is open to all US scientists and to a broader yet community worldwide, to truly make it a survey of and for and of the people, Rubin Observatory called the community to design its survey -

this is a uniquely "democratic" process!

single document

9 chapters ​

25 science cases

 

14

46 papers

467 unique authors

 

 

16

39 notes

218 unique authors

 

 

173

date

 

 

response

 

 

available simulations

(OpSim)

 

2015-17

2018

 

2021

 

Rubin LSST survey design

2015-17

The call for cadence white papers generated an unprecedentedly collaborative process that lead to 46 white papers in 2018

Currently 12 have been turned into peer review work

23

23.7

24.7

24.3

25

26.9

28.1

 depth

depth

coadd depth

coadd depth

survey specifications

(current baseline)

g band

r band

source http://astro-lsst-01.astro.washington.edu:8080/?runId=2

27.1

23.3

0.576

0.52

intranight gap

hours

15

internight gap

days

15

3

median internight gap

days

50

5

median internight gap

days

any filter

r band

current survey specifications

26.9

28.1

coadd depth

survey specifications

(current baseline)

source http://astro-lsst-01.astro.washington.edu:8080/?runId=2

26.8

29.05

28.6

26.8

survey specifications

(current baseline)

26.8

29.05

28.6

26.8

Pies in the LSST sky

2018 Cadence White Paper

cepheid

The violent and rapidly varying radiation from black holes, neutron stars, and white dwarfs makes them promising targets for high time resolution imaging.

The rotation, pulsation, and local accretion dynamics of these compact stellar remnants tends to occur on timescales ranging from seconds to milliseconds. Their extreme densities also makes them an excellent testing ground for nuclear, quantum, and gravitational physics.

Thomas and Kahn, 2018

Additional targets

  • cataclysmic variable stars,
  • X-ray binary stars,
  • flare stars,
  • blazars
  • Fast Radio Bursts
  • technosignatures

federica bianco - fbianco@udel.edu

@fedhere

Time

Domain

Science

 

Static

Science

federica bianco - fbianco@udel.edu

@fedhere

Time

Domain

Science

 

Static

Science

federica bianco - fbianco@udel.edu

@fedhere

Time

Domain

Science

 

Static

Science

Alerts based

 

Catalog based

Deep stack

based

Deep stack

based

federica bianco - fbianco@udel.edu

@fedhere

Time

Domain

Science

 

Static

Science

Alerts based

 

Catalog based

Deep stack

based

Time

Domain

Science

 

Static

Science

AGN

STRONG

LENSING

50M+ AGNs to z~7.5

 

variability, microlensing, binaries

 

cosmography from Lens Time Delays

 

calibration of cluster mass function with with S+W Lensing

 

resolved high z galaxy properties

 

from rare to statistical samples

Stephen T. Ridgway+ 2014

THE VARIABLE SKY OF DEEP SYNOPTIC SURVEYS

arXiv:1409.3265

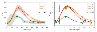
What's in a datapoint?

 

Kaczmarczik et al 2009

 

What can we learn from 1 data point?

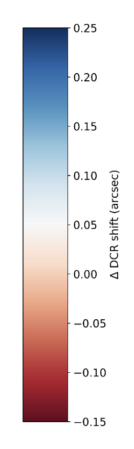
Because LSST will have exquisite image quality we may be able to measure color from atmospheric diffraction

Davenport et al. 2014

~2h

Differential Chromatic Refraction

atmosphere-aided transient studies with LSST

Riley Clarke, Davenport, Gizis, Bianco, in prep

dM                 Flare energy

dDCR               color                Flare temperature

Micro- and meso-lensing for stellar physics

  • detect microlensing events where both the lens and source lie in the Magellanic Clouds, and explore stellar and stellar remnant populations in another galaxy.
  • LSST will investigate the mass distribution offaint objects in the local neighborhood, such as low mass dwarfs, stellar remnants, andfree-floating planets.

Survey coordination

Rubin             +                Roman

TVS Roadmap

Humbleton et al 2022

Will we discover new physics?

A comparative assessment of LSST potential surveys in the discovery of unknown unknowns

Research Inclusion: sonification of LSST lightcurves

Rubin Rhapsodies

thank you!

 

University of Delaware

Department of Physics and Astronomy

 

Biden School of Public Policy and Administration

Data  Science Institute

@fedhere

federica bianco

fbianco@udel.edu

Rubin Observatory LSST 

MMA and LEOsats

Iridium satellite number 35 lit up the predawn sky west of Boston at 5 a.m. EST on February 1, 1998, as Sky & Telescope senior editor Dennis di Cicco waited with his camera, taking a 10-minute exposure on Fujichrome 100 slide film through an 80-mm f/2.8 Hasselblad lens working at f/4.

Iridium satellite number 35 lit up the predawn sky west of Boston at 5 a.m. EST on February 1, 1998,  Sky & Telescope

Satellite flares

@fedhere

federica bianco fbianco@udel.edu

Time domain Rubin LSST science

can be mitigated:

- orientation of satellite,

- directing flares away from observer

- knowing coordinates to associate them to alerts

 

if not mitigate there would be bogus alerts and images ruined by saturating flares

 

Science Collaborations

 

Hainaut & Williams 2020

https://arxiv.org/abs/2003.01992

Kahn symposium

By federica bianco

Kahn symposium

  • 1,076