資安期末 Project

RAPPOR

Randomized Aggregatable Privacy-Preserving

Ordinal Response

RAPPOR

  • Signal
  • Permanent randomized response
  • Instantaneous randomized response

  • Report

RAPPOR

  • Signal

使用h個hash function

將要傳送的value v

hash onto Bloom filter B

RAPPOR

  • Permanent randomized response

將Bloom filter B 上的每個bit

做以下轉換,得到Fake Bloom filter B'

RAPPOR

  • Instantaneous randomized response

Allocate a bit array S of size k and initialize to 0

並依照以下機率設定S的每個bit為1

(p,q為預先設定的機率)

RAPPOR

  • Report

將S作為報告送到server

Locally Differentially Private Heavy Hitter( frequent values )

Identification

  • Frequency Oracles
    • Generalized Randomized Response (GRR)
    • Optimized Local Hashing (OLH)
  • Prefix Extending Method (PEM)

Locally Differentially Private Heavy Hitter

Identification

  • Frequency Oracles

一個滿足LDP的協定

使用兩種演算法:

π: 使用者用來noisy report的方法
Γ: 研究者用來取得想要資訊的方法

 

Locally Differentially Private Heavy Hitter

Identification

  • Generalized Randomized Response (GRR)

Frequency Oracles的一種協定

適用於small d較佳

Locally Differentially Private Heavy Hitter

Identification

  • Generalized Randomized Response (GRR)

假設有 n users 且所有user回答的value v ∈ D,

D的domain size |D| = d

Locally Differentially Private Heavy Hitter

Identification

  • Generalized Randomized Response (GRR)

π(v)=v 的機率為p

π(v)=v'的機率為p' (且v != v')

p'=

Locally Differentially Private Heavy Hitter

Identification

  • Generalized Randomized Response (GRR)

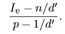
Γ(v)=

使用者報告v的數量

Locally Differentially Private Heavy Hitter

Identification

  • Generalized Randomized Response (GRR)

但當d很大時,π(v)=v的機率p會很小

造成統計的準確度極速下降

Locally Differentially Private Heavy Hitter

Identification

  • Optimized Local Hashing (OLH)

the best accuracy while maintaining a low communication cost

 

適用於處理large d較佳

Locally Differentially Private Heavy Hitter

Identification

  • Optimized Local Hashing (OLH)

π(v)=( H, π'(H(v)) )

π'為GRR的π

H: hash function, 將D to {1...d'}

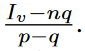
Locally Differentially Private Heavy Hitter

Identification

  • Optimized Local Hashing (OLH)

Γ(v)=

第j個使用者用的hash function

第j個使用者的報告

Locally Differentially Private Heavy Hitter

Identification

  • Frequency Oracles
    • Generalized Randomized Response (GRR)
    • Optimized Local Hashing (OLH)
  • Prefix Extending Method (PEM)

Locally Differentially Private Heavy Hitter

Identification

  • Prefix Extending Method (PEM):

用來解決d太大造成 frequency oracle的計算不可行

 

 

 

Locally Differentially Private Heavy Hitter

Identification

  • Prefix Extending Method (PEM):


參數: 兩正整數

使用者會被分配到g個groups中的1個group



Locally Differentially Private Heavy Hitter

Identification

  • Prefix Extending Method (PEM)

 

使用者回傳的report形式:

第i group回傳

 

 

 

Locally Differentially Private Heavy Hitter

Identification

  • Prefix Extending Method (PEM)

 

運作流程:

第1群統計frequent prefixes -> 第2群統計frequent prefixes ->...

RAPPOR code分析

參數設定

regtest_spec.py


...

DEMO = (
    # (case_name distr num_unique_values num_clients values_per_client)
    # (num_bits num_hashes num_cohorts)
    # (p q f) (num_additional regexp_to_remove)
    ('demo1 unif    100 100000 10', '32 1 64', '0.25 0.75 0.5', '100 v[0-9]*9$'),
    ('demo2 gauss   100 100000 10', '32 1 64', '0.25 0.75 0.5', '100 v[0-9]*9$'),
    ('demo3 exp     100 100000 10', '32 1 4', '0.25 0.75 0.5', '100 v[0-9]*9$'),
    ('demo4 zipf1   100 100000 10', '32 1 64', '0.25 0.75 0.5', '100 v[0-9]*9$'),
    ('demo5 zipf1.5 100 100000 10', '32 1 64', '0.25 0.75 0.5', '100 v[0-9]*9$'),
)
...

demo.sh

quick-python() {  
  ./regtest.sh run-seq '^demo3' python
}

quick-cpp() {
  # For now we build it first.  Don't want to build it in parallel.
  ./build.sh cpp-client

  ./regtest.sh run-seq '^demo3' cpp
}

quick() {
  quick-python
  quick-cpp
}

if test $# -eq 0 ; then
  quick
else
  "$@"
fi

regtest.sh

...
# Run tests sequentially.  NOTE: called by demo.sh.
run-seq() {
  local spec_regex=${1:-'^r-'}  # grep -E format on the spec
  shift

  time _run-tests $REGTEST_SPEC $spec_regex F $@
}
_run-tests() {
  local spec_gen=$1
  local spec_regex="$2"  # grep -E format on the spec, can be empty
  local parallel=$3
  local impl=${4:-"cpp"}
  local instances=${5:-1}

  local regtest_dir=$REGTEST_BASE_DIR/$impl
  rm -r -f --verbose $regtest_dir
  
  mkdir --verbose -p $regtest_dir

  local func
  local processors

  if test $parallel = F; then
    func=_run-one-instance  # output to the console
    processors=1
  else
    func=_run-one-instance-logged
    # Let the user override with MAX_PROC, in case they don't have enough
    # memory.
    processors=${MAX_PROC:-$(default-processes)}
    log "Running $processors parallel processes"
  fi

  local cases_list=$regtest_dir/test-cases.txt
  # Need -- for regexes that start with -
  $spec_gen | grep -E -- "$spec_regex" > $cases_list

  # Generate parameters for all test cases.
  cat $cases_list \
    | xargs -l -P $processors -- $0 _setup-one-case $impl \
    || test-error

  log "Done generating parameters for all test cases"

  local instances_list=$regtest_dir/test-instances.txt
  _setup-test-instances $instances $impl < $cases_list > $instances_list 

  cat $instances_list \
    | xargs -l -P $processors -- $0 $func || test-error

  log "Done running all test instances"

  make-summary $regtest_dir $impl
}
...

regtest.sh

...
_run-one-instance() {
  ...
  case $impl in
    python)
      banner "Running RAPPOR Python client"

      # Writes encoded "out" file, true histogram, true inputs to
      # $instance_dir.
      time tests/rappor_sim.py \
        --num-bits $num_bits \
        --num-hashes $num_hashes \
        --num-cohorts $num_cohorts \
        -p $p \
        -q $q \
        -f $f \
        < $true_values \
        > "$instance_dir/case_reports.csv"
      ;;
      
    cpp)
      banner "Running RAPPOR C++ client (see rappor_sim.log for errors)"

      time client/cpp/_tmp/rappor_sim \
        $num_bits \
        $num_hashes \
        $num_cohorts \
        $p \
        $q \
        $f \
        < $true_values \
        > "$instance_dir/case_reports.csv" \
        2>"$instance_dir/rappor_sim.log"
      ;;
      
    *)
      log "Invalid impl $impl (should be one of python|cpp)"
      exit 1
    ;;
    
  esac
...

rappor_sim.py

import csv
import collections
import optparse
import os
import random
import sys
import time

import rappor  # client library
try:
  import fastrand
except ImportError:
  print >>sys.stderr, (
      "Native fastrand module not imported; see README for speedups")
  fastrand = None
...

rappor.py

包含RAPPOR所需要的功能

regtest.sh

...
_run-one-instance() {
  ...

  banner "Summing RAPPOR IRR bits to get 'counts'"

  bin/sum_bits.py \
    $case_dir/case_params.csv \
    < $instance_dir/case_reports.csv \
    > $instance_dir/case_counts.csv

  ...
}
...

Read the RAPPOR'd values on stdin, and sum the bits to produce a Counting Bloom
filter by cohort.  This can then be analyzed by R.

regtest.sh

...
_run-one-instance() {
  ...

  TIMEFORMAT='Running compare_dist.R took %R seconds'
  time {
    # Input prefix, output dir
    tests/compare_dist.R -t "Test case: $test_case (instance $test_instance)" \
                         "$case_dir/case" "$instance_dir/case" $out_dir
  }
}
...

實際分析各value的頻率

RAPPOR 實際運作結果

實作PEM成果

看程式碼~

修改:

1. 在hash value時, 將參數cohort固定為1

    原因: 避免每個cohort hash的結果不同

2. 在hash_candidates.py中get_bloom_bits, 把將參數cohort固定為1

    原因同上

資安期末 project + 構想(參考)

By jackiechen08

資安期末 project + 構想(參考)

  • 614